68/2021. (XII. 30.) ITM rendelet
68/2021. (XII. 30.) ITM rendelet
a bioüzemanyagok, folyékony bio-energiahordozók és biomasszából előállított tüzelőanyagok fenntarthatósági követelményeknek való megfelelésével kapcsolatos üvegházhatású gázkibocsátás elkerülés kiszámításának szabályairól
A megújuló energia közlekedési célú felhasználásának előmozdításáról és a közlekedésben felhasznált energia üvegházhatású gázkibocsátásának csökkentéséről szóló 2010. évi CXVII. törvény 13. § (2) bekezdés b) pontjában kapott felhatalmazás alapján, a Kormány tagjainak feladat- és hatásköréről szóló 94/2018. (V. 22.) Korm. rendelet 116. § 6. pontjában meghatározott feladatkörömben eljárva – a Kormány tagjainak feladat- és hatásköréről szóló 94/2018. (V. 22.) Korm. rendelet 79. § 1. pontjában meghatározott feladatkörében eljáró agrárminiszterrel egyetértésben – a következőket rendelem el:
1. § (1) A bioüzemanyag vagy folyékony bio-energiahordozó teljes életciklusra számított üvegházhatású gázkibocsátás (a továbbiakban: ÜHG kibocsátás) értékét és az ÜHG kibocsátás elkerülését a bioüzemanyagok, folyékony bio-energiahordozók és biomasszából előállított tüzelőanyagok fenntarthatósági követelményeiről és igazolásáról szóló kormányrendeletben (a továbbiakban: Kr.) meghatározott fenntarthatósági nyilatkozatot kiállító az 1. melléklet szerint, a következő módszerek egyikével határozza meg:
a) ha az előállítási módra vonatkozó üvegházhatásúgázkibocsátás-megtakarítás alapértelmezett értéke meghatározásra került a bioüzemanyagok és folyékony bio-energiahordozók kapcsán az 1. melléklet 4. vagy 5. pontjában, és az el érték – e bioüzemanyagokra vagy bio-energiahordozókra az 1. melléklet 1. pont 1.7. alpontjával összhangban számított – értéke nulla vagy annál kevesebb, ennek az alapértelmezett értéknek az alkalmazásával;
b) a bioüzemanyagok és a folyékony bio-energiahordozók kapcsán az 1. melléklet 1. pontjában meghatározott módszernek megfelelően kiszámított tényleges érték alkalmazásával;
c) az 1. melléklet 1. pont 1.1. alpontjában említett képletek tényezőinek összegeként kiszámított érték alkalmazásával, ha egyes tényezők esetében az 1. melléklet 2. pontjában szereplő, diszaggregált alapértelmezett értékek, az összes többi tényező esetében pedig az 1. melléklet 1. pontjában meghatározott módszernek megfelelően kiszámított tényleges értékek alkalmazhatók.
(2) A biomasszából előállított tüzelőanyagok ÜHG kibocsátásának értékét és az ÜHG kibocsátás elkerülését a Kr.-ben meghatározott fenntarthatósági nyilatkozatot kiállító a 2. melléklet szerint, a következő módszerek egyikével határozza meg:
a) ha az előállítási módra vonatkozó üvegházhatásúgázkibocsátás-megtakarítás alapértelmezett értéke meghatározásra került, és a biomasszából előállított tüzelőanyagok kapcsán a 2. melléklet 4. pontjában, és az el érték – ennek a biomasszából előállított tüzelőanyagokra a 2. melléklet 1. pont 1.7. alpontjával összhangban számított – értéke nulla vagy annál kevesebb, ennek az alapértelmezett értéknek az alkalmazásával;
b) a biomasszából előállított tüzelőanyagok kapcsán a 2. melléklet 1. pontjában meghatározott módszernek megfelelően kiszámított tényleges érték alkalmazásával;
c) a 2. melléklet 1. pont 1.1. alpontjában említett képletek tényezőinek összegeként kiszámított érték alkalmazásával, amennyiben egyes tényezők esetében a 2. melléklet 2. pontjában szereplő, diszaggregált alapértelmezett értékek, az összes többi tényező esetében pedig a 2. melléklet 1. pontjában meghatározott módszernek megfelelően kiszámított tényleges értékek alkalmazhatók.
2. § Az azonos típusú, de eltérő mennyiségű, eltérő kibocsátási értékű termékek összevonása, összekeverése során az összekeveréssel előállított összevont termékmennyiség kibocsátási komponenseit vagy az ÜHG kibocsátás elkerülését tömegmérleg-módszerrel is meg lehet határozni, ha a módszer
a) megengedi az eltérő fenntarthatósági és ÜHG kibocsátás megtakarítási jellemzőkkel rendelkező nyersanyag- vagy üzemanyagszállítmányok összekeverését,
b) lehetővé teszi a különböző energiatartalmú nyersanyagok szállítmányainak összekeverését további feldolgozás céljából, amennyiben a szállítmányok méretét energiatartalmuknak megfelelően igazítják ki,
c) előírja, hogy az a) pontban említett szállítmányok fenntarthatósági és ÜHG kibocsátás megtakarítási jellemzőivel és méretével kapcsolatos információk a keverékhez rendelve maradjanak, valamint
d) biztosítja, hogy a keverékből kivett minden szállítmány összege azonos fenntarthatósági jellemzőkkel kerüljön leírásra és ugyanolyan mennyiségben, mint a keverékhez adott összes szállítmány összege és előírja, hogy ezt az egyensúlyt megfelelő időn belül el kell érni.
3. § A tömegmérleg-rendszer biztosítja, hogy minden egyes szállítmányt csak egyszer vegyenek figyelembe a megújuló forrásokból előállított energia teljes bruttó fogyasztásának kiszámításához, és információt tartalmaz arról, hogy a szállítmány előállítása részesült-e támogatásban, továbbá ha igen, akkor a támogatási rendszer típusáról is.
4. § (1) A feldolgozott szállítmány fenntarthatósági és ÜHG kibocsátás megtakarítási jellemzőit kiigazítják, és a (2) és (3) bekezdés szerint a végtermékhez rendelik.
(2) Ha egyetlen végtermék készül, és azt bioüzemanyagok, folyékony bio-energiahordozók, vagy biomasszából előállított tüzelőanyagok, nem biológiai eredetű, folyékony vagy gáznemű, megújuló energiaforrásokból származó, közlekedési célú üzemanyagok vagy széntartalom újrahasznosításával nyert üzemanyagok előállítására szánják, a szállítmány méretét és fenntarthatósági, valamint ÜHG kibocsátás megtakarítási jellemzőit egy olyan átváltási együtthatóval igazítja ki, amely a bioüzemanyagok, folyékony bio-energiahordozók vagy biomasszából előállított tüzelőanyagok előállítására szánt végtermék és az eljáráshoz felhasznált nyersanyagok arányát fejezi ki.
(3) Ha több végtermék készül, és azokat bioüzemanyagok, folyékony bio-energiahordozók vagy biomasszából előállított tüzelőanyagok, nem biológiai eredetű, folyékony vagy gáznemű, megújuló energiaforrásokból származó, közlekedési célú üzemanyagok vagy széntartalom újrahasznosításával nyert üzemanyagok előállítására szánják, mindegyik végtermékre külön átváltási együtthatót és külön tömegmérleget alkalmaznak.
5. § Tényleges érték alkalmazása esetén a Kr.-ben meghatározott fenntarthatósági nyilatkozatot kiállító a számítás megfelelőségét önkéntes nemzeti vagy nemzetközi rendszer keretében független auditot végző tanúsító szerv által kiadott nyilatkozattal (tanúsítvánnyal) igazolja.
6. § Ez a rendelet 2022. január 1-jén lép hatályba.
7. § (1) Ez a rendelet
a)1 a megújuló energiaforrásokból előállított energia használatának előmozdításáról szóló, 2018. december 11-i (EU) 2018/2001 európai parlamenti és tanácsi irányelv 2. cikk 2. pontjának, 30. cikk (1) és (2) bekezdésének, 31. cikk (1) bekezdésének, valamint V. és VI. mellékletének,
b) a benzinre, a dízelolajra és a gázolajra vonatkozó követelmények, illetőleg az üvegházhatású kibocsátott gázok mennyiségének nyomon követését és mérséklését célzó mechanizmus bevezetése tekintetében a 98/70/EK irányelv módosításáról, a belvízi hajókban felhasznált tüzelőanyagokra vonatkozó követelmények tekintetében az 1999/32/EK irányelv módosításáról, valamint a 93/12/EGK irányelv hatályon kívül helyezéséről szóló, 2009. április 23-i 2009/30/EK európai parlamenti és tanácsi irányelv 1. cikk 5–6. pontjának és IV. mellékletének
való megfelelést szolgálja.
(2) Ez a rendelet a 2009/28/EK irányelv V. mellékletének alkalmazásában a talajban lévő kötöttszén-készletek kiszámításával kapcsolatos iránymutatásról szóló, 2010. június 10-i 2010/335/EU bizottsági határozat végrehajtásához szükséges rendelkezéseket állapít meg.
8. §2
1. melléklet a 68/2021. (XII. 30.) ITM rendelethez3
1. A bioüzemanyagok és folyékony bio-energiahordozók ÜHG kibocsátás elkerülésének számítási eljárása
1.1. A közlekedési célú üzemanyagok, a bioüzemanyagok és folyékony bio-energiahordozók előállítása és használata által kiváltott ÜHG kibocsátás kiszámítása a következők szerint történik:
1.1.1. A bioüzemanyagok előállítása és használata által kiváltott üvegházhatásúgáz-kibocsátás kiszámítása a következők szerint történik:
1.1.2. A folyékony bio-energiahordozók előállítása és használata által kiváltott ÜHG kibocsátást a bioüzemanyagokéval azonos módon számítandó ki (E), azonban a villamos energiává és/vagy fűtő- és hűtőenergiává való átalakításából származó kibocsátás hozzáadása is szükséges, a következők szerint:
1.1.2.1. Kizárólag hőt előállító energiatermelő berendezések esetében:

1.1.2.2. Kizárólag villamos energiát előállító energiatermelő berendezések esetében:
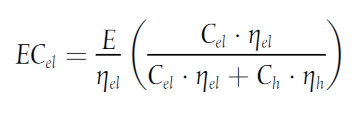
ahol1.1.2.3.4 A hasznos hőt villamosenergiával és/vagy mechanikai energiával együtt előállító energiatermelő berendezésekből származó villamosenergia vagy mechanikai energia esetében:

1.1.2.4. A hasznos hőt villamos energiával és/vagy mechanikai energiával együtt előállító energiatermelő berendezésekből származó hasznos hő esetében:

ahola) „kapcsolt energiatermelés”: egyetlen folyamat során hőenergia és villamos és/vagy mechanikai energia egyszerre történő termelése;
b) „hasznos hő”: a gazdaságilag indokolt mértékű hő-, fűtési és hűtési energiaigény kielégítése céljából termelt hő;
c) „gazdaságilag indokolt igény”: az azt a hő- vagy hűtési energiaigényt meg nem haladó mértékű kereslet, amely egyébként piaci feltételek mellett kielégítésre kerülne.
1.2. A bioüzemanyagokból és folyékony bio-energiahordozókból eredő üvegházhatásúgáz-kibocsátást a következők szerint kell kifejezni:
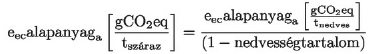
1.2.1. a bioüzemanyagokból eredő üvegházhatásúgáz-kibocsátást (E) az egy MJ üzemanyagra jutó CO2 grammjának egyenértékében kell kifejezni (gCO2eq/MJ);
1.2.2. a folyékony bio-energiahordozókból eredő üvegházhatásúgáz-kibocsátást (EC) az egy MJ végső fogyasztói energiára (hő vagy villamosenergia) jutó CO2 grammjának egyenértékében kell kifejezni (gCO2eq /MJ).



1.3. A bioüzemanyagok és a folyékony bio-energiahordozók használatából eredő üvegházhatásúgázkibocsátás-megtakarítást a következők szerint kell kiszámítani:
1.3.1.5 a bioüzemanyagok használatából eredő üvegházhatásúgázkibocsátás-megtakarítás:
1.3.2.6 a folyékony bio-energiahordozókból előállított fűtő- és hűtőenergia, valamint villamosenergia esetében az üvegházhatásúgázkibocsátás-megtakarítás:
1.4. Az 1.1. pont alkalmazásában a CO2, N2O és CH4 üvegházhatású gázokat kell figyelembe venni. A CO2-egyenérték kiszámításához a fent említett gázokat a következő értékekkel kell figyelembe venni:
1.5. A nyersanyagok kinyerése vagy termelése során keletkező kibocsátásokba, eec, beletartoznak a kinyerési vagy a mezőgazdasági termelési eljárás során keletkező kibocsátások; a nyersanyagok begyűjtése, szárítása és tárolása során keletkező kibocsátások; a hulladékokból és a szivárgásokból eredő kibocsátások; és a kinyeréshez vagy a termeléshez használt vegyszerek vagy egyéb termékek előállítása során keletkező kibocsátások. A nyersanyagtermelés vonatkozásában a szén-dioxid-megkötést nem kell figyelembe venni. A mezőgazdasági eredetű biomassza termeléséből eredő kibocsátásokra vonatkozó, a tényleges értékek használatának alternatíváját jelentő becslések levezethetők a termelésből származó kibocsátásokra vonatkozó regionális átlagokból vagy az e mellékletben szereplő, a termelésből származó kibocsátásokra vonatkozó diszaggregált alapértelmezett értékekkel kapcsolatos információkból. Amennyiben nincsenek megfelelő információk, a tényleges értékek alternatívájaként átlagokat lehet számítani a helyi szintű gazdálkodási gyakorlatok, például mezőgazdasági üzemek egy adott csoportjára vonatkozó adatok alapján.
1.6. Az 1.1. pont a) alpontjában foglalt számítás céljaira a jobb mezőgazdasági gazdálkodás esca (például csökkentett talajművelés vagy direktvetésre váltás, fejlett vetésforgórendszerek alkalmazása, takarónövények használata, ezen belül termésszabályozás és szerves talajjavító anyagok, így komposzt vagy trágyaerjesztőkből származó fermentált anyagok használata) révén elért üvegházhatásúgázkibocsátás-megtakarítás csak akkor vehető figyelembe, ha megalapozott és ellenőrizhető bizonyítékok támasztják alá, hogy az adott alapanyag termesztésének idején a talaj kötöttszénkészlete megnövekedett, vagy ésszerűen feltételezhető, hogy növekedett, figyelembe véve azt a kibocsátást is, amely a pontban felsorolt gazdálkodási módszerek alkalmazásakor a megnövekedett műtrágya- és gyomirtószer-használatból adódik (3).
1.7. A földhasználat megváltozása által okozott szénkészlet-változásokból eredő éves kibocsátások (el) kiszámításához az összes kibocsátást egyenlően el kell osztani 20 évre. Az ilyen kibocsátások kiszámítása során a következő szabályt kell alkalmazni:
1.8. A 29 gCO2eq/MJ értékű bónusz akkor adható meg, ha bizonyított, hogy az adott földterület:
a) 2008 januárjában nem állt mezőgazdasági vagy más célú használat alatt; és
b) súlyosan degradálódott földterület, beleértve a korábban mezőgazdasági célra használt földterületeket is.
1.9. „Súlyosan degradálódott földterület”: olyan földterület, amelynek esetében hosszabb időszak során jelentős szikesedés volt tapasztalható, vagy amelynek a szervesanyag-tartalma különösen alacsony, és súlyosan erodálódott.
1.10. A feldolgozás során keletkező kibocsátásokba (ep) beletartoznak a feldolgozás során keletkező kibocsátások; a hulladékokból és a szivárgásokból eredő kibocsátások; és a feldolgozáshoz használt vegyszerek vagy egyéb termékek előállítása során keletkező kibocsátások, beleértve a fosszilis inputanyagok széntartalmának megfelelő szén-dioxid-kibocsátásokat is, függetlenül attól, hogy az anyagokat eljárás során ténylegesen elégetik-e vagy sem. A nem az üzemanyag-előállító üzemben előállított villamosenergia-fogyasztás elszámolásához ennek a villamos energiának az előállítására és elosztására jellemző üvegházhatásúgáz-kibocsátás-intenzitást úgy kell tekinteni, hogy az megegyezik az egy meghatározott régióban a villamosenergia előállítására és elosztására jellemző átlagos kibocsátási intenzitással. E szabály alóli kivételként a termelők átlagértéket is alkalmazhatnak egy egyedi villamosenergia-előállító üzem esetében az ebben az üzemben megtermelt villamos energiára, ha ez az üzem nem csatlakozik a villamosenergia-hálózathoz.
1.11. A szállítás és az elosztás során keletkező kibocsátásokba (etd) beletartoznak a nyersanyagok és a félkész anyagok szállítása és elosztása során keletkező kibocsátások és a késztermékek tárolása és elosztása során keletkező kibocsátások. A közlekedésből és az áruszállításból származó, az 1.5. pont értelmében figyelembe veendő kibocsátás nem tartozik e alpont hatálya alá.
1.12. A használt üzemanyagból eredő kibocsátásokat, eu, a bioüzemanyagok és folyékony bio-energiahordozók esetében nullának kell tekinteni.
1.13. A szén-dioxid-leválasztásból és -tárolásból eredő, az ep értékbe még nem beszámított kibocsátás-megtakarításokba (eccs) csak azok a kibocsátott CO2 leválasztásával és -tárolásával elkerült kibocsátások számíthatók bele, amelyek közvetlenül összefüggnek az üzemanyag kinyerésével, szállításával, feldolgozásával és elosztásával, feltéve, hogy a tárolás a bányászatról szóló törvény III/A. részével és a szén-dioxid geológiai tárolásáról szóló Korm. rendelettel összhangban történik.
1.14. A szén-dioxid-leválasztásából és -helyettesítésből eredő kibocsátásmegtakarításoknak (eccr) közvetlenül kapcsolódniuk kell azon bioüzemanyag vagy folyékony bio-energiahordozó előállításához, amelynek tekintetében figyelembe veszik őket, és e megtakarításokba csak az olyan CO2-leválasztással elkerült kibocsátások számíthatók bele, amelyek esetében a szén-dioxid biomassza eredetű és azt a fosszilis CO2 helyettesítésére használják kereskedelmi termékek előállításában és szolgáltatásokban.
1.15. Ha az üzemanyag előállításához kapcsoltan hőt és/vagy villamos energiát előállító olyan kapcsolt energiatermelő egység, amely tekintetében kibocsátást számítanak, villamosenergia- és/vagy hasznoshőtöbbletet termel, akkor az ÜHG kibocsátást meg kell osztani a villamosenergia és a hasznos hő között a hő hőmérséklete szerint (ami tükrözi a hő hasznosíthatóságát). Az adott hőmennyiség hasznos részét úgy tudjuk megállapítani, ha energiatartalmát megszorozzuk az alábbiak szerint kiszámított Carnot-hatásfok (Ch) értékével:
ahol1.15.1. „kapcsolt energiatermelés”: egyetlen folyamat során hőenergia és villamos és/vagy mechanikai energia egyszerre történő termelése;
1.15.2. „hasznos hő”: a gazdaságilag indokolt mértékű hő-, fűtési vagy hűtési energiaigény kielégítése céljából termelt hő;
1.15.3. „gazdaságilag indokolt igény”: az azt a hő- vagy hűtési energiaigényt meg nem haladó mértékű kereslet, amely egyébként piaci feltételek mellett kielégítésre kerülne.
1.16. Ha az üzemanyag-előállítási eljárás kombinálva állítja elő azt az üzemanyagot, amelynek vonatkozásában a kibocsátást számítják, és egy vagy több további terméket („társtermékek”), akkor az üvegházhatásúgáz-kibocsátást meg kell osztani az üzemanyag vagy annak köztes terméke és a társtermékek között azok energiatartalmának arányában (ez utóbbit a villamos energián és a hőenergián kívüli társtermékek esetében az alsó fűtőértéken kell meghatározni). A hasznoshő- vagy villamosenergia-többlet ÜHG kibocsátási intenzitása megegyezik az üzemanyag előállításához használt hő vagy villamosenergia ÜHG kibocsátási intenzitásával, és úgy kell meghatározni, hogy ki kell számítani az üzemanyag-előállítási eljáráshoz hő-vagy villamos energiát biztosító kapcsolt energiatermelő egységbe, kazánba vagy más berendezésbe betáplált anyagok, így például az alapanyagok, illetve ezekből eredő kibocsátások (például CH4 és N2O) ÜHG kibocsátási intenzitását. A kapcsolt villamosenergia- és hőtermelés esetében a számítás a 15. pontban foglaltak szerint történik.
1.17. Az 1.16. alpontban foglalt számítás céljaira a szétosztandó kibocsátások az eec + el + esca + az ep, etd, eccs és eccr azon hányada, amelyre az előállítási folyamat azon lépésével bezárólag kerül sor, amikor a társtermékeket állítják elő. Ha az életciklus során a folyamat egy korábbi lépésében a társtermékekhez való hozzárendelésre került sor, akkor azoknak a kibocsátásoknak azt a hányadát kell az összes kibocsátás helyett erre a célra felhasználni, amelyet az utolsó ilyen folyamatlépésben a közbenső üzemanyagtermékhez kiosztottak.
1.18. A bioüzemanyagok esetében az 1.3. alpontban említett számítás céljaira a fosszilis üzemanyag-komparátor (EF(t)) 94 gCO2eq/MJ.
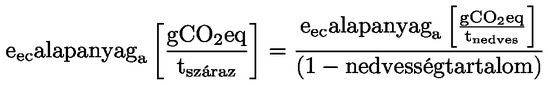
2. A bioüzemanyagokra és a folyékony bio-energiahordozókra vonatkozó részekre bontott (diszaggregált) alapértelmezett értékek
2.1. A termelésre vonatkozó diszaggregált alapértelmezett értékek: „eec” az e melléklet 1. pontjában meghatározottak szerint, a talajból származó N2O-kibocsátásokat is beleértve
|
A |
B |
C |
|
|---|---|---|---|
|
1. |
Bioüzemanyag és egyéb folyékony bio-energiahordozó előállítási mód |
Üvegházhatású gázkibocsátás - jellemző érték |
Üvegházhatású gázkibocsátás - alapértelmezett érték |
|
2. |
cukorrépa-etanol |
9,6 |
9,6 |
|
3. |
kukoricaetanol |
25,5 |
25,5 |
|
4. |
egyéb gabona-etanol |
27,0 |
27,0 |
|
5. |
cukornádetanol |
17,1 |
17,1 |
|
6. |
az ETBE megújuló energiaforrásokból előállított része |
az etanol előállítási módéval megegyező |
|
|
7. |
a TAEE megújuló energiaforrásokból előállított része |
az etanol előállítási módéval megegyező |
|
|
8. |
repce-biodízel |
32,0 |
32,0 |
|
9. |
napraforgó-biodízel |
26,1 |
26,1 |
|
10. |
szójabab-biodízel |
21,2 |
21,2 |
|
11. |
pálmaolaj-biodízel |
26,0 |
26,0 |
|
12. |
használt sütőolajból előállított biodízel |
0 |
0 |
|
13. |
állati eredetű kiolvasztott zsírokból nyert biodízel (7) |
0 |
0 |
|
14. |
hidrogénnel kezelt növényi olaj repcéből |
33,4 |
33,4 |
|
15. |
hidrogénnel kezelt növényi olaj napraforgóból |
26,9 |
26,9 |
|
16. |
hidrogénnel kezelt növényi olaj szójababból |
22,1 |
22,1 |
|
17. |
hidrogénnel kezelt növényi olaj pálmaolajból |
27,3 |
27,3 |
|
18. |
hidrogénnel kezelt olaj használt sütőolajból |
0 |
0 |
|
19. |
állati eredetű kiolvasztott zsírokból nyert, hidrogénnel kezelt olaj |
0 |
0 |
|
20. |
tiszta növényi olaj repcéből |
33,4 |
33,4 |
|
21. |
tiszta növényi olaj napraforgóból |
27,2 |
27,2 |
|
22. |
tiszta növényi olaj szójababból |
22,2 |
22,2 |
|
23. |
tiszta növényi olaj pálmaolajból |
27,1 |
27,1 |
|
24. |
tiszta olaj használt sütőolajból |
0 |
0 |
|
25. |
növényi hulladékból vagy állati eredetű olajokból előállított biodízel |
0 |
0 |
|
26. |
biogáz organikus háztartási hulladékból sűrített földgázként |
0 |
0 |
|
27. |
biogáz nedves trágyából sűrített földgázként |
0 |
0 |
|
28. |
biogáz száraz trágyából sűrített földgázként |
0 |
0 |
2.2. Diszaggregált alapértelmezett értékek a termelésre vonatkozóan: „eec” kizárólag a talajból származó N2O-kibocsátás (ezek már szerepelnek a termelés során keletkező kibocsátásokra vonatkozó diszaggregált értékekben, az „eec” táblázatban)
|
A |
B |
C |
|
|---|---|---|---|
|
1. |
Bioüzemanyag és egyéb folyékony bio-energiahordozó előállítási mód |
Üvegházhatású gázkibocsátás – jellemző érték |
Üvegházhatású gázkibocsátás – alapértelmezett érték |
|
2. |
cukorrépa-etanol |
4,9 |
4,9 |
|
3. |
kukoricaetanol |
13,7 |
13,7 |
|
4. |
egyéb gabona-etanol a kukoricaetanol kivételével |
14,1 |
14,1 |
|
5. |
cukornádetanol |
2,1 |
2,1 |
|
6. |
az ETBE megújuló energiaforrásokból előállított része |
az etanol előállítási módéval megegyező |
|
|
7. |
a TAEE megújuló energiaforrásokból előállított része |
az etanol előállítási módéval megegyező |
|
|
8. |
repce-biodízel |
17,6 |
17,6 |
|
9. |
napraforgó-biodízel |
12,2 |
12,2 |
|
10. |
szójabab-biodízel |
13,4 |
13,4 |
|
11. |
pálmaolaj-biodízel |
16,5 |
16,5 |
|
12. |
használt sütőolajból előállított biodízel |
0 |
0 |
|
13. |
állati eredetű kiolvasztott zsírokból nyert biodízel (7) |
0 |
0 |
|
14. |
hidrogénnel kezelt növényi olaj repcéből |
18,0 |
18,0 |
|
15. |
hidrogénnel kezelt növényi olaj napraforgóból |
12,5 |
12,5 |
|
16. |
hidrogénnel kezelt növényi olaj szójababból |
13,7 |
13,7 |
|
17. |
hidrogénnel kezelt növényi olaj pálmaolajból |
16,9 |
16,9 |
|
18. |
hidrogénnel kezelt olaj használt sütőolajból |
0 |
0 |
|
19. |
állati eredetű kiolvasztott zsírokból nyert, hidrogénnel kezelt olaj (7) |
0 |
0 |
|
20. |
tiszta növényi olaj repcéből |
17,6 |
17,6 |
|
21. |
tiszta növényi olaj napraforgóból |
12,2 |
12,2 |
|
22. |
tiszta növényi olaj szójababból |
13,4 |
13,4 |
|
23. |
tiszta növényi olaj pálmaolajból |
16,5 |
16,5 |
|
24. |
tiszta olaj használt sütőolajból |
0 |
0 |
2.3. A feldolgozásra vonatkozó diszaggregált alapértelmezett értékek: „ep” az e melléklet 1. pontjában meghatározottak szerint
|
A |
B |
C |
|
|---|---|---|---|
|
1. |
Bioüzemanyag és egyéb folyékony bio-energiahordozó előállítási mód |
Üvegházhatású gázkibocsátás - jellemző érték |
Üvegházhatású gázkibocsátás - alapértelmezett érték |
|
2. |
cukorrépa-etanol (szennyvízből előállított biogáz nem, a feldolgozáshoz használt üzemanyag földgáz hagyományos kazánban) |
18,8 |
26,3 |
|
3. |
cukorrépa-etanol (szennyvízből előállított biogázzal együtt, a feldolgozáshoz használt üzemanyag földgáz hagyományos kazánban) |
9,7 |
13,6 |
|
4. |
cukorrépa-etanol (szennyvízből előállított biogáz nélkül, a feldolgozáshoz használt üzemanyag földgáz kapcsolt energiatermelést végző létesítményben (8)) |
13,2 |
18,5 |
|
5. |
cukorrépa-etanol (szennyvízből előállított biogázzal együtt, a feldolgozáshoz használt üzemanyag földgáz kapcsolt energiatermelést végző létesítményben (8)) |
7,6 |
10,6 |
|
6. |
cukorrépa-etanol (szennyvízből előállított biogáz nélkül, a feldolgozáshoz használt üzemanyag lignit kapcsolt energiatermelést végző létesítményben (8)) |
27,4 |
38,3 |
|
7. |
cukorrépa-etanol (szennyvízből előállított biogázzal együtt, a feldolgozáshoz használt üzemanyag lignit kapcsolt energiatermelést végző létesítményben (8)) |
15,7 |
22,0 |
|
8. |
kukoricaetanol (a feldolgozáshoz használt üzemanyag földgáz hagyományos kazánban) |
20,8 |
29,1 |
|
9. |
kukoricaetanol (a feldolgozáshoz használt üzemanyag földgáz kapcsolt energiatermelést végző létesítményben (8)) |
14,8 |
20,8 |
|
10. |
kukoricaetanol (a feldolgozáshoz használt üzemanyag lignit kapcsolt energiatermelést végző létesítményben (8)) |
28,6 |
40,1 |
|
11. |
kukoricaetanol (a feldolgozáshoz használt üzemanyag erdészeti maradványanyagok kapcsolt energiatermelést végző létesítményben (8)) |
1,8 |
2,6 |
|
12. |
egyéb gabona-etanol a kukoricaetanol kivételével (a feldolgozáshoz használt üzemanyag földgáz hagyományos kazánban) |
21,0 |
29,3 |
|
13. |
egyéb gabona-etanol a kukoricaetanol kivételével (a feldolgozáshoz használt üzemanyag földgáz kapcsolt energiatermelést végző létesítményben (8)) |
15,1 |
21,1 |
|
14. |
egyéb gabona-etanol a kukoricaetanol kivételével (a feldolgozáshoz használt üzemanyag lignit kapcsolt energiatermelést végző létesítményben (8)) |
30,3 |
42,5 |
|
15. |
egyéb gabona-etanol a kukoricaetanol kivételével (a feldolgozáshoz használt üzemanyag erdészeti maradványanyagok kapcsolt energiatermelést végző létesítményben (8)) |
1,5 |
2,2 |
|
16. |
cukornádetanol |
1,3 |
1,8 |
|
17. |
az ETBE megújuló energiaforrásokból előállított része |
az etanol előállítási módéval megegyező |
|
|
18. |
a TAEE megújuló energiaforrásokból előállított része |
az etanol előállítási módéval megegyező |
|
|
19. |
repce-biodízel |
11,7 |
16,3 |
|
20. |
napraforgó-biodízel |
11,8 |
16,5 |
|
21. |
szójabab-biodízel |
12,1 |
16,9 |
|
22. |
pálmaolaj-biodízel (nyitott szennyvíztisztító medence) |
30,4 |
42,6 |
|
23. |
pálmaolaj-biodízel (az eljárás során metánmegkötés történik az olajsajtolóban) |
13,2 |
18,5 |
|
24. |
használt sütőolajból előállított biodízel |
9,3 |
13,0 |
|
25. |
állati eredetű kiolvasztott zsírokból nyert biodízel (9) |
13,6 |
19,1 |
|
26. |
hidrogénnel kezelt növényi olaj repcéből |
10,7 |
15,0 |
|
27. |
hidrogénnel kezelt növényi olaj napraforgóból |
10,5 |
14,7 |
|
28. |
hidrogénnel kezelt növényi olaj szójababból |
10,9 |
15,2 |
|
29. |
hidrogénnel kezelt növényi olaj pálmaolajból (nyitott szennyvíztisztító medence) |
27,8 |
38,9 |
|
30. |
hidrogénnel kezelt növényi olaj pálmaolajból (az eljárás során metánmegkötés történik az olajsajtolóban) |
9,7 |
13,6 |
|
31. |
hidrogénnel kezelt olaj használt sütőolajból |
10,2 |
14,3 |
|
32. |
állati eredetű kiolvasztott zsírokból nyert, hidrogénnel kezelt olaj (9) |
14,5 |
20,3 |
|
33. |
tiszta növényi olaj repcéből |
3,7 |
5,2 |
|
34. |
tiszta növényi olaj napraforgóból |
3,8 |
5,4 |
|
35. |
tiszta növényi olaj szójababból |
4,2 |
5,9 |
|
36. |
tiszta növényi olaj pálmaolajból (nyitott szennyvíztisztító medence) |
22,6 |
31,7 |
|
37. |
tiszta növényi olaj pálmaolajból (az eljárás során metánmegkötés történik az olajsajtolóban) |
4,7 |
6,5 |
|
38. |
tiszta olaj használt sütőolajból |
0,6 |
0,8 |
|
39. |
növényi hulladékból vagy állati eredetű olajokból előállított biodízel |
9 |
13 |
|
40. |
biogáz organikus háztartási hulladékból sűrített földgázként |
14 |
20 |
|
41. |
biogáz nedves trágyából sűrített földgázként |
8 |
11 |
|
42. |
biogáz száraz trágyából sűrített földgázként |
8 |
11 |
2.4. Csak az olajextrahálásra vonatkozó diszaggregált alapértelmezett értékek (ezek már szerepelnek a feldolgozás során keletkező kibocsátásokra vonatkozó diszaggregált értékekben, az „ep” táblázatban)
|
A |
B |
C |
|
|---|---|---|---|
|
1. |
Bioüzemanyag és egyéb folyékony bio-energiahordozó előállítási mód |
Üvegházhatású gázkibocsátás – jellemző érték |
Üvegházhatású gázkibocsátás – alapértelmezett érték |
|
2. |
repce-biodízel |
3,0 |
4,2 |
|
3. |
napraforgó-biodízel |
2,9 |
4,0 |
|
4. |
szójabab-biodízel |
3,2 |
4,4 |
|
5. |
pálmaolaj-biodízel (nyitott szennyvíztisztító medence) |
20,9 |
29,2 |
|
6. |
pálmaolaj-biodízel (az eljárás során metánmegkötés történik az olajsajtolóban) |
3,7 |
5,1 |
|
7. |
használt sütőolajból előállított biodízel |
0 |
0 |
|
8. |
állati eredetű kiolvasztott zsírokból nyert biodízel (9) |
4,3 |
6,1 |
|
9. |
hidrogénnel kezelt növényi olaj repcéből |
3,1 |
4,4 |
|
10. |
hidrogénnel kezelt növényi olaj napraforgóból |
3,0 |
4,1 |
|
11. |
hidrogénnel kezelt növényi olaj szójababból |
3,3 |
4,6 |
|
12. |
hidrogénnel kezelt növényi olaj pálmaolajból (nyitott szennyvíztisztító medence) |
21,9 |
30,7 |
|
13. |
hidrogénnel kezelt növényi olaj pálmaolajból (az eljárás során metánmegkötés történik az olajsajtolóban) |
3,8 |
5,4 |
|
14. |
hidrogénnel kezelt olaj használt sütőolajból |
0 |
0 |
|
15. |
állati eredetű kiolvasztott zsírokból nyert, hidrogénnel kezelt olaj (9) |
4,3 |
6,0 |
|
16. |
tiszta növényi olaj repcéből |
3,1 |
4,4 |
|
17. |
tiszta növényi olaj napraforgóból |
3,0 |
4,2 |
|
18. |
tiszta növényi olaj szójababból |
3,4 |
4,7 |
|
19. |
tiszta növényi olaj pálmaolajból (nyitott szennyvíztisztító medence) |
21,8 |
30,5 |
|
20. |
tiszta növényi olaj pálmaolajból (az eljárás során metánmegkötés történik az olajsajtolóban) |
3,8 |
5,3 |
|
21. |
tiszta olaj használt sütőolajból |
0 |
0 |
2.5. A szállításra és az elosztásra vonatkozó diszaggregált alapértelmezett értékek: „etd” az e melléklet 1. pontjában meghatározottak szerint
|
A |
B |
C |
|
|---|---|---|---|
|
1. |
Bioüzemanyag és egyéb folyékony bio-energiahordozó előállítási mód |
Üvegházhatású gázkibocsátás - jellemző |
Üvegházhatású gázkibocsátás - alapértelmezett érték |
|
2. |
cukorrépa-etanol (szennyvízből előállított biogáz nem, a feldolgozáshoz használt üzemanyag földgáz hagyományos kazánban) |
2,3 |
2,3 |
|
3. |
cukorrépa-etanol (szennyvízből előállított biogázzal együtt, a feldolgozáshoz használt üzemanyag földgáz hagyományos kazánban) |
2,3 |
2,3 |
|
4. |
cukorrépa-etanol (szennyvízből előállított biogáz nélkül, a feldolgozáshoz használt üzemanyag földgáz kapcsolt energiatermelést végző létesítményben (8)) |
2,3 |
2,3 |
|
5. |
cukorrépa-etanol (szennyvízből előállított biogázzal együtt, a feldolgozáshoz használt üzemanyag földgáz kapcsolt energiatermelést végző létesítményben (8)) |
2,3 |
2,3 |
|
6. |
cukorrépa-etanol (szennyvízből előállított biogáz nélkül, a feldolgozáshoz használt üzemanyag lignit kapcsolt energiatermelést végző létesítményben (8)) |
2,3 |
2,3 |
|
7. |
cukorrépa-etanol (szennyvízből előállított biogázzal együtt, a feldolgozáshoz használt üzemanyag lignit kapcsolt energiatermelést végző létesítményben (8)) |
2,3 |
2,3 |
|
8. |
kukoricaetanol (a feldolgozáshoz használt üzemanyag földgáz kapcsolt energiatermelést végző létesítményben (8)) |
2,2 |
2,2 |
|
9. |
kukoricaetanol (a feldolgozáshoz használt üzemanyag földgáz hagyományos kazánban) |
2,2 |
2,2 |
|
10. |
kukoricaetanol (a feldolgozáshoz használt üzemanyag lignit kapcsolt energiatermelést végző létesítményben (8)) |
2,2 |
2,2 |
|
11. |
kukoricaetanol (a feldolgozáshoz használt üzemanyag erdészeti maradványanyagok kapcsolt energiatermelést végző létesítményben (8)) |
2,2 |
2,2 |
|
12. |
egyéb gabona-etanol a kukoricaetanol kivételével (a feldolgozáshoz használt üzemanyag földgáz hagyományos kazánban) |
2,2 |
2,2 |
|
13. |
egyéb gabona-etanol a kukoricaetanol kivételével (a feldolgozáshoz használt üzemanyag földgáz kapcsolt energiatermelést végző létesítményben (8)) |
2,2 |
2,2 |
|
14. |
egyéb gabona-etanol a kukoricaetanol kivételével (a feldolgozáshoz használt üzemanyag lignit kapcsolt energiatermelést végző létesítményben (8)) |
2,2 |
2,2 |
|
15. |
egyéb gabona-etanol a kukoricaetanol kivételével (a feldolgozáshoz használt üzemanyag erdészeti maradványanyagok kapcsolt energiatermelést végző létesítményben (8)) |
2,2 |
2,2 |
|
16. |
cukornádetanol |
9,7 |
9,7 |
|
17. |
az ETBE megújuló energiaforrásokból előállított része |
az etanol előállítási módéval megegyező |
|
|
18. |
a TAEE megújuló energiaforrásokból előállított része |
az etanol előállítási módéval megegyező |
|
|
19. |
repce-biodízel |
1,8 |
1,8 |
|
20. |
napraforgó-biodízel |
2,1 |
2,1 |
|
21. |
szójabab-biodízel |
8,9 |
8,9 |
|
22. |
pálmaolaj-biodízel (nyitott szennyvíztisztító medence) |
6,9 |
6,9 |
|
23. |
pálmaolaj-biodízel (az eljárás során metánmegkötés történik az olajsajtolóban) |
6,9 |
6,9 |
|
24. |
használt sütőolajból előállított biodízel |
1,9 |
1,9 |
|
25. |
állati eredetű kiolvasztott zsírokból nyert biodízel (9) |
1,6 |
1,6 |
|
26. |
hidrogénnel kezelt növényi olaj repcéből |
1,7 |
1,7 |
|
27. |
hidrogénnel kezelt növényi olaj napraforgóból |
2,0 |
2,0 |
|
28. |
hidrogénnel kezelt növényi olaj szójababból |
9,2 |
9,2 |
|
29. |
hidrogénnel kezelt növényi olaj pálmaolajból (nyitott szennyvíztisztító medence) |
7,0 |
7,0 |
|
30. |
hidrogénnel kezelt növényi olaj pálmaolajból (az eljárás során metánmegkötés történik az olajsajtolóban) |
7,0 |
7,0 |
|
31. |
hidrogénnel kezelt olaj használt sütőolajból |
1,7 |
1,7 |
|
32. |
állati eredetű kiolvasztott zsírokból nyert, hidrogénnel kezelt olaj (9) |
1,5 |
1,5 |
|
33. |
tiszta növényi olaj repcéből |
1,4 |
1,4 |
|
34. |
tiszta növényi olaj napraforgóból |
1,7 |
1,7 |
|
35. |
tiszta növényi olaj szójababból |
8,8 |
8,8 |
|
36. |
tiszta növényi olaj pálmaolajból (nyitott szennyvíztisztító medence) |
6,7 |
6,7 |
|
37. |
tiszta növényi olaj pálmaolajból (az eljárás során metánmegkötés történik az olajsajtolóban) |
6,7 |
6,7 |
|
38. |
tiszta olaj használt sütőolajból |
1,4 |
1,4 |
|
39. |
növényi hulladékból vagy állati eredetű olajokból előállított biodízel |
1 |
1 |
|
40. |
biogáz organikus háztartási hulladékból sűrített földgázként |
3 |
3 |
|
41. |
biogáz nedves trágyából sűrített földgázként |
5 |
5 |
|
42. |
biogáz száraz trágyából sűrített földgázként |
4 |
4 |
2.6. A szállításra és az elosztásra vonatkozó diszaggregált alapértelmezett értékek csak a végső energiahordozó tekintetében: ezek már szerepelnek az e melléklet 1. pontjában meghatározott, a szállításból és az elosztásból származó kibocsátásra (etd) vonatkozó táblázatban, azonban a következő értékek hasznosak lehetnek akkor, ha egy gazdasági szereplő kizárólag a növények vagy az olaj tényleges szállításából eredő kibocsátásokat kívánja bejelenteni.
|
A |
B |
C |
|
|---|---|---|---|
|
1. |
Bioüzemanyag és egyéb folyékony bio-energiahordozó előállítási mód |
Üvegházhatású gázkibocsátás – jellemző érték |
Üvegházhatású gázkibocsátás – alapértelmezett érték |
|
2. |
cukorrépa-etanol (szennyvízből előállított biogáz nem, a feldolgozáshoz használt üzemanyag földgáz hagyományos kazánban) |
1,6 |
1,6 |
|
3. |
cukorrépa-etanol (szennyvízből előállított biogázzal együtt, a feldolgozáshoz használt üzemanyag földgáz hagyományos kazánban) |
1,6 |
1,6 |
|
4. |
cukorrépa-etanol (szennyvízből előállított biogáz nélkül, a feldolgozáshoz használt üzemanyag földgáz kapcsolt energiatermelést végző létesítményben (8)) |
1,6 |
1,6 |
|
5. |
cukorrépa-etanol (szennyvízből előállított biogázzal együtt, a feldolgozáshoz használt üzemanyag földgáz kapcsolt energiatermelést végző létesítményben (8)) |
1,6 |
1,6 |
|
6. |
cukorrépa-etanol (szennyvízből előállított biogáz nélkül, a feldolgozáshoz használt üzemanyag lignit kapcsolt energiatermelést végző létesítményben (8)) |
1,6 |
1,6 |
|
7. |
cukorrépa-etanol (szennyvízből előállított biogázzal együtt, a feldolgozáshoz használt üzemanyag lignit kapcsolt energiatermelést végző létesítményben (8)) |
1,6 |
1,6 |
|
8. |
kukoricaetanol (a feldolgozáshoz használt üzemanyag földgáz hagyományos kazánban) |
1,6 |
1,6 |
|
9. |
kukoricaetanol (a feldolgozáshoz használt üzemanyag földgáz kapcsolt energiatermelést végző létesítményben (8)) |
1,6 |
1,6 |
|
10. |
kukoricaetanol (a feldolgozáshoz használt üzemanyag lignit kapcsolt energiatermelést végző létesítményben (8)) |
1,6 |
1,6 |
|
11. |
kukoricaetanol (a feldolgozáshoz használt üzemanyag erdészeti maradékanyagok kapcsolt energiatermelést végző létesítményben (8)) |
1,6 |
1,6 |
|
12. |
egyéb gabona-etanol a kukoricaetanol kivételével (a feldolgozáshoz használt üzemanyag földgáz hagyományos kazánban) |
1,6 |
1,6 |
|
13. |
egyéb gabona-etanol a kukoricaetanol kivételével (a feldolgozáshoz használt üzemanyag földgáz kapcsolt energiatermelést végző létesítményben (8)) |
1,6 |
1,6 |
|
14. |
egyéb gabona-etanol a kukoricaetanol kivételével (a feldolgozáshoz használt üzemanyag lignit kapcsolt energiatermelést végző létesítményben (8)) |
1,6 |
1,6 |
|
15. |
egyéb gabona-etanol a kukoricaetanol kivételével (a feldolgozáshoz használt üzemanyag erdészeti maradékanyagok kapcsolt energiatermelést végző létesítményben (8)) |
1,6 |
1,6 |
|
16. |
cukornádetanol |
6,0 |
6,0 |
|
17. |
az etil-terc-butil-éter (TAEE) megújuló forrásból származó etanolból előállított része |
Az etanol előállítási módéval megegyezőnek tekintendő. |
|
|
18. |
a tercier-amil-etil-éter (TAEE) megújuló forrásból származó etanolból előállított része |
Az etanol előállítási módéval megegyezőnek tekintendő. |
|
|
19. |
repce-biodízel |
1,3 |
1,3 |
|
20. |
napraforgó-biodízel |
1,3 |
1,3 |
|
21. |
szójabab-biodízel |
1,3 |
1,3 |
|
22. |
pálmaolaj-biodízel (nyitott szennyvíztisztító medence) |
1,3 |
1,3 |
|
23. |
pálmaolaj-biodízel (az eljárás során metánmegkötés történik az olajsajtolóban) |
1,3 |
1,3 |
|
24. |
használt sütőolajból előállított biodízel |
1,3 |
1,3 |
|
25. |
állati eredetű kiolvasztott zsírokból nyert biodízel (9) |
1,3 |
1,3 |
|
26. |
hidrogénnel kezelt növényi olaj repcéből |
1,2 |
1,2 |
|
27. |
hidrogénnel kezelt növényi olaj napraforgóból |
1,2 |
1,2 |
|
28. |
hidrogénnel kezelt növényi olaj szójababból |
1,2 |
1,2 |
|
29. |
hidrogénnel kezelt növényi olaj pálmaolajból (nyitott szennyvíztisztító medence) |
1,2 |
1,2 |
|
30. |
hidrogénnel kezelt növényi olaj pálmaolajból (az eljárás során metánmegkötés történik az olajsajtolóban) |
1,2 |
1,2 |
|
31. |
hidrogénnel kezelt olaj használt sütőolajból |
1,2 |
1,2 |
|
32. |
állati eredetű kiolvasztott zsírokból nyert, hidrogénnel kezelt olaj (9) |
1,2 |
1,2 |
|
33. |
tiszta növényi olaj repcéből |
0,8 |
0,8 |
|
34. |
tiszta növényi olaj napraforgóból |
0,8 |
0,8 |
|
35. |
tiszta növényi olaj szójababból |
0,8 |
0,8 |
|
36. |
tiszta növényi olaj pálmaolajból (nyitott szennyvíztisztító medence) |
0,8 |
0,8 |
|
37. |
tiszta növényi olaj pálmaolajból (az eljárás során metánmegkötés történik az olajsajtolóban) |
0,8 |
0,8 |
|
38. |
tiszta olaj használt sütőolajból |
0,8 |
0,8 |
3. A termelésre, előállításra, szállításra és elosztásra vonatkozó összérték:
|
A |
B |
C |
|
|---|---|---|---|
|
1. |
Bioüzemanyag és egyéb folyékony bio-energiahordozó előállítási mód |
Üvegházhatású gázkibocsátás - jellemző érték |
Üvegházhatású gázkibocsátás - alapértelmezett érték |
|
2. |
cukorrépa-etanol (szennyvízből előállított biogáz nem, a feldolgozáshoz használt üzemanyag földgáz hagyományos kazánban) |
30,7 |
38,2 |
|
3. |
cukorrépa-etanol (szennyvízből előállított biogázzal együtt, a feldolgozáshoz használt üzemanyag földgáz hagyományos kazánban) |
21,6 |
25,5 |
|
4. |
cukorrépa-etanol (szennyvízből előállított biogáz nélkül, a feldolgozáshoz használt üzemanyag földgáz kapcsolt energiatermelést végző létesítményben (10)) |
25,1 |
30,4 |
|
5. |
cukorrépa-etanol (szennyvízből előállított biogázzal együtt, a feldolgozáshoz használt üzemanyag földgáz kapcsolt energiatermelést végző létesítményben (10)) |
19,5 |
22,5 |
|
6. |
cukorrépa-etanol (szennyvízből előállított biogáz nélkül, a feldolgozáshoz használt üzemanyag lignit kapcsolt energiatermelést végző létesítményben (10)) |
39,3 |
50,2 |
|
7. |
cukorrépa-etanol (szennyvízből előállított biogázzal együtt, a feldolgozáshoz használt üzemanyag lignit kapcsolt energiatermelést végző létesítményben (10)) |
27,6 |
33,9 |
|
8. |
kukoricaetanol (a feldolgozáshoz használt üzemanyag földgáz hagyományos kazánban) |
48,5 |
56,8 |
|
9. |
kukoricaetanol (a feldolgozáshoz használt üzemanyag földgáz kapcsolt energiatermelést végző létesítményben (10)) |
42,5 |
48,5 |
|
10. |
kukoricaetanol (a feldolgozáshoz használt üzemanyag lignit kapcsolt energiatermelést végző létesítményben (10)) |
56,3 |
67,8 |
|
11. |
kukoricaetanol (a feldolgozáshoz használt üzemanyag erdészeti maradványanyagok kapcsolt energiatermelést végző létesítményben (10)) |
29,5 |
30,3 |
|
12. |
egyéb gabona-etanol a kukoricaetanol kivételével (a feldolgozáshoz használt üzemanyag földgáz hagyományos kazánban) |
50,2 |
58,5 |
|
13. |
egyéb gabona-etanol a kukoricaetanol kivételével (a feldolgozáshoz használt üzemanyag földgáz kapcsolt energiatermelést végző létesítményben (10)) |
44,3 |
50,3 |
|
14. |
egyéb gabona-etanol a kukoricaetanol kivételével (a feldolgozáshoz használt üzemanyag lignit kapcsolt energiatermelést végző létesítményben (10)) |
59,5 |
71,7 |
|
15. |
egyéb gabona-etanol a kukoricaetanol kivételével (a feldolgozáshoz használt üzemanyag erdészeti maradványanyagok kapcsolt energiatermelést végző létesítményben (10)) |
30,7 |
31,4 |
|
16. |
cukornádetanol |
28,1 |
28,6 |
|
17. |
az ETBE megújuló energiaforrásokból előállított része |
az etanol előállítási módéval megegyező |
|
|
18. |
a TAEE megújuló energiaforrásokból előállított része |
az etanol előállítási módéval megegyező |
|
|
19. |
repce-biodízel |
45,5 |
50,1 |
|
20. |
napraforgó-biodízel |
40,0 |
44,7 |
|
21. |
szójabab-biodízel |
42,2 |
47,0 |
|
22. |
pálmaolaj-biodízel (nyitott szennyvíztisztító medence) |
63,3 |
75,5 |
|
23. |
pálmaolaj-biodízel (az eljárás során metánmegkötés történik az olajsajtolóban) |
46,1 |
51,4 |
|
24. |
használt sütőolajból előállított biodízel |
11,2 |
14,9 |
|
25. |
állati eredetű kiolvasztott zsírokból nyert biodízel (9) |
15,2 |
20,7 |
|
26. |
hidrogénnel kezelt növényi olaj repcéből |
45,8 |
50,1 |
|
27. |
hidrogénnel kezelt növényi olaj napraforgóból |
39,4 |
43,6 |
|
28. |
hidrogénnel kezelt növényi olaj szójababból |
42,2 |
46,5 |
|
29. |
hidrogénnel kezelt növényi olaj pálmaolajból (nyitott szennyvíztisztító medence) |
62,1 |
73,2 |
|
30. |
hidrogénnel kezelt növényi olaj pálmaolajból (az eljárás során metánmegkötés történik az olajsajtolóban) |
44,0 |
47,9 |
|
31. |
hidrogénnel kezelt olaj használt sütőolajból |
11,9 |
16,0 |
|
32. |
állati eredetű kiolvasztott zsírokból nyert, hidrogénnel kezelt olaj (9) |
16,0 |
21,8 |
|
33. |
tiszta növényi olaj repcéből |
38,5 |
40,0 |
|
34. |
tiszta növényi olaj napraforgóból |
32,7 |
34,3 |
|
35. |
tiszta növényi olaj szójababból |
35,2 |
36,9 |
|
36. |
tiszta növényi olaj pálmaolajból (nyitott szennyvíztisztító medence) |
56,4 |
65,5 |
|
37. |
tiszta növényi olaj pálmaolajból (az eljárás során metánmegkötés történik az olajsajtolóban) |
38,5 |
40,3 |
|
38. |
tiszta olaj használt sütőolajból |
2,0 |
2,2 |
|
39. |
növényi hulladékból vagy állati eredetű olajokból előállított biodízel |
10 |
14 |
|
40. |
biogáz organikus háztartási hulladékból sűrített földgázként |
17 |
23 |
|
41. |
biogáz nedves trágyából sűrített földgázként |
13 |
16 |
|
42. |
biogáz száraz trágyából sűrített földgázként |
12 |
15 |
4. A bioüzemanyagok jellemző és alapértelmezett értékei, ha azokat a földhasználat megváltozásából adódó nettó szénkibocsátás nélkül állítják elő
|
A |
B |
C |
|
|---|---|---|---|
|
1. |
Bioüzemanyag-előállítási mód |
Üvegházhatásúgáz- |
Üvegházhatásúgáz- |
|
2. |
cukorrépa-etanol (szennyvízből előállított biogáz nem, a feldolgozáshoz használt üzemanyag földgáz hagyományos kazánban) |
67% |
59% |
|
3. |
cukorrépa-etanol (szennyvízből előállított biogázzal együtt, a feldolgozáshoz használt üzemanyag földgáz hagyományos kazánban) |
77% |
73% |
|
4. |
cukorrépa-etanol (szennyvízből előállított biogáz nélkül, a feldolgozáshoz használt üzemanyag földgáz kapcsolt energiatermelést végző létesítményben (8)) |
73% |
68% |
|
5. |
cukorrépa-etanol (szennyvízből előállított biogázzal együtt, a feldolgozáshoz használt üzemanyag földgáz kapcsolt energiatermelést végző létesítményben (8)) |
79% |
76% |
|
6. |
cukorrépa-etanol (szennyvízből előállított biogáz nélkül, a feldolgozáshoz használt üzemanyag lignit kapcsolt energiatermelést végző létesítményben (8)) |
58% |
47% |
|
7. |
cukorrépa-etanol (szennyvízből előállított biogázzal együtt, a feldolgozáshoz használt üzemanyag lignit kapcsolt energiatermelést végző létesítményben (8)) |
71% |
64% |
|
8. |
kukoricaetanol (a feldolgozáshoz használt üzemanyag földgáz hagyományos kazánban) |
48% |
40% |
|
9. |
kukoricaetanol (a feldolgozáshoz használt üzemanyag földgáz kapcsolt energiatermelést végző létesítményben (8)) |
55% |
48% |
|
10. |
kukoricaetanol (a feldolgozáshoz használt üzemanyag lignit kapcsolt energiatermelést végző létesítményben (8)) |
40% |
28% |
|
11. |
kukoricaetanol (a feldolgozáshoz használt üzemanyag erdészeti maradványanyagok kapcsolt energiatermelést végző létesítményben (8)) |
69% |
68% |
|
12. |
egyéb gabona-etanol a kukoricaetanol kivételével (a feldolgozáshoz használt üzemanyag földgáz hagyományos kazánban) |
47% |
38% |
|
13. |
egyéb gabona-etanol a kukoricaetanol kivételével (a feldolgozáshoz használt üzemanyag földgáz, kapcsolt energiatermelést végző létesítményben (8)) |
53% |
46% |
|
14. |
egyéb gabona-etanol a kukoricaetanol kivételével (a feldolgozáshoz használt üzemanyag lignit, kapcsolt energiatermelést végző létesítményben (8)) |
37% |
24% |
|
15. |
egyéb gabona-etanol a kukoricaetanol kivételével (a feldolgozáshoz használt üzemanyag erdészeti maradványanyag, kapcsolt energiatermelést végző létesítményben (8)) |
67% |
67% |
|
16. |
cukornádetanol |
70% |
70% |
|
17. |
az etil-terc-butiléter (ETBE) megújuló forrásokból előállított része |
az etanol előállítási módéval megegyező |
|
|
18. |
a tercier-amil-etil-éter (TAEE) megújuló forrásokból előállított része |
az etanol előállítási módéval megegyező |
|
|
19. |
repce-biodízel |
52% |
47% |
|
20. |
napraforgó-biodízel |
57% |
52% |
|
21. |
szójabab-biodízel |
55% |
50% |
|
22. |
pálmaolaj-biodízel (nyitott szennyvíztisztító medence) |
33% |
20% |
|
23. |
pálmaolaj-biodízel (az eljárás során metánmegkötés történik az olajsajtolóban) |
51% |
45% |
|
24. |
használt sütőolajból előállított biodízel |
88% |
84% |
|
25. |
állati eredetű kiolvasztott zsírokból nyert biodízel (9) |
84% |
78% |
|
26. |
hidrogénnel kezelt növényi olaj repcéből |
51% |
47% |
|
27. |
hidrogénnel kezelt növényi olaj napraforgóból |
58% |
54% |
|
28. |
hidrogénnel kezelt növényi olaj szójababból |
55% |
51% |
|
29. |
hidrogénnel kezelt növényi olaj pálmaolajból (nyitott szennyvíztisztító medence) |
34% |
22% |
|
30. |
hidrogénnel kezelt növényi olaj pálmaolajból (az eljárás során metánmegkötés történik az olajsajtolóban) |
53% |
49% |
|
31. |
hidrogénnel kezelt olaj használt sütőolajból |
87% |
83% |
|
32. |
állati eredetű kiolvasztott zsírokból nyert, hidrogénnel kezelt olaj (9) |
83% |
77% |
|
33. |
tiszta növényi olaj repcéből |
59% |
57% |
|
34. |
tiszta növényi olaj napraforgóból |
65% |
64% |
|
35. |
tiszta növényi olaj szójababból |
63% |
61% |
|
36. |
tiszta növényi olaj pálmaolajból (nyitott szennyvíztisztító medence) |
40% |
30% |
|
37. |
tiszta növényi olaj pálmaolajból (az eljárás során metánmegkötés történik az olajsajtolóban) |
59% |
57% |
|
38. |
tiszta olaj használt sütőolajból |
98% |
98% |
5. Becsült jellemző és alapértelmezett értékek az olyan jövőbeli bioüzemanyagok esetében, amelyek 2016-ban nem voltak, vagy csak elhanyagolható mennyiségben voltak jelen a piacon, ha azokat a földhasználat megváltozásából adódó nettó szénkibocsátás nélkül állítják elő
|
A |
B |
C |
|
|---|---|---|---|
|
1. |
Bioüzemanyag-előállítási mód |
Üvegházhatásúgáz-kibocsátás-megtakarítás - jellemző érték |
Üvegházhatásúgáz-kibocsátás-megtakarítás - alapértelmezett érték |
|
2. |
búzaszalma-etanol |
85 % |
83 % |
|
3. |
hulladékfa alapú Fischer–Tropsch-dízel önálló erőműben előállítva |
83 % |
83 % |
|
4. |
termesztettfa alapú Fischer–Tropsch-dízel önálló erőműben előállítva |
82 % |
82 % |
|
5. |
hulladékfa alapú Fischer–Tropsch-benzin önálló erőműben előállítva |
83 % |
83 % |
|
6. |
termesztettfa alapú Fischer–Tropsch-benzin önálló erőműben előállítva |
82 % |
82 % |
|
7. |
hulladékfa-dimetil-éter (DME) önálló erőműben előállítva |
84 % |
84 % |
|
8. |
termesztettfa-dimetil-éter (DME) önálló erőműben előállítva |
83 % |
83 % |
|
9. |
hulladékfa-metanol önálló erőműben előállítva |
84 % |
84 % |
|
10. |
termesztettfa-metanol önálló erőműben előállítva |
83 % |
83 % |
|
11. |
Fischer–Tropsch-dízel cellulózgyártáskor keletkező feketelúg gázosításával |
89 % |
89 % |
|
12. |
Fischer–Tropsch-benzin cellulózgyártáskor keletkező feketelúg gázosításával |
89 % |
89 % |
|
13. |
dimetil-éter (DME) cellulózgyártáskor keletkező feketelúg gázosításával |
89 % |
89 % |
|
14. |
metanol cellulózgyártáskor keletkező feketelúg gázosításával |
89 % |
89 % |
|
15. |
a metil-terc-butiléter (MTBE) megújuló energiaforrásokból előállított része |
a metanol előállítási módjával megegyező |
|
6. Becsült diszaggregált alapértelmezett értékek az olyan jövőbeli bioüzemanyagok és folyékony bio-energiahordozók esetében, amelyek 2016-ban nem voltak, vagy csak elhanyagolható mennyiségben voltak jelen a piacon
6.1. A termelésre vonatkozó diszaggregált alapértelmezett értékek: „eec” az 1. pontban meghatározottak szerint, az N2O-kibocsátásokat is beleértve (a hulladékfa- vagy termesztettfa-nyesedéket is beleértve)
|
A |
B |
C |
|
|---|---|---|---|
|
1 |
Bioüzemanyag és egyéb folyékony bio-energiahordozó előállítási mód |
Üvegházhatású gázkibocsátás - jellemző érték |
Üvegházhatású gázkibocsátás - alapértelmezett érték |
|
2 |
búzaszalma-etanol |
1,8 |
1,8 |
|
3 |
hulladékfa alapú Fischer-Tropsch-dízel önálló erőműben előállítva |
3,3 |
3,3 |
|
4 |
termesztettfa alapú Fischer-Tropsch-dízel önálló erőműben előállítva |
8,2 |
8,2 |
|
5 |
hulladékfa alapú Fischer-Tropsch-benzin önálló erőműben előállítva |
3,3 |
3,3 |
|
6 |
termesztettfa alapú Fischer-Tropsch-benzin önálló erőműben előállítva |
8,2 |
8,2 |
|
7 |
hulladékfa-dimetil-éter (DME) önálló erőműben előállítva |
3,1 |
3,1 |
|
8 |
termesztettfa-dimetil-éter (DME) önálló erőműben előállítva |
7,6 |
7,6 |
|
9 |
hulladékfa-metanol önálló erőműben előállítva |
3,1 |
3,1 |
|
10 |
termesztettfa-metanol önálló erőműben előállítva |
7,6 |
7,6 |
|
11 |
Fischer-Tropsch-dízel cellulózgyártáskor keletkező feketelúg gázosításával |
2,5 |
2,5 |
|
12 |
Fischer-Tropsch-benzin cellulózgyártáskor keletkező feketelúg gázosításával |
2,5 |
2,5 |
|
13 |
dimetil-éter (DME) cellulózgyártáskor keletkező feketelúg gázosításával |
2,5 |
2,5 |
|
14 |
metanol cellulózgyártáskor keletkező feketelúg gázosításával |
2,5 |
2,5 |
|
15 |
az MTBE megújuló energiaforrásokból előállított része |
a metanol előállítási módjával megegyező |
|
6.2. Diszaggregált alapértelmezett értékek a talajból eredő N2O-kibocsátásokra vonatkozóan (ezek már szerepelnek a termelés során keletkező kibocsátásokra vonatkozó diszaggregált értékekben, az „eec” táblázatban)
|
A |
B |
C |
|
|---|---|---|---|
|
1 |
Bioüzemanyag és egyéb folyékony bio-energiahordozó előállítási mód |
Üvegházhatású gázkibocsátás - jellemző érték |
Üvegházhatású gázkibocsátás - alapértelmezett érték |
|
2 |
búzaszalma-etanol |
0 |
0 |
|
3 |
hulladékfa alapú Fischer-Tropsch-dízel önálló erőműben előállítva |
0 |
0 |
|
4 |
termesztettfa alapú Fischer-Tropsch-dízel önálló erőműben előállítva |
4,4 |
4,4 |
|
5 |
hulladékfa alapú Fischer-Tropsch-benzin önálló erőműben előállítva |
0 |
0 |
|
6 |
termesztettfa alapú Fischer-Tropsch-benzin önálló erőműben előállítva |
4,4 |
4,4 |
|
7 |
hulladékfa-dimetil-éter (DME) önálló erőműben előállítva |
0 |
0 |
|
8 |
termesztettfa-dimetil-éter (DME) önálló erőműben előállítva |
4,1 |
4,1 |
|
9 |
hulladékfa-metanol önálló erőműben előállítva |
0 |
0 |
|
10 |
termesztettfa-metanol önálló erőműben előállítva |
4,1 |
4,1 |
|
11 |
Fischer-Tropsch-dízel cellulózgyártáskor keletkező feketelúg gázosításával |
0 |
0 |
|
12 |
Fischer-Tropsch-benzin cellulózgyártáskor keletkező feketelúg gázosításával |
0 |
0 |
|
13 |
dimetil-éter (DME) cellulózgyártáskor keletkező feketelúg gázosításával |
0 |
0 |
|
14 |
metanol cellulózgyártáskor keletkező feketelúg gázosításával |
0 |
0 |
|
15 |
az MTBE megújuló energiaforrásokból előállított része |
a metanol előállítási módjával megegyező |
|
6.3. Diszaggregált alapértelmezett értékek a feldolgozásra vonatkozóan: „ep” az e melléklet 1. pontjában meghatározottak szerint
|
A |
B |
C |
|
|---|---|---|---|
|
1 |
Bioüzemanyag és egyéb folyékony bio-energiahordozó előállítási mód |
Üvegházhatású gázkibocsátás - jellemző érték |
Üvegházhatású gázkibocsátás - alapértelmezett érték |
|
2 |
búzaszalma-etanol |
4,8 |
6,8 |
|
3 |
hulladékfa alapú Fischer-Tropsch-dízel önálló erőműben előállítva |
0,1 |
0,1 |
|
4 |
termesztettfa alapú Fischer-Tropsch-dízel önálló erőműben előállítva |
0,1 |
0,1 |
|
5 |
hulladékfa alapú Fischer-Tropsch-benzin önálló erőműben előállítva |
0,1 |
0,1 |
|
6 |
termesztettfa alapú Fischer-Tropsch-benzin önálló erőműben előállítva |
0,1 |
0,1 |
|
7 |
hulladékfa-dimetil-éter (DME) önálló erőműben előállítva |
0 |
0 |
|
8 |
termesztettfa-dimetil-éter (DME) önálló erőműben előállítva |
0 |
0 |
|
9 |
hulladékfa-metanol önálló erőműben előállítva |
0 |
0 |
|
10 |
termesztettfa-metanol önálló erőműben előállítva |
0 |
0 |
|
11 |
Fischer-Tropsch-dízel cellulózgyártáskor keletkező feketelúg gázosításával |
0 |
0 |
|
12 |
Fischer-Tropsch-benzin cellulózgyártáskor keletkező feketelúg gázosításával |
0 |
0 |
|
13 |
dimetil-éter (DME) cellulózgyártáskor keletkező feketelúg gázosításával |
0 |
0 |
|
14 |
metanol cellulózgyártáskor keletkező feketelúg gázosításával |
0 |
0 |
|
15 |
az MTBE megújuló energiaforrásokból előállított része |
a metanol előállítási módjával megegyező |
|
6.4. A szállításra és elosztásra vonatkozó diszaggregált alapértelmezett értékek: „etd” az e melléklet 1. pontjában meghatározottak szerint
|
A |
B |
C |
|
|---|---|---|---|
|
1 |
Bioüzemanyag és egyéb folyékony bio-energiahordozó előállítási mód |
Üvegházhatású gázkibocsátás - jellemző érték |
Üvegházhatású gázkibocsátás - alapértelmezett érték |
|
2 |
búzaszalma-etanol |
7,1 |
7,1 |
|
3 |
hulladékfa alapú Fischer-Tropsch-dízel önálló erőműben előállítva |
12,2 |
12,2 |
|
4 |
termesztettfa alapú Fischer-Tropsch-dízel önálló erőműben előállítva |
8,4 |
8,4 |
|
5 |
hulladékfa alapú Fischer-Tropsch-benzin önálló erőműben előállítva |
12,2 |
12,2 |
|
6 |
termesztettfa alapú Fischer-Tropsch-benzin önálló erőműben előállítva |
8,4 |
8,4 |
|
7 |
hulladékfa-dimetil-éter (DME) önálló erőműben előállítva |
12,1 |
12,1 |
|
8 |
termesztettfa-dimetil-éter (DME) önálló erőműben előállítva |
8,6 |
8,6 |
|
9 |
hulladékfa-metanol önálló erőműben előállítva |
12,1 |
12,1 |
|
10 |
termesztettfa-metanol önálló erőműben előállítva |
8,6 |
8,6 |
|
11 |
Fischer-Tropsch-dízel cellulózgyártáskor keletkező feketelúg gázosításával |
7,7 |
7,7 |
|
12 |
Fischer-Tropsch-benzin cellulózgyártáskor keletkező feketelúg gázosításával |
7,9 |
7,9 |
|
13 |
dimetil-éter (DME) cellulózgyártáskor keletkező feketelúg gázosításával |
7,7 |
7,7 |
|
14 |
metanol cellulózgyártáskor keletkező feketelúg gázosításával |
7,9 |
7,9 |
|
15 |
az MTBE megújuló energiaforrásokból előállított része |
a metanol előállítási módjával megegyező |
|
6.5. A szállításra és az elosztásra vonatkozó diszaggregált alapértelmezett értékek csak a végső energiahordozó tekintetében: Ezek már szerepelnek az e melléklet 1. pontjában meghatározott, a szállításból és az elosztásból származó kibocsátásra (etd) vonatkozó táblázatban, azonban a következő értékek hasznosak lehetnek akkor, ha egy gazdasági szereplő kizárólag az alapanyag tényleges szállításából eredő kibocsátásokat kívánja bejelenteni.
|
A |
B |
C |
|
|---|---|---|---|
|
1 |
Bioüzemanyag és egyéb folyékony bio-energiahordozó előállítási mód |
Üvegházhatású gázkibocsátás - jellemző érték |
Üvegházhatású gázkibocsátás - alapértelmezett érték |
|
2 |
búzaszalma-etanol |
1,6 |
1,6 |
|
3 |
hulladékfa alapú Fischer-Tropsch-dízel önálló erőműben előállítva |
1,2 |
1,2 |
|
4 |
termesztettfa alapú Fischer-Tropsch-dízel önálló erőműben előállítva |
1,2 |
1,2 |
|
5 |
hulladékfa alapú Fischer-Tropsch-benzin önálló erőműben előállítva |
1,2 |
1,2 |
|
6 |
termesztettfa alapú Fischer-Tropsch-benzin önálló erőműben előállítva |
1,2 |
1,2 |
|
7 |
hulladékfa-dimetil-éter (DME) önálló erőműben előállítva |
2,0 |
2,0 |
|
8 |
termesztettfa-dimetil-éter (DME) önálló erőműben előállítva |
2,0 |
2,0 |
|
9 |
hulladékfa-metanol önálló erőműben előállítva |
2,0 |
2,0 |
|
10 |
termesztettfa-metanol önálló erőműben előállítva |
2,0 |
2,0 |
|
11 |
Fischer-Tropsch-dízel cellulózgyártáskor keletkező feketelúg gázosításával |
2,0 |
2,0 |
|
12 |
Fischer-Tropsch-benzin cellulózgyártáskor keletkező feketelúg gázosításával |
2,0 |
2,0 |
|
13 |
Dimetil-éter (DME) cellulózgyártáskor keletkező feketelúg gázosításával |
2,0 |
2,0 |
|
14 |
metanol cellulózgyártáskor keletkező feketelúg gázosításával |
2,0 |
2,0 |
|
15 |
az MTBE megújuló energiaforrásokból előállított része |
a metanol előállítási módjával megegyező |
|
6.6. A termelésre, előállításra, szállításra és elosztásra vonatkozó összérték:
|
A |
B |
C |
|
|---|---|---|---|
|
1 |
Bioüzemanyag és egyéb folyékony bio-energiahordozó előállítási mód |
Üvegházhatású gázkibocsátás - jellemző érték |
Üvegházhatású gázkibocsátás - alapértelmezett érték |
|
2 |
búzaszalma-etanol |
13,7 |
15,7 |
|
3 |
hulladékfa alapú Fischer-Tropsch-dízel önálló erőműben előállítva |
15,6 |
15,6 |
|
4 |
termesztettfa alapú Fischer-Tropsch-dízel önálló erőműben előállítva |
16,7 |
16,7 |
|
5 |
hulladékfa alapú Fischer-Tropsch-benzin önálló erőműben előállítva |
15,6 |
15,6 |
|
6 |
termesztettfa alapú Fischer-Tropsch-benzin önálló erőműben előállítva |
16,7 |
16,7 |
|
7 |
hulladékfa-dimetil-éter (DME) önálló erőműben előállítva |
15,2 |
15,2 |
|
8 |
termesztettfa-dimetil-éter (DME) önálló erőműben előállítva |
16,2 |
16,2 |
|
9 |
hulladékfa-metanol önálló erőműben előállítva |
15,2 |
15,2 |
|
10 |
termesztettfa-metanol önálló erőműben előállítva |
16,2 |
16,2 |
|
11 |
Fischer-Tropsch-dízel cellulózgyártáskor keletkező feketelúg gázosításával |
10,2 |
10,2 |
|
12 |
Fischer-Tropsch-benzin cellulózgyártáskor keletkező feketelúg gázosításával |
10,4 |
10,4 |
|
13 |
dimetil-éter (DME) cellulózgyártáskor keletkező feketelúg gázosításával |
10,2 |
10,2 |
|
14 |
metanol cellulózgyártáskor keletkező feketelúg gázosításával |
10,4 |
10,4 |
|
15 |
az MTBE megújuló energiaforrásokból előállított része |
a metanol előállítási módjával megegyező |
|
2. melléklet a 68/2021. (XII. 30.) ITM rendelethez














|
|
A |
B |
C |
D |
E |
F |
G |
H |
I |
J |
|---|---|---|---|---|---|---|---|---|---|---|
|
1 |
A biomasszából előállított tüzelőanyag előállításának módszere |
Szállítási távolság |
Üvegházhatásúgáz-kibocsátás - jellemző érték |
Üvegházhatásúgáz-kibocsátás -alapértelmezett érték |
||||||
|
2 |
Termelés |
Feldolgozás |
Szállítás |
A felhasznált üzemanyagból eredő, a CO2-től eltérő kibocsátások |
Termelés |
Feldolgozás |
Szállítás |
A felhasznált üzemanyagból eredő, a CO2-től eltérő kibocsátások |
||
|
3 |
Erdészeti maradványanyagokból származó fanyesedék |
1–500 km |
0,0 |
1,6 |
3,0 |
0,4 |
0,0 |
1,9 |
3,6 |
0,5 |
|
4 |
500–2 500 km |
0,0 |
1,6 |
5,2 |
0,4 |
0,0 |
1,9 |
6,2 |
0,5 |
|
|
5 |
2 500 –10 000 km |
0,0 |
1,6 |
10,5 |
0,4 |
0,0 |
1,9 |
12,6 |
0,5 |
|
|
6 |
10 000 km felett |
0,0 |
1,6 |
20,5 |
0,4 |
0,0 |
1,9 |
24,6 |
0,5 |
|
|
7 |
Rövid életciklusú sarjerdőből (Eucalyptus) származó fanyesedék |
2 500 –10 000 km |
4,4 |
0,0 |
11,0 |
0,4 |
4,4 |
0,0 |
13,2 |
0,5 |
|
8 |
Rövid életciklusú sarjerdőből (nyárfa, trágyázott) származó fanyesedék |
1–500 km |
3,9 |
0,0 |
3,5 |
0,4 |
3,9 |
0,0 |
4,2 |
0,5 |
|
9 |
500–2 500 km |
3,9 |
0,0 |
5,6 |
0,4 |
3,9 |
0,0 |
6,8 |
0,5 |
|
|
10 |
2 500 –10 000 km |
3,9 |
0,0 |
11,0 |
0,4 |
3,9 |
0,0 |
13,2 |
0,5 |
|
|
11 |
10 000 km felett |
3,9 |
0,0 |
21,0 |
0,4 |
3,9 |
0,0 |
25,2 |
0,5 |
|
|
12 |
Rövid életciklusú sarjerdőből (nyárfa, nem trágyázott) származó fanyesedék |
1–500 km |
2,2 |
0,0 |
3,5 |
0,4 |
2,2 |
0,0 |
4,2 |
0,5 |
|
13 |
500–2 500 km |
2,2 |
0,0 |
5,6 |
0,4 |
2,2 |
0,0 |
6,8 |
0,5 |
|
|
14 |
2 500 –10 000 km |
2,2 |
0,0 |
11,0 |
0,4 |
2,2 |
0,0 |
13,2 |
0,5 |
|
|
15 |
10 000 km felett |
2,2 |
0,0 |
21,0 |
0,4 |
2,2 |
0,0 |
25,2 |
0,5 |
|
|
16 |
Törzsfából származó fanyesedék |
1–500 km |
1,1 |
0,3 |
3,0 |
0,4 |
1,1 |
0,4 |
3,6 |
0,5 |
|
17 |
500–2 500 km |
1,1 |
0,3 |
5,2 |
0,4 |
1,1 |
0,4 |
6,2 |
0,5 |
|
|
18 |
2 500 –10 000 km |
1,1 |
0,3 |
10,5 |
0,4 |
1,1 |
0,4 |
12,6 |
0,5 |
|
|
19 |
10 000 km felett |
1,1 |
0,3 |
20,5 |
0,4 |
1,1 |
0,4 |
24,6 |
0,5 |
|
|
20 |
Faipari maradványanyagokból származó fanyesedék |
1–500 km |
0,0 |
0,3 |
3,0 |
0,4 |
0,0 |
0,4 |
3,6 |
0,5 |
|
21 |
500–2 500 km |
0,0 |
0,3 |
5,2 |
0,4 |
0,0 |
0,4 |
6,2 |
0,5 |
|
|
22 |
2 500 –10 000 km |
0,0 |
0,3 |
10,5 |
0,4 |
0,0 |
0,4 |
12,6 |
0,5 |
|
|
23 |
10 000 km felett |
0,0 |
0,3 |
20,5 |
0,4 |
0,0 |
0,4 |
24,6 |
0,5 |
|
|
|
A |
B |
C |
D |
E |
F |
G |
H |
I |
J |
|---|---|---|---|---|---|---|---|---|---|---|
|
1 |
A biomasszából előállított tüzelőanyag előállításának módszere |
Szállítási távolság |
Üvegházhatásúgáz-kibocsátás - jellemző érték |
Üvegházhatásúgáz-kibocsátás -alapértelmezett érték |
||||||
|
2 |
Termelés |
Feldolgozás |
Szállítás és elosztás |
A felhasznált üzemanyagból eredő, a CO2-től eltérő kibocsátások |
Termelés |
Feldolgozás |
Szállítás és elosztás |
A felhasznált üzemanyagból eredő, a CO2-től eltérő kibocsátások |
||
|
3 |
Erdészeti maradványanyagokból származó fabrikett vagy pellet (1. eset) |
1–500 km |
0,0 |
25,8 |
2,9 |
0,3 |
0,0 |
30,9 |
3,5 |
0,3 |
|
4 |
500–2 500 km |
0,0 |
25,8 |
2,8 |
0,3 |
0,0 |
30,9 |
3,3 |
0,3 |
|
|
5 |
2 500 –10 000 km |
0,0 |
25,8 |
4,3 |
0,3 |
0,0 |
30,9 |
5,2 |
0,3 |
|
|
6 |
10 000 km felett |
0,0 |
25,8 |
7,9 |
0,3 |
0,0 |
30,9 |
9,5 |
0,3 |
|
|
7 |
Erdészeti maradványanyagokból származó fabrikett vagy pellet (2a. eset) |
1–500 km |
0,0 |
12,5 |
3,0 |
0,3 |
0,0 |
15,0 |
3,6 |
0,3 |
|
8 |
500–2 500 km |
0,0 |
12,5 |
2,9 |
0,3 |
0,0 |
15,0 |
3,5 |
0,3 |
|
|
9 |
2 500 –10 000 km |
0,0 |
12,5 |
4,4 |
0,3 |
0,0 |
15,0 |
5,3 |
0,3 |
|
|
10 |
10 000 km felett |
0,0 |
12,5 |
8,1 |
0,3 |
0,0 |
15,0 |
9,8 |
0,3 |
|
|
11 |
Erdészeti maradványanyagokból származó fabrikett vagy pellet (3a. eset) |
1–500 km |
0,0 |
2,4 |
3,0 |
0,3 |
0,0 |
2,8 |
3,6 |
0,3 |
|
12 |
500–2 500 km |
0,0 |
2,4 |
2,9 |
0,3 |
0,0 |
2,8 |
3,5 |
0,3 |
|
|
13 |
2 500 –10 000 km |
0,0 |
2,4 |
4,4 |
0,3 |
0,0 |
2,8 |
5,3 |
0,3 |
|
|
14 |
10 000 km felett |
0,0 |
2,4 |
8,2 |
0,3 |
0,0 |
2,8 |
9,8 |
0,3 |
|
|
15 |
Rövid életciklusú sarjerdőből származó fabrikett |
2 500 –10 000 km |
3,9 |
24,5 |
4,3 |
0,3 |
3,9 |
29,4 |
5,2 |
0,3 |
|
16 |
Rövid életciklusú sarjerdőből származó fabrikett |
2 500 –10 000 km |
5,0 |
10,6 |
4,4 |
0,3 |
5,0 |
12,7 |
5,3 |
0,3 |
|
17 |
Rövid életciklusú sarjerdőből származó fabrikett |
2 500 –10 000 km |
5,3 |
0,3 |
4,4 |
0,3 |
5,3 |
0,4 |
5,3 |
0,3 |
|
18 |
Rövid életciklusú sarjerdőből származó fabrikett |
1–500 km |
3,4 |
24,5 |
2,9 |
0,3 |
3,4 |
29,4 |
3,5 |
0,3 |
|
19 |
500–10 000 km |
3,4 |
24,5 |
4,3 |
0,3 |
3,4 |
29,4 |
5,2 |
0,3 |
|
|
20 |
10 000 km felett |
3,4 |
24,5 |
7,9 |
0,3 |
3,4 |
29,4 |
9,5 |
0,3 |
|
|
21 |
Rövid életciklusú sarjerdőből származó fabrikett |
1–500 km |
4,4 |
10,6 |
3,0 |
0,3 |
4,4 |
12,7 |
3,6 |
0,3 |
|
22 |
500–10 000 km |
4,4 |
10,6 |
4,4 |
0,3 |
4,4 |
12,7 |
5,3 |
0,3 |
|
|
23 |
10 000 km felett |
4,4 |
10,6 |
8,1 |
0,3 |
4,4 |
12,7 |
9,8 |
0,3 |
|
|
24 |
Rövid életciklusú sarjerdőből származó fabrikett |
1–500 km |
4,6 |
0,3 |
3,0 |
0,3 |
4,6 |
0,4 |
3,6 |
0,3 |
|
25 |
500–10 000 km |
4,6 |
0,3 |
4,4 |
0,3 |
4,6 |
0,4 |
5,3 |
0,3 |
|
|
26 |
10 000 km felett |
4,6 |
0,3 |
8,2 |
0,3 |
4,6 |
0,4 |
9,8 |
0,3 |
|
|
27 |
Rövid életciklusú sarjerdőből származó fabrikett |
1–500 km |
2,0 |
24,5 |
2,9 |
0,3 |
2,0 |
29,4 |
3,5 |
0,3 |
|
28 |
500–2 500 km |
2,0 |
24,5 |
4,3 |
0,3 |
2,0 |
29,4 |
5,2 |
0,3 |
|
|
29 |
2 500 –10 000 km |
2,0 |
24,5 |
7,9 |
0,3 |
2,0 |
29,4 |
9,5 |
0,3 |
|
|
30 |
Rövid életciklusú sarjerdőből származó fabrikett |
1–500 km |
2,5 |
10,6 |
3,0 |
0,3 |
2,5 |
12,7 |
3,6 |
0,3 |
|
31 |
500–10 000 km |
2,5 |
10,6 |
4,4 |
0,3 |
2,5 |
12,7 |
5,3 |
0,3 |
|
|
32 |
10 000 km felett |
2,5 |
10,6 |
8,1 |
0,3 |
2,5 |
12,7 |
9,8 |
0,3 |
|
|
33 |
Rövid életciklusú sarjerdőből származó fabrikett |
1–500 km |
2,6 |
0,3 |
3,0 |
0,3 |
2,6 |
0,4 |
3,6 |
0,3 |
|
34 |
500–10 000 km |
2,6 |
0,3 |
4,4 |
0,3 |
2,6 |
0,4 |
5,3 |
0,3 |
|
|
35 |
10 000 km felett |
2,6 |
0,3 |
8,2 |
0,3 |
2,6 |
0,4 |
9,8 |
0,3 |
|
|
36 |
Törzsfából származó fabrikett vagy pellet (1. eset) |
1–500 km |
1,1 |
24,8 |
2,9 |
0,3 |
1,1 |
29,8 |
3,5 |
0,3 |
|
37 |
500–2 500 km |
1,1 |
24,8 |
2,8 |
0,3 |
1,1 |
29,8 |
3,3 |
0,3 |
|
|
38 |
2 500 –10 000 km |
1,1 |
24,8 |
4,3 |
0,3 |
1,1 |
29,8 |
5,2 |
0,3 |
|
|
39 |
10 000 km felett |
1,1 |
24,8 |
7,9 |
0,3 |
1,1 |
29,8 |
9,5 |
0,3 |
|
|
40 |
Törzsfából származó fabrikett vagy pellet (2a. eset) |
1–500 km |
1,4 |
11,0 |
3,0 |
0,3 |
1,4 |
13,2 |
3,6 |
0,3 |
|
41 |
500–2 500 km |
1,4 |
11,0 |
2,9 |
0,3 |
1,4 |
13,2 |
3,5 |
0,3 |
|
|
42 |
2 500 –10 000 km |
1,4 |
11,0 |
4,4 |
0,3 |
1,4 |
13,2 |
5,3 |
0,3 |
|
|
43 |
10 000 km felett |
1,4 |
11,0 |
8,1 |
0,3 |
1,4 |
13,2 |
9,8 |
0,3 |
|
|
44 |
Törzsfából származó fabrikett vagy pellet (3 a. eset) |
1–500 km |
1,4 |
0,8 |
3,0 |
0,3 |
1,4 |
0,9 |
3,6 |
0,3 |
|
45 |
500–2 500 km |
1,4 |
0,8 |
2,9 |
0,3 |
1,4 |
0,9 |
3,5 |
0,3 |
|
|
46 |
2 500 –10 000 km |
1,4 |
0,8 |
4,4 |
0,3 |
1,4 |
0,9 |
5,3 |
0,3 |
|
|
47 |
10 000 km felett |
1,4 |
0,8 |
8,2 |
0,3 |
1,4 |
0,9 |
9,8 |
0,3 |
|
|
48 |
Faipari maradványanyagokból származó fabrikett vagy pellet (1. eset) |
1–500 km |
0,0 |
14,3 |
2,8 |
0,3 |
0,0 |
17,2 |
3,3 |
0,3 |
|
49 |
500–2 500 km |
0,0 |
14,3 |
2,7 |
0,3 |
0,0 |
17,2 |
3,2 |
0,3 |
|
|
50 |
2 500 –10 000 km |
0,0 |
14,3 |
4,2 |
0,3 |
0,0 |
17,2 |
5,0 |
0,3 |
|
|
51 |
10 000 km felett |
0,0 |
14,3 |
7,7 |
0,3 |
0,0 |
17,2 |
9,2 |
0,3 |
|
|
52 |
Faipari maradványanyagokból származó fabrikett vagy pellet (2a. eset) |
1–500 km |
0,0 |
6,0 |
2,8 |
0,3 |
0,0 |
7,2 |
3,4 |
0,3 |
|
53 |
500–2 500 km |
0,0 |
6,0 |
2,7 |
0,3 |
0,0 |
7,2 |
3,3 |
0,3 |
|
|
54 |
2 500 –10 000 km |
0,0 |
6,0 |
4,2 |
0,3 |
0,0 |
7,2 |
5,1 |
0,3 |
|
|
55 |
10 000 km felett |
0,0 |
6,0 |
7,8 |
0,3 |
0,0 |
7,2 |
9,3 |
0,3 |
|
|
56 |
Faipari maradványanyagokból származó fabrikett vagy pellet (3a. eset) |
1–500 km |
0,0 |
0,2 |
2,8 |
0,3 |
0,0 |
0,3 |
3,4 |
0,3 |
|
57 |
500–2 500 km |
0,0 |
0,2 |
2,7 |
0,3 |
0,0 |
0,3 |
3,3 |
0,3 |
|
|
58 |
2 500 –10 000 km |
0,0 |
0,2 |
4,2 |
0,3 |
0,0 |
0,3 |
5,1 |
0,3 |
|
|
59 |
10 000 km felett |
0,0 |
0,2 |
7,8 |
0,3 |
0,0 |
0,3 |
9,3 |
0,3 |
|
|
A |
B |
C |
D |
E |
F |
|
|---|---|---|---|---|---|---|
|
1 |
A biomasszából előállított tüzelőanyag előállításának módszere |
Szállítási távolság |
Üvegházhatásúgázkibocsátás-megtakarítás - jellemző érték |
Üvegházhatásúgázkibocsátás-megtakarítás - alapértelmezett érték |
||
|
2 |
Hő |
Villamosenergia |
Hő |
Villamosenergia |
||
|
3 |
0,2 t/m3-nél kisebb sűrűségű mezőgazdasági maradékanyagok (1) |
1–500 km |
95 % |
92 % |
93 % |
90 % |
|
4 |
500–2 500 km |
89 % |
83 % |
86 % |
80 % |
|
|
5 |
2 500 –10 000 km |
77 % |
66 % |
73 % |
60 % |
|
|
6 |
10 000 km felett |
57 % |
36 % |
48 % |
23 % |
|
|
7 |
0,2 t/m3-nél nagyobb sűrűségű mezőgazdasági maradékanyagok (2) |
1–500 km |
95 % |
92 % |
93 % |
90 % |
|
8 |
500–2 500 km |
93 % |
89 % |
92 % |
87 % |
|
|
9 |
2 500 –10 000 km |
88 % |
82 % |
85 % |
78 % |
|
|
10 |
10 000 km felett |
78 % |
68 % |
74 % |
61 % |
|
|
11 |
Szalmapellet |
1–500 km |
88 % |
82 % |
85 % |
78 % |
|
12 |
500–10 000 km |
86 % |
79 % |
83 % |
74 % |
|
|
13 |
10 000 km felett |
80 % |
70 % |
76 % |
64 % |
|
|
14 |
Kipréselt cukornád brikett |
500–10 000 km |
93 % |
89 % |
91 % |
87 % |
|
15 |
10 000 km felett |
87 % |
81 % |
85 % |
77 % |
|
|
16 |
Pálmamagdara |
10 000 km felett |
20 % |
– 18 % |
11 % |
-33 % |
|
17 |
Pálmamagdara (az olajsajtolóban nincs CH4-kibocsátás) |
10 000 km felett |
46 % |
20 % |
42 % |
14 % |
|
18 |
Megjegyzések: |
|||||
|
|
A |
B |
C |
D |
E |
F |
G |
H |
I |
J |
K |
L |
|
|
1 |
A biomasszából előállított tüzelőanyag előállításának módszere |
Technológia |
JELLEMZŐ ÉRTÉK [g CO2eq/MJ] |
ALAPÉRTELMEZETT ÉRTÉK [g CO2eq/MJ] |
|||||||||
|
2 |
Termelés |
Feldolgozás |
A felhasznált üzemanyagból eredő, a CO2-től eltérő kibocsátások |
Szállítás |
Trágyáért járó jóváírás |
Termelés |
Feldolgo- |
A felhasznált üzemanyag-ból eredő, a CO2-től eltérő kibocsátá- |
Szállítás |
Trágyáért járó jóváírás |
|||
|
3 |
Nedves trágya (7) |
1. eset |
Fermentáció nyílt rendszerben |
0,0 |
69,6 |
8,9 |
0,8 |
107,3 |
0,0 |
97,4 |
12,5 |
0,8 |
– 107,3 |
|
4 |
Fermentáció zárt rendszerben |
0,0 |
0,0 |
8,9 |
0,8 |
– 97,6 |
0,0 |
0,0 |
12,5 |
0,8 |
– 97,6 |
||
|
5 |
2. eset |
Fermentáció nyílt rendszerben |
0,0 |
74,1 |
8,9 |
0,8 |
– 107,3 |
0,0 |
103,7 |
12,5 |
0,8 |
– 107,3 |
|
|
6 |
Fermentáció zárt rendszerben |
0,0 |
4,2 |
8,9 |
0,8 |
– 97,6 |
0,0 |
5,9 |
12,5 |
0,8 |
– 97,6 |
||
|
7 |
3. eset |
Fermentáció nyílt rendszerben |
0,0 |
83,2 |
8,9 |
0,9 |
– 120,7 |
0,0 |
116,4 |
12,5 |
0,9 |
– 120,7 |
|
|
8 |
Fermentáció zárt rendszerben |
0,0 |
4,6 |
8,9 |
0,8 |
– 108,5 |
0,0 |
6,4 |
12,5 |
0,8 |
– 108,5 |
||
|
9 |
Egész kukorica (8) |
1. eset |
Fermentáció nyílt rendszerben |
15,6 |
13,5 |
8,9 |
0,0 (9) |
— |
15,6 |
18,9 |
12,5 |
0,0 |
— |
|
10 |
Fermentáció zárt rendszerben |
15,2 |
0,0 |
8,9 |
0,0 |
— |
15,2 |
0,0 |
12,5 |
0,0 |
— |
||
|
11 |
2. eset |
Fermentáció nyílt rendszerben |
15,6 |
18,8 |
8,9 |
0,0 |
— |
15,6 |
26,3 |
12,5 |
0,0 |
— |
|
|
12 |
Fermentáció zárt rendszerben |
15,2 |
5,2 |
8,9 |
0,0 |
— |
15,2 |
7,2 |
12,5 |
0,0 |
— |
||
|
13 |
3. eset |
Fermentáció nyílt rendszerben |
17,5 |
21,0 |
8,9 |
0,0 |
— |
17,5 |
29,3 |
12,5 |
0,0 |
— |
|
|
14 |
Fermentáció zárt rendszerben |
17,1 |
5,7 |
8,9 |
0,0 |
— |
17,1 |
7,9 |
12,5 |
0,0 |
— |
||
|
15 |
Bio-hulladék |
1. eset |
Fermentáció nyílt rendszerben |
0,0 |
21,8 |
8,9 |
0,5 |
— |
0,0 |
30,6 |
12,5 |
0,5 |
— |
|
16 |
Fermentáció zárt rendszerben |
0,0 |
0,0 |
8,9 |
0,5 |
— |
0,0 |
0,0 |
12,5 |
0,5 |
— |
||
|
17 |
2. eset |
Fermentáció nyílt rendszerben |
0,0 |
27,9 |
8,9 |
0,5 |
— |
0,0 |
39,0 |
12,5 |
0,5 |
— |
|
|
18 |
Fermentáció zárt rendszerben |
0,0 |
5,9 |
8,9 |
0,5 |
— |
0,0 |
8,3 |
12,5 |
0,5 |
— |
||
|
19 |
3. eset |
Fermentáció nyílt rendszerben |
0,0 |
31,2 |
8,9 |
0,5 |
— |
0,0 |
43,7 |
12,5 |
0,5 |
— |
|
|
20 |
Fermentáció zárt rendszerben |
0,0 |
6,5 |
8,9 |
0,5 |
— |
0,0 |
9,1 |
12,5 |
0,5 |
— |
||
|
|
A |
B |
C |
D |
E |
F |
G |
H |
I |
J |
K |
L |
M |
N |
O |
|||||
|
1 |
A biometán előállításának módszere |
Technológiai lehetőség |
JELLEMZŐ ÉRTÉK [g CO2eq/MJ] |
ALAPÉRTELMEZETT ÉRTÉK [g CO2eq/MJ] |
||||||||||||||||
|
|
Termelés |
Feldolgozás |
Minőségjavítás |
Szállítás |
Tömörítés a töltőállomáson |
Trágyáért járó jóváírás |
Termelés |
Feldolgozás |
Minőségjavítás |
Szállítás |
Tömörítés a töltőállomáson |
Trágyáért járó jóváírás |
||||||||
|
2 |
Nedves trágya |
Fermentáció nyílt rendszer- |
a távozó gáz elégetése nélkül |
0,0 |
84,2 |
19,5 |
1,0 |
3,3 |
– 124,4 |
0,0 |
117,9 |
27,3 |
1,0 |
4,6 |
– 124,4 |
|||||
|
3 |
a távozó gáz elégetésével |
0,0 |
84,2 |
4,5 |
1,0 |
3,3 |
– 124,4 |
0,0 |
117,9 |
6,3 |
1,0 |
4,6 |
– 124,4 |
|||||||
|
4 |
Fermentáció zárt rendszer- |
a távozó gáz elégetése nélkül |
0,0 |
3,2 |
19,5 |
0,9 |
3,3 |
– 111,9 |
0,0 |
4,4 |
27,3 |
0,9 |
4,6 |
– 111,9 |
||||||
|
5 |
a távozó gáz elégetésével |
0,0 |
3,2 |
4,5 |
0,9 |
3,3 |
– 111,9 |
0,0 |
4,4 |
6,3 |
0,9 |
4,6 |
– 111,9 |
|||||||
|
6 |
Egész kukorica |
Fermentáció nyílt rendszer- |
a távozó gáz elégetése nélkül |
18,1 |
20,1 |
19,5 |
0,0 |
3,3 |
— |
18,1 |
28,1 |
27,3 |
0,0 |
4,6 |
— |
|||||
|
7 |
a távozó gáz elégetésével |
18,1 |
20,1 |
4,5 |
0,0 |
3,3 |
— |
18,1 |
28,1 |
6,3 |
0,0 |
4,6 |
— |
|||||||
|
8 |
Fermentáció zárt rendszer- |
a távozó gáz elégetése nélkül |
17,6 |
4,3 |
19,5 |
0,0 |
3,3 |
— |
17,6 |
6,0 |
27,3 |
0,0 |
4,6 |
— |
||||||
|
9 |
a távozó gáz elégetésével |
17,6 |
4,3 |
4,5 |
0,0 |
3,3 |
— |
17,6 |
6,0 |
6,3 |
0,0 |
4,6 |
— |
|||||||
|
10 |
Bio- |
Fermentáció nyílt rendszer- |
a távozó gáz elégetése nélkül |
0,0 |
30,6 |
19,5 |
0,6 |
3,3 |
— |
0,0 |
42,8 |
27,3 |
0,6 |
4,6 |
— |
|||||
|
11 |
a távozó gáz elégetésével |
0,0 |
30,6 |
4,5 |
0,6 |
3,3 |
— |
0,0 |
42,8 |
6,3 |
0,6 |
4,6 |
— |
|||||||
|
12 |
Fermentáció zárt rendszer- |
a távozó gáz elégetése nélkül |
0,0 |
5,1 |
19,5 |
0,5 |
3,3 |
— |
0,0 |
7,2 |
27,3 |
0,5 |
4,6 |
— |
||||||
|
13 |
a távozó gáz elégetésével |
0,0 |
5,1 |
4,5 |
0,5 |
3,3 |
— |
0,0 |
7,2 |
6,3 |
0,5 |
4,6 |
— |
|||||||
|
|
A |
B |
C |
D |
|---|---|---|---|---|
|
1 |
A biomasszából előállított tüzelőanyag előállításának módszere |
Szállítási távolság |
Üvegházhatásúgáz-kibocsátás -jellemző érték (g CO2eq/MJ) |
Üvegházhatásúgáz-kibocsátás -alapértelmezett érték (g CO2eq/MJ) |
|
2 |
Erdészeti maradványanyagokból származó fanyesedék |
1–500 km |
5 |
6 |
|
3 |
500–2 500 km |
7 |
9 |
|
|
4 |
2 500 –10 000 km |
12 |
15 |
|
|
5 |
10 000 km felett |
22 |
27 |
|
|
6 |
Rövid életciklusú sarjerdőből (Eucalyptus) származó fanyesedék |
2 500 –10 000 km |
16 |
18 |
|
7 |
Rövid életciklusú sarjerdőből (nyárfa, trágyázott) származó fanyesedék |
1–500 km |
8 |
9 |
|
8 |
500–2 500 km |
10 |
11 |
|
|
9 |
2 500 –10 000 km |
15 |
18 |
|
|
10 |
10 000 km felett |
25 |
30 |
|
|
11 |
Rövid életciklusú sarjerdőből (nyárfa, nem trágyázott) származó fanyesedék |
1–500 km |
6 |
7 |
|
12 |
500–2 500 km |
8 |
10 |
|
|
13 |
2 500 –10 000 km |
14 |
16 |
|
|
14 |
10 000 km felett |
24 |
28 |
|
|
15 |
Törzsfából származó fanyesedék |
1–500 km |
5 |
6 |
|
16 |
500–2 500 km |
7 |
8 |
|
|
17 |
2 500 –10 000 km |
12 |
15 |
|
|
18 |
10 000 km felett |
22 |
27 |
|
|
19 |
Gyártási maradványanyagokból származó fanyesedék |
1–500 km |
4 |
5 |
|
20 |
500–2 500 km |
6 |
7 |
|
|
21 |
2 500 –10 000 km |
11 |
13 |
|
|
22 |
10 000 km felett |
21 |
25 |
|
|
23 |
Erdészeti maradványanyagokból származó fabrikett vagy pellet (1. eset) |
1–500 km |
29 |
35 |
|
24 |
500–2 500 km |
29 |
35 |
|
|
25 |
2 500 –10 000 km |
30 |
36 |
|
|
26 |
10 000 km felett |
34 |
41 |
|
|
27 |
Erdészeti maradványanyagokból származó fabrikett vagy pellet (2a. eset) |
1–500 km |
16 |
19 |
|
28 |
500–2 500 km |
16 |
19 |
|
|
29 |
2 500 –10 000 km |
17 |
21 |
|
|
30 |
10 000 km felett |
21 |
25 |
|
|
31 |
Erdészeti maradványanyagokból származó fabrikett vagy pellet (3a. eset) |
1–500 km |
6 |
7 |
|
32 |
500–2 500 km |
6 |
7 |
|
|
33 |
2 500 –10 000 km |
7 |
8 |
|
|
34 |
10 000 km felett |
11 |
13 |
|
|
35 |
Rövid életciklusú sarjerdőből (Eucalyptus) származó fabrikett vagy pellet (1. eset) |
2 500 –10 000 km |
33 |
39 |
|
36 |
Rövid életciklusú sarjerdőből (Eucalyptus) származó fabrikett vagy pellet (2a. eset) |
2 500 –10 000 km |
20 |
23 |
|
37 |
Rövid életciklusú sarjerdőből (Eucalyptus) származó fabrikett vagy pellet (3a. eset) |
2 500 –10 000 km |
10 |
11 |
|
38 |
Rövid életciklusú sarjerdőből (nyárfa, trágyázott) származó fabrikett vagy pellet (1. eset) |
1–500 km |
31 |
37 |
|
39 |
500–10 000 km |
32 |
38 |
|
|
40 |
10 000 km felett |
36 |
43 |
|
|
41 |
Rövid életciklusú sarjerdőből (nyárfa, trágyázott) származó fabrikett vagy pellet (2a. eset) |
1–500 km |
18 |
21 |
|
42 |
500–10 000 km |
20 |
23 |
|
|
43 |
10 000 km felett |
23 |
27 |
|
|
44 |
Rövid életciklusú sarjerdőből (nyárfa, trágyázott) származó fabrikett vagy pellet (3a. eset) |
1–500 km |
8 |
9 |
|
45 |
500–10 000 km |
10 |
11 |
|
|
46 |
10 000 km felett |
13 |
15 |
|
|
47 |
Rövid életciklusú sarjerdőből (nyárfa, nem trágyázott) származó fabrikett vagy pellet (1. eset) |
1–500 km |
30 |
35 |
|
48 |
500–10 000 km |
31 |
37 |
|
|
49 |
10 000 km felett |
35 |
41 |
|
|
50 |
Rövid életciklusú sarjerdőből (nyárfa, nem trágyázott) származó fabrikett vagy pellet (2a. eset) |
1–500 km |
16 |
19 |
|
51 |
500–10 000 km |
18 |
21 |
|
|
52 |
10 000 km felett |
21 |
25 |
|
|
53 |
Rövid életciklusú sarjerdőből (nyárfa, nem trágyázott) származó fabrikett vagy pellet (3a. eset) |
1–500 km |
6 |
7 |
|
54 |
500–10 000 km |
8 |
9 |
|
|
55 |
10 000 km felett |
11 |
13 |
|
|
56 |
Törzsfából származó fabrikett vagy pellet (1. eset) |
1–500 km |
29 |
35 |
|
57 |
500–2 500 km |
29 |
34 |
|
|
58 |
2 500 –10 000 km |
30 |
36 |
|
|
59 |
10 000 km felett |
34 |
41 |
|
|
60 |
Törzsfából származó fabrikett vagy pellet (2a. eset) |
1–500 km |
16 |
18 |
|
61 |
500–2 500 km |
15 |
18 |
|
|
62 |
2 500 –10 000 km |
17 |
20 |
|
|
63 |
10 000 km felett |
21 |
25 |
|
|
64 |
Törzsfából származó fabrikett vagy pellet (3a. eset) |
1–500 km |
5 |
6 |
|
65 |
500–2 500 km |
5 |
6 |
|
|
66 |
2 500 –10 000 km |
7 |
8 |
|
|
67 |
10 000 km felett |
11 |
12 |
|
|
68 |
Faipari maradványanyagokból származó fabrikett vagy pellet (1. eset) |
1–500 km |
17 |
21 |
|
69 |
500–2 500 km |
17 |
21 |
|
|
70 |
2 500 –10 000 km |
19 |
23 |
|
|
71 |
10 000 km felett |
22 |
27 |
|
|
72 |
Faipari maradványanyagokból származó fabrikett vagy pellet (2a. eset) |
1–500 km |
9 |
11 |
|
73 |
500–2 500 km |
9 |
11 |
|
|
74 |
2 500 –10 000 km |
10 |
13 |
|
|
75 |
10 000 km felett |
14 |
17 |
|
|
76 |
Faipari maradványanyagokból származó fabrikett vagy pellet (3a. eset) |
1–500 km |
3 |
4 |
|
77 |
500–2 500 km |
3 |
4 |
|
|
78 |
2 500 –10 000 km |
5 |
6 |
|
|
79 |
10 000 km felett |
8 |
10 |
|
|
A |
B |
C |
D |
|---|---|---|---|---|
|
1 |
A biomasszából előállított tüzelőanyag előállításának módszere |
Szállítási távolság |
Üvegházhatásúgáz-kibocsátás jellemző értéke (g CO2eq/MJ) |
Üvegházhatásúgáz-kibocsátás alapértelmezett értéke (g CO2eq/MJ) |
|
2 |
0,2 t/m3-nél kisebb sűrűségű mezőgazdasági maradványanyagok (10) |
1–500 km |
4 |
4 |
|
3 |
500–2 500 km |
8 |
9 |
|
|
4 |
2 500 –10 000 km |
15 |
18 |
|
|
5 |
10 000 km felett |
29 |
35 |
|
|
6 |
0,2 t/m3-nél kisebb sűrűségű mezőgazdasági maradványanyagok (11) |
1–500 km |
4 |
4 |
|
7 |
500–2 500 km |
5 |
6 |
|
|
8 |
2 500 –10 000 km |
8 |
10 |
|
|
9 |
10 000 km felett |
15 |
18 |
|
|
10 |
Szalmapellet |
1–500 km |
8 |
10 |
|
11 |
500–10 000 km |
10 |
12 |
|
|
12 |
10 000 km felett |
14 |
16 |
|
|
13 |
Kipréselt cukornád brikett |
500–10 000 km |
5 |
6 |
|
14 |
10 000 km felett |
9 |
10 |
|
|
15 |
Pálmamagdara |
10 000 km felett |
54 |
61 |
|
16 |
Pálmamagdara (az olajsajtolóban nincs CH4-kibocsátás) |
10 000 km felett |
37 |
40 |
|
|
A |
B |
C |
D |
E |
|
1 |
A biogáz előállításának módszere |
Technológiai lehetőség |
Jellemző érték |
Alapértelmezett érték |
|
|
2 |
Üvegházhatásúgáz-kibocsátás [g CO2eq/MJ] |
Üvegházhatásúgáz-kibocsátás [g CO2eq/MJ] |
|||
|
3 |
Villamosenergia-termelésre használt, nedves trágyából származó biogáz |
1. eset |
Fermentáció nyílt rendszerben (12) |
–28 |
3 |
|
4 |
Fermentáció zárt rendszerben (13) |
–88 |
– 84 |
||
|
5 |
2. eset |
Fermentáció nyílt rendszerben |
– 23 |
10 |
|
|
6 |
Fermentáció zárt rendszerben |
– 84 |
– 78 |
||
|
7 |
3. eset |
Fermentáció nyílt rendszerben |
– 28 |
9 |
|
|
8 |
Fermentáció zárt rendszerben |
– 94 |
– 89 |
||
|
9 |
Villamosenergia-termelésre használt, egész kukoricából származó biogáz |
1. eset |
Fermentáció nyílt rendszerben |
38 |
47 |
|
10 |
Fermentáció zárt rendszerben |
24 |
28 |
||
|
11 |
2. eset |
Fermentáció nyílt rendszerben |
43 |
54 |
|
|
12 |
Fermentáció zárt rendszerben |
29 |
35 |
||
|
13 |
3. eset |
Fermentáció nyílt rendszerben |
47 |
59 |
|
|
14 |
Fermentáció zárt rendszerben |
32 |
38 |
||
|
15 |
Villamosenergia-termelésre használt, biohulladékból származó biogáz |
1. eset |
Fermentáció nyílt rendszerben |
31 |
44 |
|
16 |
Fermentáció zárt rendszerben |
9 |
13 |
||
|
17 |
2. eset |
Fermentáció nyílt rendszerben |
37 |
52 |
|
|
18 |
Fermentáció zárt rendszerben |
15 |
21 |
||
|
19 |
3. eset |
Fermentáció nyílt rendszerben |
41 |
57 |
|
|
20 |
Fermentáció zárt rendszerben |
16 |
22 |
||
|
|
A |
B |
C |
D |
|---|---|---|---|---|
|
1 |
A biometán előállításának módszere |
Technológiai lehetőség |
Üvegházhatásúgáz-kibocsátás - jellemző érték |
Üvegházhatásúgáz-kibocsátás - alapértelmezett érték |
|
2 |
Nedves trágyából származó biometán |
Fermentáció nyílt rendszerben, a távozó gáz elégetése nélkül (14) |
– 20 |
22 |
|
3 |
Fermentáció nyílt rendszerben, a távozó gáz elégetésével (15) |
– 35 |
1 |
|
|
4 |
Fermentáció zárt rendszerben, a távozó gáz elégetése nélkül |
– 88 |
– 79 |
|
|
5 |
Fermentáció zárt rendszerben, a távozó gáz elégetésével |
– 103 |
– 100 |
|
|
6 |
Egész kukoricából származó biometán |
Fermentáció nyílt rendszerben, a távozó gáz elégetése nélkül |
58 |
73 |
|
7 |
Fermentáció nyílt rendszerben, a távozó gáz elégetésével |
43 |
52 |
|
|
8 |
Fermentáció zárt rendszerben, a távozó gáz elégetése nélkül |
41 |
51 |
|
|
9 |
Fermentáció zárt rendszerben, a távozó gáz elégetésével |
26 |
30 |
|
|
10 |
Biohulladékból származó biometán |
Fermentáció nyílt rendszerben, a távozó gáz elégetése nélkül |
51 |
71 |
|
11 |
Fermentáció nyílt rendszerben, a távozó gáz elégetésével |
36 |
50 |
|
|
12 |
Fermentáció zárt rendszerben, a távozó gáz elégetése nélkül |
25 |
35 |
|
|
13 |
Fermentáció zárt rendszerben, a távozó gáz elégetésével |
10 |
14 |
|
|
A |
B |
C |
D |
E |
|---|---|---|---|---|---|
|
1 |
A biogáz előállításának módszere |
Technológiai lehetőségek |
Üvegházhatásúgáz-kibocsátás - jellemző érték |
Üvegházhatásúgáz-kibocsátás - alapértelmezett érték |
|
|
2 |
Trágya – kukorica |
1. eset |
Fermentáció nyílt rendszerben |
17 |
33 |
|
3 |
Fermentáció zárt rendszerben |
– 12 |
– 9 |
||
|
4 |
2. eset |
Fermentáció nyílt rendszerben |
22 |
40 |
|
|
5 |
Fermentáció zárt rendszerben |
– 7 |
– 2 |
||
|
6 |
3. eset |
Fermentáció nyílt rendszerben |
23 |
43 |
|
|
7 |
Fermentáció zárt rendszerben |
– 9 |
– 4 |
||
|
8 |
Trágya – kukorica |
1. eset |
Fermentáció nyílt rendszerben |
24 |
37 |
|
9 |
Fermentáció zárt rendszerben |
0 |
3 |
||
|
10 |
2. eset |
Fermentáció nyílt rendszerben |
29 |
45 |
|
|
11 |
Fermentáció zárt rendszerben |
4 |
10 |
||
|
12 |
3. eset |
Fermentáció nyílt rendszerben |
31 |
48 |
|
|
13 |
Fermentáció zárt rendszerben |
4 |
10 |
||
|
14 |
Trágya – kukorica |
1. eset |
Fermentáció nyílt rendszerben |
28 |
40 |
|
15 |
Fermentáció zárt rendszerben |
7 |
11 |
||
|
16 |
2. eset |
Fermentáció nyílt rendszerben |
33 |
47 |
|
|
17 |
Fermentáció zárt rendszerben |
12 |
18 |
||
|
18 |
3. eset |
Fermentáció nyílt rendszerben |
36 |
52 |
|
|
19 |
Fermentáció zárt rendszerben |
12 |
18 |
||
|
|
A |
B |
C |
D |
|---|---|---|---|---|
|
1 |
A biometán előállításának módszere |
Technológiai lehetőségek |
Jellemző érték |
Alapértelmezett érték |
|
2 |
(g CO2eq/MJ) |
(g CO2eq/MJ) |
||
|
3 |
Trágya – kukorica |
Fermentáció nyílt rendszerben, a távozó gáz elégetése nélkül |
32 |
57 |
|
4 |
Fermentáció nyílt rendszerben, a távozó gáz elégetésével |
17 |
36 |
|
|
5 |
Fermentáció zárt rendszerben, a távozó gáz elégetése nélkül |
– 1 |
9 |
|
|
6 |
Fermentáció zárt rendszerben, a távozó gáz elégetésével |
– 16 |
– 12 |
|
|
7 |
Trágya – kukorica |
Fermentáció nyílt rendszerben, a távozó gáz elégetése nélkül |
41 |
62 |
|
8 |
Fermentáció nyílt rendszerben, a távozó gáz elégetésével |
26 |
41 |
|
|
9 |
Fermentáció zárt rendszerben, a távozó gáz elégetése nélkül |
13 |
22 |
|
|
10 |
Fermentáció zárt rendszerben, a távozó gáz elégetésével |
– 2 |
1 |
|
|
11 |
Trágya – kukorica |
Fermentáció nyílt rendszerben, a távozó gáz elégetése nélkül |
46 |
66 |
|
12 |
Fermentáció nyílt rendszerben, a távozó gáz elégetésével |
31 |
45 |
|
|
13 |
Fermentáció zárt rendszerben, a távozó gáz elégetése nélkül |
22 |
31 |
|
|
14 |
Fermentáció zárt rendszerben, a távozó gáz elégetésével |
7 |
10 |
|
|
A |
B |
C |
D |
E |
F |
|---|---|---|---|---|---|---|
|
1. |
A biomasszából előállított tüzelőanyag előállításának módszere |
Szállítási távolság |
Üvegházhatásúgázkibocsátás-megtakarítás - jellemző érték |
Üvegházhatásúgázkibocsátás-megtakarítás -alapértelmezett érték |
||
|
2. |
Hő |
Villamos energia |
Hő |
Villamos energia |
||
|
3. |
Erdészeti maradványanyagokból származó fanyesedék |
1–500 km |
93 % |
89 % |
91 % |
87 % |
|
4. |
500–2 500 km |
89 % |
84 % |
87 % |
81 % |
|
|
5. |
2 500 –10 000 km |
82 % |
73 % |
78 % |
67 % |
|
|
6. |
10 000 km felett |
67 % |
51 % |
60 % |
41 % |
|
|
7. |
Rövid életciklusú sarjerdőből (Eucalyptus) származó fanyesedék |
2 500 –10 000 km |
77 % |
65 % |
73 % |
60 % |
|
8. |
Rövid életciklusú sarjerdőből (nyárfa, trágyázott) származó fanyesedék |
1–500 km |
89 % |
83 % |
87 % |
81 % |
|
9. |
500–2 500 km |
85 % |
78 % |
84 % |
76 % |
|
|
10. |
2 500 –10 000 km |
78 % |
67 % |
74 % |
62 % |
|
|
11. |
10 000 km felett |
63 % |
45 % |
57 % |
35 % |
|
|
12. |
Rövid életciklusú sarjerdőből (nyárfa, nem trágyázott) származó fanyesedék |
1–500 km |
91 % |
87 % |
90 % |
85 % |
|
13. |
500–2 500 km |
88 % |
82 % |
86 % |
79 % |
|
|
14. |
2 500 –10 000 km |
80 % |
70 % |
77 % |
65 % |
|
|
15. |
10 000 km felett |
65 % |
48 % |
59 % |
39 % |
|
|
16. |
Törzsfából származó fanyesedék |
1–500 km |
93 % |
89 % |
92 % |
88 % |
|
17. |
500–2 500 km |
90 % |
85 % |
88 % |
82 % |
|
|
18. |
2 500 –10 000 km |
82 % |
73 % |
79 % |
68 % |
|
|
19. |
10 000 km felett |
67 % |
51 % |
61 % |
42 % |
|
|
20. |
Gyártási maradványanyagokból származó fanyesedék |
1–500 km |
94 % |
92 % |
93 % |
90 % |
|
21. |
500–2 500 km |
91 % |
87 % |
90 % |
85 % |
|
|
22. |
2 500 –10 000 km |
83 % |
75 % |
80 % |
71 % |
|
|
23. |
10 000 km felett |
69 % |
54 % |
63 % |
44 % |
|
|
|
A |
B |
C |
D |
E |
F |
G |
|
1. |
A biomasszából előállított tüzelőanyag előállításának módszere |
Szállítási távolság |
Üvegházhatásúgázkibocsátás-megtakarítás - jellemző érték |
Üvegházhatású gázkibocsátás-megtakarítás -alapértelmezett érték |
|||
|
2. |
Hő |
Villamos energia |
Hő |
Villamos energia |
|||
|
3. |
Erdészeti maradványanyagokból származó fabrikett vagy pellet |
1. eset |
1–500 km |
58 % |
37 % |
49 % |
24 % |
|
4. |
500–2 500 km |
58 % |
37 % |
49 % |
25 % |
||
|
5. |
2 500 –10 000 km |
55 % |
34 % |
47 % |
21 % |
||
|
6. |
10 000 km felett |
50 % |
26 % |
40 % |
11 % |
||
|
7. |
2a. eset |
1–500 km |
77 % |
66 % |
72 % |
59 % |
|
|
8. |
500–2 500 km |
77 % |
66 % |
72 % |
59 % |
||
|
9. |
2 500 –10 000 km |
75 % |
62 % |
70 % |
55 % |
||
|
10. |
10 000 km felett |
69 % |
54 % |
63 % |
45 % |
||
|
11. |
3a. eset |
1–500 km |
92 % |
88 % |
90 % |
85 % |
|
|
12. |
500–2 500 km |
92 % |
88 % |
90 % |
86 % |
||
|
13. |
2 500 –10 000 km |
90 % |
85 % |
88 % |
81 % |
||
|
14. |
10 000 km felett |
84 % |
76 % |
81 % |
72 % |
||
|
15. |
Rövid életciklusú sarjerdőből (Eucalyptus) származó fabrikett vagy pellet |
1. eset |
2 500 –10 000 km |
52 % |
28 % |
43 % |
15 % |
|
16. |
2a. eset |
2 500 –10 000 km |
70 % |
56 % |
66 % |
49 % |
|
|
17. |
3a. eset |
2 500 –10 000 km |
85 % |
78 % |
83 % |
75 % |
|
|
18. |
Rövid életciklusú sarjerdőből (nyárfa, trágyázott) származó fabrikett vagy pellet |
1. eset |
1–500 km |
54 % |
32 % |
46 % |
20 % |
|
19. |
500–10 000 km |
52 % |
29 % |
44 % |
16 % |
||
|
20. |
10 000 km felett |
47 % |
21 % |
37 % |
7 % |
||
|
21. |
2a. eset |
1–500 km |
73 % |
60 % |
69 % |
54 % |
|
|
22. |
500–10 000 km |
71 % |
57 % |
67 % |
50 % |
||
|
23. |
10 000 km felett |
66 % |
49 % |
60 % |
41 % |
||
|
24. |
3a. eset |
1–500 km |
88 % |
82 % |
87 % |
81 % |
|
|
25. |
500–10 000 km |
86 % |
79 % |
84 % |
77 % |
||
|
26. |
10 000 km felett |
80 % |
71 % |
78 % |
67 % |
||
|
27. |
Rövid életciklusú sarjerdőből (nyárfa, nem trágyázott) származó fabrikett vagy pellet |
1. eset |
1–500 km |
56 % |
35 % |
48 % |
23 % |
|
28. |
500–10 000 km |
54 % |
32 % |
46 % |
20 % |
||
|
29. |
10 000 km felett |
49 % |
24 % |
40 % |
10 % |
||
|
30. |
2a. eset |
1–500 km |
76 % |
64 % |
72 % |
58 % |
|
|
31. |
500–10 000 km |
74 % |
61 % |
69 % |
54 % |
||
|
32. |
10 000 km felett |
68 % |
53 % |
63 % |
45 % |
||
|
33. |
3a. eset |
1–500 km |
91 % |
86 % |
90 % |
85 % |
|
|
34. |
500–10 000 km |
89 % |
83 % |
87 % |
81 % |
||
|
35. |
10 000 km felett |
83 % |
75 % |
81 % |
71 % |
||
|
36. |
Törzsfa |
1. eset |
1–500 km |
57 % |
37 % |
49 % |
24 % |
|
37. |
500–2 500 km |
58 % |
37 % |
49 % |
25 % |
||
|
38. |
2 500 –10 000 km |
55 % |
34 % |
47 % |
21 % |
||
|
39. |
10 000 km felett |
50 % |
26 % |
40 % |
11 % |
||
|
40. |
2a. eset |
1–500 km |
77 % |
66 % |
73 % |
60 % |
|
|
41. |
500–2 500 km |
77 % |
66 % |
73 % |
60 % |
||
|
42. |
2 500 –10 000 km |
75 % |
63 % |
70 % |
56 % |
||
|
43. |
10 000 km felett |
70 % |
55 % |
64 % |
46 % |
||
|
44. |
3a. eset |
1–500 km |
92 % |
88 % |
91 % |
86 % |
|
|
45. |
500–2 500 km |
92 % |
88 % |
91 % |
87 % |
||
|
46. |
2 500 –10 000 km |
90 % |
85 % |
88 % |
83 % |
||
|
47. |
10 000 km felett |
84 % |
77 % |
82 % |
73 % |
||
|
48. |
Gyártási maradványanyagokból származó fabrikett vagy pellet |
1. eset |
1–500 km |
75 % |
62 % |
69 % |
55 % |
|
49. |
500–2 500 km |
75 % |
62 % |
70 % |
55 % |
||
|
50. |
2 500 –10 000 km |
72 % |
59 % |
67 % |
51 % |
||
|
51. |
10 000 km felett |
67 % |
51 % |
61 % |
42 % |
||
|
52. |
2a. eset |
1–500 km |
87 % |
80 % |
84 % |
76 % |
|
|
53. |
500–2 500 km |
87 % |
80 % |
84 % |
77 % |
||
|
54. |
2 500 –10 000 km |
85 % |
77 % |
82 % |
73 % |
||
|
55. |
10 000 km felett |
79 % |
69 % |
75 % |
63 % |
||
|
56. |
3a. eset |
1–500 km |
95 % |
93 % |
94 % |
91 % |
|
|
57. |
500–2 500 km |
95 % |
93 % |
94 % |
92 % |
||
|
58. |
2 500 –10 000 km |
93 % |
90 % |
92 % |
88 % |
||
|
59. |
10 000 km felett |
88 % |
82 % |
85 % |
78 % |
||
|
|
A |
B |
C |
D |
E |
F |
|---|---|---|---|---|---|---|
|
1. |
A biomasszából előállított tüzelőanyag előállításának módszere |
Szállítási távolság |
Üvegházhatásúgázkibocsátás-megtakarítás - jellemző érték |
Üvegházhatásúgázkibocsátás-megtakarítás - alapértelmezett érték |
||
|
2. |
Hő |
Villamos energia |
Hő |
Villamos energia |
||
|
3. |
0,2 t/m3-nél kisebb sűrűségű mezőgazdasági maradványanyagok (17) |
1–500 km |
95 % |
92 % |
93 % |
90 % |
|
4. |
500–2 500 km |
89 % |
83 % |
86 % |
80 % |
|
|
5. |
2 500 –10 000 km |
77 % |
66 % |
73 % |
60 % |
|
|
6. |
10 000 km felett |
57 % |
36 % |
48 % |
23 % |
|
|
7. |
0,2 t/m3-nél nagyobb sűrűségű mezőgazdasági maradványanyagok (18) |
1–500 km |
95 % |
92 % |
93 % |
90 % |
|
8. |
500–2 500 km |
93 % |
89 % |
92 % |
87 % |
|
|
9. |
2 500 –10 000 km |
88 % |
82 % |
85 % |
78 % |
|
|
10. |
10 000 km felett |
78 % |
68 % |
74 % |
61 % |
|
|
11. |
Szalmapellet |
1–500 km |
88 % |
82 % |
85 % |
78 % |
|
12. |
500–10 000 km |
86 % |
79 % |
83 % |
74 % |
|
|
13. |
10 000 km felett |
80 % |
70 % |
76 % |
64 % |
|
|
14. |
Kipréselt cukornád brikett |
500–10 000 km |
93 % |
89 % |
91 % |
87 % |
|
15. |
10 000 km felett |
87 % |
81 % |
85 % |
77 % |
|
|
16. |
Pálmamagdara |
10 000 km felett |
20 % |
– 18 % |
11 % |
– 33 % |
|
17. |
Pálmamagdara (az olajsajtolóban nincs CH4-kibocsátás) |
10 000 km felett |
46 % |
20 % |
42 % |
14 % |
|
|
A |
B |
C |
D |
E |
|---|---|---|---|---|---|
|
1. |
A biogáz előállításának módszere |
Technológiai lehetőség |
Üvegházhatásúgázkibocsátás-megtakarítás - jellemző érték |
Üvegházhatásúgázkibocsátás-megtakarítás -alapértelmezett érték |
|
|
2. |
Nedves trágya (20) |
1. eset |
Fermentáció nyílt rendszerben (21) |
146 % |
94 % |
|
3. |
Fermentáció zárt rendszerben (22) |
246 % |
240 % |
||
|
4. |
2. eset |
Fermentáció nyílt rendszerben |
136 % |
85 % |
|
|
5. |
Fermentáció zárt rendszerben |
227 % |
219 % |
||
|
6. |
3. eset |
Fermentáció nyílt rendszerben |
142 % |
86 % |
|
|
7. |
Fermentáció zárt rendszerben |
243 % |
235 % |
||
|
8. |
Egész kukorica (23) |
1. eset |
Fermentáció nyílt rendszerben |
36 % |
21 % |
|
9. |
Fermentáció zárt rendszerben |
59 % |
53 % |
||
|
10. |
2. eset |
Fermentáció nyílt rendszerben |
34 % |
18 % |
|
|
11. |
Fermentáció zárt rendszerben |
55 % |
47 % |
||
|
12. |
3. eset |
Fermentáció nyílt rendszerben |
28 % |
10 % |
|
|
13. |
Fermentáció zárt rendszerben |
52 % |
43 % |
||
|
14. |
Biohulladék |
1. eset |
Fermentáció nyílt rendszerben |
47 % |
26 % |
|
15. |
Fermentáció zárt rendszerben |
84 % |
78 % |
||
|
16. |
2. eset |
Fermentáció nyílt rendszerben |
43 % |
21 % |
|
|
17. |
Fermentáció zárt rendszerben |
77 % |
68 % |
||
|
18. |
3. eset |
Fermentáció nyílt rendszerben |
38 % |
14 % |
|
|
19. |
Fermentáció zárt rendszerben |
76 % |
66 % |
||
|
|
A |
B |
C |
D |
E |
|---|---|---|---|---|---|
|
1. |
A biogáz előállításának módszere |
Technológiai lehetőség |
Üvegházhatásúgázkibocsátás-megtakarítás - jellemző érték |
Üvegházhatásúgázkibocsátás-megtakarítás - alapértelmezett érték |
|
|
2. |
Trágya – kukorica |
1. eset |
Fermentáció nyílt rendszerben |
72 % |
45 % |
|
3. |
Fermentáció zárt rendszerben |
120 % |
114 % |
||
|
4. |
2. eset |
Fermentáció nyílt rendszerben |
67 % |
40 % |
|
|
5. |
Fermentáció zárt rendszerben |
111 % |
103 % |
||
|
6. |
3. eset |
Fermentáció nyílt rendszerben |
65 % |
35 % |
|
|
7. |
Fermentáció zárt rendszerben |
114 % |
106 % |
||
|
8. |
Trágya – kukorica |
1. eset |
Fermentáció nyílt rendszerben |
60 % |
37 % |
|
9. |
Fermentáció zárt rendszerben |
100 % |
94 % |
||
|
10. |
2. eset |
Fermentáció nyílt rendszerben |
57 % |
32 % |
|
|
11. |
Fermentáció zárt rendszerben |
93 % |
85 % |
||
|
12. |
3. eset |
Fermentáció nyílt rendszerben |
53 % |
27 % |
|
|
13. |
Fermentáció zárt rendszerben |
94 % |
85 % |
||
|
14. |
Trágya – kukorica |
1. eset |
Fermentáció nyílt rendszerben |
53 % |
32 % |
|
15. |
Fermentáció zárt rendszerben |
88 % |
82 % |
||
|
16. |
2. eset |
Fermentáció nyílt rendszerben |
50 % |
28 % |
|
|
17. |
Fermentáció zárt rendszerben |
82 % |
73 % |
||
|
18. |
3. eset |
Fermentáció nyílt rendszerben |
46 % |
22 % |
|
|
19. |
Fermentáció zárt rendszerben |
81 % |
72 % |
||
|
|
A |
B |
C |
D |
|---|---|---|---|---|
|
1. |
A biometán előállításának módszere |
Technológiai lehetőségek |
Üvegházhatásúgázkibocsátás-megtakarítás - jellemző érték |
Üvegházhatásúgázkibocsátás-megtakarítás - alapértelmezett érték |
|
2. |
Nedves trágya |
Fermentáció nyílt rendszerben, a távozó gáz elégetése nélkül |
117 % |
72 % |
|
3. |
Fermentáció nyílt rendszerben, a távozó gáz elégetésével |
133 % |
94 % |
|
|
4. |
Fermentáció zárt rendszerben, a távozó gáz elégetése nélkül |
190 % |
179 % |
|
|
5. |
Fermentáció zárt rendszerben, a távozó gáz elégetésével |
206 % |
202 % |
|
|
6. |
Egész kukorica |
Fermentáció nyílt rendszerben, a távozó gáz elégetése nélkül |
35 % |
17 % |
|
7. |
Fermentáció nyílt rendszerben, a távozó gáz elégetésével |
51 % |
39 % |
|
|
8. |
Fermentáció zárt rendszerben, a távozó gáz elégetése nélkül |
52 % |
41 % |
|
|
9. |
Fermentáció zárt rendszerben, a távozó gáz elégetésével |
68 % |
63 % |
|
|
10. |
Biohulladék |
Fermentáció nyílt rendszerben, a távozó gáz elégetése nélkül |
43 % |
20 % |
|
11. |
Fermentáció nyílt rendszerben, a távozó gáz elégetésével |
59 % |
42 % |
|
|
12. |
Fermentáció zárt rendszerben, a távozó gáz elégetése nélkül |
70 % |
58 % |
|
|
13. |
Fermentáció zárt rendszerben, a távozó gáz elégetésével |
86 % |
80 % |
|
|
A |
B |
C |
D |
|---|---|---|---|---|
|
1. |
A biometán előállításának módszere |
Technológiai lehetőségek |
Üvegházhatásúgáz-kibocsátás-megtakarítás - jellemző érték |
Üvegházhatásúgáz-kibocsátás-megtakarítás - alapértelmezett érték |
|
2. |
Trágya – kukorica |
Fermentáció nyílt rendszerben, a távozó gáz elégetése nélkül (26) |
62 % |
35 % |
|
3. |
Fermentáció nyílt rendszerben, a távozó gáz elégetésével (27) |
78 % |
57 % |
|
|
4. |
Fermentáció zárt rendszerben, a távozó gáz elégetése nélkül |
97 % |
86 % |
|
|
5. |
Fermentáció zárt rendszerben, a távozó gáz elégetésével |
113 % |
108 % |
|
|
6. |
Trágya – kukorica |
Fermentáció nyílt rendszerben, a távozó gáz elégetése nélkül |
53 % |
29 % |
|
7. |
Fermentáció nyílt rendszerben, a távozó gáz elégetésével |
69 % |
51 % |
|
|
8. |
Fermentáció zárt rendszerben, a távozó gáz elégetése nélkül |
83 % |
71 % |
|
|
9. |
Fermentáció zárt rendszerben, a távozó gáz elégetésével |
99 % |
94 % |
|
|
10. |
Trágya – kukorica |
Fermentáció nyílt rendszerben, a távozó gáz elégetése nélkül |
48 % |
25 % |
|
11. |
Fermentáció nyílt rendszerben, a távozó gáz elégetésével |
64 % |
48 % |
|
|
12. |
Fermentáció zárt rendszerben, a távozó gáz elégetése nélkül |
74 % |
62 % |
|
|
13. |
Fermentáció zárt rendszerben, a távozó gáz elégetésével |
90 % |
84 % |
A 7. § (1) bekezdés a) pontja a 7/2022. (XII. 27.) EM rendelet 3. §-ával megállapított szöveg.
A 8. § a 2010: CXXX. törvény 12. § (2) bekezdése alapján hatályát vesztette.
Az 1. melléklet a 7/2022. (XII. 27.) EM rendelet 4. § (1) bekezdésével megállapított szöveg.
Az 1. melléklet 1.1.2.3. pontja a 11/2024. (VII. 12.) EM rendelet 2. §-ával megállapított szöveg.
Az 1. melléklet 1.3.1. pontja a 11/2024. (VII. 12.) EM rendelet 2. §-ával megállapított szöveg.
Az 1. melléklet 1.3.2. pontja a 11/2024. (VII. 12.) EM rendelet 2. §-ával megállapított szöveg.
A 2. melléklet 2.3. pontja a 7/2022. (XII. 27.) EM rendelet 4. § (2) bekezdésével megállapított szöveg.
- Hatályos
- Már nem hatályos
- Még nem hatályos
- Módosulni fog
- Időállapotok
- Adott napon hatályos
- Közlönyállapot
- Indokolás
