38/2023. (IX. 12.) MNB rendelet
38/2023. (IX. 12.) MNB rendelet
a kötelező jegybanki tartalék kapcsán alkalmazandó kamatmértékekről1
A Magyar Nemzeti Bankról szóló 2013. évi CXXXIX. törvény 171. § (1) bekezdés b) pontjában kapott felhatalmazás alapján, a Monetáris Tanács döntésére tekintettel,
a 3. § tekintetében a Magyar Nemzeti Bankról szóló 2013. évi CXXXIX. törvény 171. § (1) bekezdés c) pontjában kapott felhatalmazás alapján, a Magyar Nemzeti Bankról szóló 2013. évi CXXXIX. törvény 4. § (1) bekezdésében meghatározott feladatkörömben eljárva
a következőket rendelem el:
1. § (1) A kötelező jegybanki tartalék kiszámításáról, illetve képzésének és elhelyezésének módjáról szóló 10/2005. (VI. 11.) MNB rendelet (a továbbiakban: Tartalékrendelet)
a) 5. § (1) bekezdés d) pontja szerint elhelyezett kötelező tartalék összege után – a betétre fizetendő kamaton túl –,
b) szerinti minimálisan tartandó kötelező tartalék Tartalékrendelet 5. § (1) bekezdés d) pontja szerinti betéttel csökkentett összegének 25%-a után
a Magyar Nemzeti Bank (a továbbiakban: MNB) kamatot nem fizet.
(2) A Tartalékrendelet szerinti minimálisan tartandó kötelező tartalék Tartalékrendelet 5. § (1) bekezdés d) pontja szerinti betéttel csökkentett összegének az (1) bekezdés b) pontjában meghatározott mértékét meghaladó összege után az MNB jegybanki alapkamatot fizet.
(3)2 A kötelező tartaléknak az (1) és (2) bekezdésben meghatározottakat meghaladó összege után az MNB a jegybanki alapkamatnak megfelelő mértékű kamatot fizet.
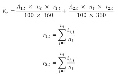
2. § A kötelező tartalék összege után az MNB a következő képlet alapján fizet kamatot a tartalékköteles hitelintézetnek:

3. § A Tartalékrendelet 5. § (1) bekezdése szerinti eszközöknek a kötelező tartalékba beszámítható − a Tartalékrendelet szerinti levelező tartalékköteles hitelintézet esetén a Tartalékrendelet szerinti levelezett tartalékköteles hitelintézet kötelező tartalékával növelt –, a kötelező tartalék összegén felüli részére (túltartalékolás) az MNB a jegybanki alapkamatnak megfelelő mértékű kamatot fizet.
4. § (1) Ez a rendelet − a (2) bekezdésben foglalt kivétellel − a kihirdetését követő napon lép hatályba.
(2) A 3. § 2023. október 1-jén lép hatályba.
5. §3
A rendeletet a 49/2023. (X. 24.) MNB rendelet 7. § (1) bekezdés 2. pontja hatályon kívül helyezte 2023. november 1. napjával.
Az 1. § (3) bekezdése a 41/2023. (IX. 26.) MNB rendelet 1. §-ával megállapított szöveg.
Az 5. § a 2010. évi CXXX. törvény 12. § (2) bekezdése alapján hatályát vesztette.
- Hatályos
- Már nem hatályos
- Még nem hatályos
- Módosulni fog
- Időállapotok
- Adott napon hatályos
- Közlönyállapot
- Indokolás
