• Tartalom

193/2016. (VII. 13.) Korm. rendelet

193/2016. (VII. 13.) Korm. rendelet

egyes vasúti tárgyú kormányrendeletek módosításáról1

2016.07.28.

A Kormány

a vasúti közlekedésről szóló 2005. évi CLXXXIII. törvény 88. § (1) bekezdés 2. pontjában,

a 2. alcím tekintetében a vasúti közlekedésről szóló 2005. évi CLXXXIII. törvény 88. § (1) bekezdés 7. pontjában,

a 3. alcím tekintetében a személyszállítási szolgáltatásokról szóló 2012. évi XLI. törvény 49. § (1) bekezdés c) pontjában,

a 4. alcím tekintetében a vasúti közlekedésről szóló 2005. évi CLXXXIII. törvény 88. § (1) bekezdés 2. pontjában,

az 5. alcím tekintetében a vasúti közlekedésről szóló 2005. évi CLXXXIII. törvény 88. § (1) bekezdés 10. pontjában, valamint az épített környezet alakításáról és védelméről szóló 1997. évi LXXVIII. törvény 62. § (1) bekezdés 17. pontjában,

a 6. alcím tekintetében – a 28. § d) pontjában foglaltak kivételével – a vasúti közlekedésről szóló 2005. évi CLXXXIII. törvény 88. § (1) bekezdés 3. pontjában,

a 28. § d) pontja tekintetében a vasútnak nem minősülő egyéb kötöttpályás közlekedésről szóló 2015. évi CII. törvény 24. § (1) bekezdés c) pontjában

kapott felhatalmazás alapján, az Alaptörvény 15. cikk (1) bekezdésében meghatározott feladatkörében eljárva a következőket rendeli el:

1. A vasúti társaságok kötelező baleseti kárfedezeti képességének biztosításáról szóló
271/2007. (X. 19.) Korm. rendelet módosítása

1. § A vasúti társaságok kötelező baleseti kárfedezeti képességének biztosításáról szóló 271/2007. (X. 19.) Korm. rendelet (a továbbiakban: R1.) 4. § (2) bekezdése helyébe a következő rendelkezés lép, és a § a következő (2a) bekezdéssel egészül ki:

„(2) Ha a vasúti társaság kizárólag működési engedélyhez kötött vasúti közlekedési tevékenységet végez, akkor a fedezeti összeghatárt az általános vasúti balesetek vonatkozásában működési engedélyenként, míg a katasztrófa-balesetek vonatkozásában a legnagyobb fedezeti összeghatárral járó működési engedély értékének alapulvételével kell megállapítani.
(2a) Ha a vasúti társaság működési engedélyhez kötött és bejelentésköteles vasúti közlekedési tevékenységet is vagy csak kizárólag bejelentésköteles vasúti közlekedési tevékenységet végez, akkor a fedezeti összeghatárt az általános vasúti balesetek vonatkozásában vasúti közlekedési tevékenységenként, míg a katasztrófa-balesetek vonatkozásában a legnagyobb fedezeti összeghatárral járó vasúti közlekedési tevékenység értékének alapulvételével kell megállapítani.”

2. § Az R1. 4. § (3) bekezdése helyébe a következő rendelkezés lép:

„(3) A működési engedély iránti kérelemhez és a bejelentéshez mellékelni kell az adott vasúti közlekedési tevékenységre vonatkozóan a 2–5. melléklet szerinti adattartalmú, a vasúti igazgatási szerv által rendszeresített kockázatértékelési adatlapot.”

3. § Az R1. 6. § (4) bekezdése helyébe a következő rendelkezés lép:

„(4) Ha a vagyoni biztosíték mértéke a felhasználás következtében a fedezeti összeghatár alá csökkent, a vasúti társaság – amennyiben a vasúti balesettel érintett vasúti közlekedési tevékenységét tovább folytatja – a vagyoni biztosíték legalább a fedezeti összeghatár mértékéig történő emeléséről haladéktalanul, de legkésőbb a csökkenéstől számított harminc napon belül gondoskodik, és ennek megtörténtéről a vasúti igazgatási szervet haladéktalanul értesíti.”

4. § Az R1. 7. §-a a következő (3) bekezdéssel egészül ki:

„(3) Ha a vasúti közlekedési tevékenységét bejelentés alapján végző vasúti társaság a bejelentéshez kötött tevékenységével felhagy és ezt a vasúti igazgatási szerv részére bejelentette vagy a vasúti közlekedési tevékenység folytatását a vasúti igazgatási szerv megtiltotta, a garanciaszerződés hatályát csak azt követően szüntetheti meg, hogy a vasúti igazgatási szervnél igazolta a következőket:
a) valamennyi, vele szemben bejelentett, nem vitatott vagy a bíróság végrehajtható határozata által megalapozott kárigényt és sérelemdíj iránti igényt kielégített, valamint
b) az egyéb, jogvita tárgyává tett kárigények és sérelemdíj iránti igények vonatkozásában az eljárás a vasúti társaság marasztalása nélkül jogerősen befejeződött.”

5. § (1) Az R1. 8. § (1) bekezdés a) pontja helyébe a következő rendelkezés lép:

(A vagyoni biztosítékra vonatkozó szerződés megkötését, valamint annak folyamatos hatályban tartását)

a) a biztosítási szerződés különös szerződési feltételeket tartalmazó része közjegyző által hitelesített másolat példányban, a biztosítási kötvény és a biztosítási díjjal rendezett időszakról (ideértve a díjhalasztást is) a biztosító által kiállított igazolás eredeti vagy közjegyző által hitelesített másolat példánya, vagy”

(tanúsítja.)

(2) Az R1. 8. § (2) bekezdése helyébe a következő rendelkezés lép:

„(2) Az (1) bekezdés szerinti igazolás tartalmazza
a) a szerződés azonosítóját (szerződésszám, kötvényszám),
b) a biztosító nevét, székhelyét és elérhetőségeit,
c) a szerződő biztosított teljes nevét, székhelyét és elérhetőségeit,
d) a kockázatviselés kezdetét és a biztosítási időszakot,
e) a biztosítási eseményt,
f) a vállalt kockázatot, annak mértékét és területi hatályát,
g) az önrész formáját és mértékét,
h) a mentesüléseket, kizárásokat és záradékokat,
i) a kárrendezés, valamint a kártérítés és a sérelemdíj kifizetésének módját,
j) a szerződés keltét,
k) a kötvényfeltételeket,
l) a biztosított vasúti tevékenység megnevezését, valamint
m) a rendelkezést arra vonatkozóan, hogy a biztosítási kötvény e rendelet előírásainak mindenben megfelel.”

6. § Az R1. a következő 11/A. §-sal egészül ki:

11/A. § Az egyes vasúti tárgyú kormányrendeletek módosításáról szóló 193/2016. (VII. 13.) Korm. rendelet (a továbbiakban: Módr.) hatálybalépésekor működési engedéllyel, illetve tudomásul vett bejelentéssel rendelkező vasúti társaság a Módr. hatálybalépésétől számított 120 napon belül igazolja, hogy a Módr. szerinti kárfedezeti képességgel rendelkezik. Azon vasúti társaságok esetében, amelyek e kötelezettségüknek nem tesznek eleget, a vasúti igazgatási szerv a működési engedélyt, illetve – a bejelentéssel rendelkező vasúti társaságok esetén – a tevékenység folytatását felfüggeszti a kötelezettség teljesítéséig. Ha a vasúti társaság kizárólag a kárfedezeti képesség Módr. szerinti igazolásához szükséges dokumentumokat nyújtja be a vasúti igazgatási szerv részére, a vasúti igazgatási szerv eljárása díjmentes.”

7. § Az R1. 12. §-a helyébe a következő rendelkezés lép:

12. § Ez a rendelet – a Vtv.-vel együtt – az egységes európai vasúti térség létrehozásáról szóló, 2012. november 21-i 2012/34/EU európai parlamenti és tanácsi irányelv 22. cikkének való megfelelést szolgálja.”

8. § Az R1. 1–5. melléklete helyébe az 1–5. melléklet lép.

9. § Az R1.

a) 1. §-ában az „a Magyarországon bejegyzett vasúti társaság” szövegrész helyébe az „a Magyarországon bejegyzett vagy – bejelentés esetén – nyilvántartásba vett vasúti társaság” szöveg,

b) 2. § a) pontjában a „kötelező legkisebb” szövegrész helyébe a „legkisebb” szöveg,

c) 5. § (1) bekezdés b) pontjában a „felelősségbiztosítás” szövegrész helyébe a „felelősségbiztosítási szerződés” szöveg,

d) 6. § (1) bekezdés b) pontjában a „vonatkozó működési engedély esetében a működési engedélyben” szövegrész helyébe a „vonatkozó működési engedély vagy bejelentés esetében a működési engedélyben vagy a tudomásul vett bejelentésben” szöveg,

e) 6. § (1) bekezdés c) pontjában a „haladéktalanul írásban” szövegrész helyébe a „haladéktalanul írásban vagy elektronikus úton” szöveg,

f) 7. § (2) bekezdésében az „A vasúti társaság” szövegrész helyébe az „A működési engedéllyel rendelkező vasúti társaság” szöveg,

g) 9. § b) pontjában a „kockázatfelmérési adatlap” szövegrész helyébe a „kockázatértékelési adatlap” szöveg

lép.

2. A vasúti közlekedés biztonságával összefüggő munkaköröket betöltő munkavállalókkal szemben támasztott egészségügyi követelményekről és az egészségügyi vizsgálat rendjéről szóló
203/2009. (IX. 18.) Korm. rendelet módosítása

10. § A vasúti közlekedés biztonságával összefüggő munkaköröket betöltő munkavállalókkal szemben támasztott egészségügyi követelményekről és az egészségügyi vizsgálat rendjéről szóló 203/2009. (IX. 18.) Korm. rendelet (a továbbiakban: R2.) 12. § (1) bekezdése a következő e) ponttal egészül ki:

(Az időszakos egészségi és az időszakos szakmai alkalmassági vizsgálat kiterjed:)

e) látásjavító műtét utáni szemész szakorvosi vizsgálatra minden esetben.”

11. § Az R2. 28. § (1) bekezdése helyébe a következő rendelkezés lép:

„(1) Az egészségi alkalmassági vizsgálatot és annak megállapításait a tanúsítást végző foglalkozás-egészségügyi orvos az 5. melléklet B. pontja szerinti „Alkalmassági tanúsítvány vasúti szolgálatra” elnevezésű nyomtatványon köteles rögzíteni. Az adatrögzítés az egészségügyi és a hozzájuk kapcsolódó személyes adatok kezeléséről és védelméről szóló 1997. évi XLVII. törvény 3. § e) pontja szerint feltüntetett bármilyen formában történhet és a törvény szerinti egészségügyi dokumentációnak minősül.”

12. § Az R2. 31. §-a a következő (6) bekezdéssel egészül ki:

„(6) Az egyes vasúti tárgyú kormányrendeletek módosításáról szóló 193/2016. (VII. 13.) Korm. rendelet (a továbbiakban: Módr.) rendelkezéseit a Módr. hatálybalépésekor folyamatban lévő ügyekben is alkalmazni kell.”

13. § Az R2.

lép.

14. § Az R2.

a) 12. § (2) bekezdés c) pontjában az „esetén szemész szakorvosi” szövegrész helyébe az „esetén vagy látásjavító műtét után szemész szakorvosi” szöveg,

ba) I., II. és III. munkaköri csoport A) pontjának címében a „térségi és saját célú vasúti pályahálózat” szövegrész helyébe a „térségi, saját célú vasúti pályahálózat és iparvágány” szöveg,

bb) I., II. és III. munkaköri csoport B) pontjának címében az „Elővárosi” szövegrész helyébe az „Elővárosi, városi” szöveg,

bc) II. és III. munkaköri csoport B) pont II. alcíme címében a „Helyi” szövegrész helyébe a „Városi és helyi” szöveg és

bd) III. munkaköri csoport C) pontjának címében a „Sikló-, függőpálya, sífelvonó, mozgólépcső” szövegrész helyébe a „Mozgólépcső” szöveg

lép.

15. § Hatályát veszti az R2.

3. Az országos működési engedély alapján végzett vasúti személyszállítás részletes feltételeiről szóló 271/2009. (XII. 1.) Korm. rendelet módosítása

16. § Az országos működési engedély alapján végzett vasúti személyszállítás részletes feltételeiről szóló 271/2009. (XII. 1.) Korm. rendelet (a továbbiakban: R3.) „A vasúti társaság felelőssége a szerződésszegéssel okozott károkért” alcíme a következő 16/A. §-sal egészül ki:

16/A. § A vasúti társaság veszélyes üzemi tevékenysége körében a vasúti társaság működési körén kívül álló elháríthatatlan oknak minősülnek: az EK rendelet I. melléklet 32. Cikke (2) bekezdésében foglaltak szerinti okok azzal, hogy az EK rendelet I. melléklet 32. Cikk (2) bekezdés a) pontja szerinti körülménynek minősül különösen a természeti katasztrófa, háború, embargó, szükséghelyzet, a Kormány által elrendelt válsághelyzet.”

17. § Az R3. 26. §-a a következő (2) bekezdéssel egészül ki:

„(2) Azok a személyszállítási működési engedéllyel rendelkező vállalkozó vasúti társaságok, amelyek az egyes vasúti tárgyú kormányrendeletek módosításáról szóló 193/2016. (VII. 13.) Korm. rendelet (a továbbiakban: Módr.) hatálybalépésekor már rendelkeznek a vasúti igazgatási szerv által jóváhagyott üzletszabályzattal, e rendeletnek a Módr. által megállapított 16/A. §-ának megfelelő üzletszabályzatukat vagy annak módosítását legkésőbb a Módr. hatálybalépésétől számított 60. napig kötelesek a vasúti igazgatási szervhez jóváhagyásra benyújtani. Ha az új üzletszabályzat csak az e bekezdésben meghatározott módosításokat tartalmazza a korábbi üzletszabályzathoz képest vagy az üzletszabályzat módosítása csak az e bekezdés szerinti módosításokat tartalmazza, a vasúti igazgatási szerv eljárása díjmentes.”

4. A vasúti társaságok nem vasúti balesetből eredő károk fedezésére szolgáló kötelező kárfedezeti képességének biztosításáról szóló 6/2010. (I. 21.) Korm. rendelet módosítása

18. § A vasúti társaságok nem vasúti balesetből eredő károk fedezésére szolgáló kötelező kárfedezeti képességének biztosításáról szóló 6/2010. (I. 21.) Korm. rendelet (a továbbiakban: R4.) 6. § (4) bekezdése helyébe a következő rendelkezés lép:

„(4) Ha a vagyoni biztosíték mértéke a felhasználás következtében a fedezeti összeghatár alá csökken, a vasúti társaság – amennyiben a vasúti személyszállítási tevékenységét tovább folytatja – a vagyoni biztosíték legalább a fedezeti összeghatár mértékéig történő emeléséről, legkésőbb a csökkenéstől számított harminc napon belül gondoskodik, és ennek megtörténtéről a vasúti igazgatási szervet legalább tizenöt napon belül írásban értesíti.”

19. § Az R4. 7. §-a a következő (3) bekezdéssel egészül ki:

„(3) Ha a vasúti közlekedési tevékenységét bejelentés alapján végző vasúti társaság a bejelentéshez kötött tevékenységével felhagy és ezt a vasúti igazgatási szerv részére bejelentette vagy a vasúti közlekedési tevékenység folytatását a vasúti igazgatási szerv megtiltotta, a garanciaszerződés hatályát csak azt követően szüntetheti meg, hogy a vasúti igazgatási szerv felé igazolta, hogy
a) valamennyi, vele szemben bejelentett, nem vitatott vagy a bíróság végrehajtható határozata által megalapozott kárigényt és sérelemdíj iránti igényt kielégített, valamint
b) az egyéb, jogvita tárgyává tett kárigények és sérelemdíj iránti igények vonatkozásában az eljárás a vasúti társaság marasztalása nélkül jogerősen befejeződött.”

20. § Az R4. 8. § (1) bekezdés a) pontja helyébe a következő rendelkezés lép:

(A vagyoni biztosítékra vonatkozó szerződés megkötését, valamint annak folyamatos hatályban tartását)

a) a biztosítási szerződés különös szerződési feltételeket tartalmazó része közjegyző által hitelesített másolat példányban, a biztosítási kötvény és a biztosítási díjjal rendezett időszakról (ideértve a díjhalasztást is) a biztosító által kiállított igazolás eredeti vagy közjegyző által hitelesített másolat példánya, vagy”

(tanúsítja.)

21. § Az R4. 8. § (2) bekezdése helyébe a következő rendelkezés lép:

„(2) Az (1) bekezdés szerinti igazolás tartalmazza:
a) a szerződés azonosítóját (szerződésszám, kötvényszám),
b) a biztosító nevét, székhelyét és elérhetőségeit,
c) a szerződő biztosított teljes nevét, székhelyét és elérhetőségeit,
d) a kockázatviselés kezdetét és a biztosítási időszakot,
e) a biztosítási eseményt,
f) a vállalt kockázatot, annak mértékét és területi hatályát,
g) az önrész formáját és mértékét,
h) a mentesüléseket, kizárásokat és záradékokat,
i) a kárrendezés, valamint a kártérítés és a sérelemdíj kifizetésének módját,
j) a szerződés keltét,
k) a kötvényfeltételeket,
l) a biztosított vasúti tevékenység megnevezését, valamint
m) a rendelkezést arra vonatkozóan, hogy a biztosítási kötvény e rendelet előírásainak mindenben megfelel.”

22. § Az R4. 10. §-a a következő (2) bekezdéssel egészül ki:

„(2) Az egyes vasúti tárgyú kormányrendeletek módosításáról szóló 193/2016. (VII. 13.) Korm. rendelet (a továbbiakban: Módr.) hatálybalépésekor működési engedéllyel, illetve tudomásul vett bejelentéssel rendelkező vasúti társaságok a Módr. hatálybalépésétől számított 120 napon belül igazolják, hogy a Módr. szerinti kárfedezeti képességgel rendelkeznek. Azon vasúti társaságok esetében, amelyek e kötelezettségüknek nem tesznek eleget, a vasúti igazgatási szerv a működési engedélyt, illetve – a bejelentéssel rendelkező vasúti társaságok esetén – a tevékenység folytatását felfüggeszti. Ha a vasúti társaság kizárólag a kárfedezeti képesség Módr. szerinti igazolásához szükséges dokumentumokat nyújtja be a vasúti igazgatási szerv részére, a vasúti igazgatási szerv eljárása díjmentes.”

23. § Az R4.

lép.

24. § Az R4.

a) 1. §-ában az „az országos, – a turistavasút kivételével – a térségi, az elővárosi, valamint a helyi vasúti személyszállítási” szövegrész helyébe az „az országos, a térségi, az elővárosi, a városi, a helyi, a kisvasúti, valamint a múzeumvasúti vasúti személyszállítási” szöveg,

b) 5. § (1) bekezdés b) pontjában a „felelősségbiztosítás” szövegrész helyébe a „felelősségbiztosítási szerződés” szöveg,

c) 6. § (1) bekezdés b) pontjában a „vonatkozó működési engedély esetében a működési engedélyben” szövegrész helyébe a „vonatkozó működési engedély vagy bejelentés esetében a működési engedélyben vagy a tudomásul vett bejelentésben” szöveg,

d) 7. § (2) bekezdésében az „A vasúti társaság” szövegrész helyébe az „A működési engedéllyel rendelkező vasúti társaság” szöveg

lép.

5. A vasúti építmények építésügyi hatósági engedélyezési eljárásainak részletes szabályairól szóló 289/2012. (X. 11.) Korm. rendelet módosítása

25. § A vasúti építmények építésügyi hatósági engedélyezési eljárásainak részletes szabályairól szóló 289/2012. (X. 11.) Korm. rendelet (a továbbiakban: R5.)

a) 1. melléklet 2.1. pontjában a „Vasúti pálya, kivéve a 2.2. pontban foglaltakat” szövegrész helyébe a „Vasúti pálya” szöveg,

b) 2. melléklet 2.1. pontjában a „Vasúti pálya, kivéve kötélpálya, függőpálya, sikló, sífelvonó” szövegrész helyébe a „Vasúti pálya” szöveg,

c) 3. melléklet 2.1. pontjában a „Vasúti pálya, kivéve a 2.2. pontban foglaltakat” szövegrész helyébe a „Vasúti pálya” szöveg

lép.

26. § Hatályát veszti az R5.

6. A vasúti közlekedési hatóság által kiszabható bírság mértékéről és megfizetésének részletes szabályairól szóló 277/2014. (XI. 14.) Korm. rendelet módosítása

27. § A vasúti közlekedési hatóság által kiszabható bírság mértékéről és megfizetésének részletes szabályairól szóló 277/2014. (XI. 14.) Korm. rendelet (a továbbiakban: R6.) 2. §-a a következő (6) bekezdéssel egészül ki:

„(6) A vasúti építmények építésügyi hatósági engedélyezési eljárásainak részletes szabályairól szóló kormányrendelet szerinti bejelentés elmulasztása esetén a bírság összege 50 000 forint.”

28. § Az R6. a következő 7. §-sal egészül ki:

7. § Ez a rendelet
a) a közösségi vasutak biztonságáról, valamint a vasúttársaságok engedélyezéséről szóló 95/18/EK tanácsi irányelv és a vasúti infrastruktúrakapacitás elosztásáról, továbbá a vasúti infrastruktúra használati díjának felszámításáról és a biztonsági tanúsítványról szóló 2001/14/EK irányelv módosításáról szóló, 2004. április 29-i 2004/49/EK európai parlamenti és tanácsi irányelv 32. cikkének,
b) a közösségi vasúti rendszereken mozdonyokat és vonatokat működtető mozdonyvezetők minősítéséről szóló, 2007. október 23-i 2007/59/EK európai parlamenti és tanácsi irányelv 30. cikkének
való megfelelést szolgálja.”

29. § Az R6. 1. melléklete a 10. melléklet szerint módosul.

30. § Az R6.

a) 2. § (1) bekezdésében és (5) bekezdésében a „Vktv.” szövegrész helyébe a „Vtv.” szöveg,

b) 1. melléklet I. 2. sorában a „méterenként” szövegrész helyébe a „vágány folyóméterenként” szöveg,

c) 1. melléklet I. 3. sorában az „oszloponként” szövegrész helyébe a „pálya-kilométerenként” szöveg,

d) 1. melléklet I. 20. sorában a „sífelvonó” szövegrész helyébe a „sífelvonó, függőpálya vagy kötélpálya” szöveg,

e) 1. melléklet II. 19. sorában az „illetőleg vonatbefolyásoló” szövegrész helyébe a „vagy vonatbefolyásoló” szöveg,

f) 1. melléklet II. 35. sorában a „Munkavállaló: 500 000” szövegrész helyébe a „Munkavállaló: 50 000” szöveg

lép.

31. § Ez a rendelet a kihirdetését követő 15. napon lép hatályba.

32. § E rendelet

a) 1. alcíme az egységes európai vasúti térség létrehozásáról szóló, 2012. november 21-i 2012/34/EU európai parlamenti és tanácsi irányelv 22. cikkének és

ba) a közösségi vasutak biztonságáról, valamint a vasúttársaságok engedélyezéséről szóló 95/18/EK tanácsi irányelv és a vasúti infrastruktúrakapacitás elosztásáról, továbbá a vasúti infrastruktúra használati díjának felszámításáról és a biztonsági tanúsítványról szóló 2001/14/EK irányelv módosításáról szóló, 2004. április 29-i 2004/49/EK európai parlamenti és tanácsi irányelv 32. cikkének, valamint

bb) a közösségi vasúti rendszereken mozdonyokat és vonatokat működtető mozdonyvezetők minősítéséről szóló, 2007. október 23-i 2007/59/EK európai parlamenti és tanácsi irányelv 30. cikkének

való megfelelést szolgálja.

1. melléklet a 193/2016. (VII. 13.) Korm. rendelethez


Vasúti társaságokra irányadó fedezeti összeghatárok

1.    Az általános vasúti balesetek fedezeti összeghatárának számítása országos és elővárosi vasúti személyszállítási működési engedély esetén


de legalább 100 millió forint,
ahol az
S = Az EGT-államok területén vagy az adott elővárosi vasúti pályahálózaton, az általános és a környezetszennyezés felelősség körében a tárgyévet követő évben az utasoknak és a harmadik személyeknek vasúti balesetben okozott károk és bekövetkezett személyi károk fedezeti összeghatára,
s = Az EGT-államok területén vagy az adott elővárosi vasúti pályahálózaton megvalósuló, a tárgyévet követő évre tervezett összes utaskilométer.
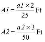
2.    Az általános vasúti balesetek fedezeti összeghatárának számítása országos és elővárosi vasúti árutovábbítási működési engedély esetén
A = A1 + A2
de legalább 50 millió forint,
ahol az


A = Az EGT-államok területén vagy az adott elővárosi vasúti pályahálózaton az általános és a környezetszennyezés felelősség körében a tárgyévet követő évben harmadik személyeknek vasúti balesetben okozott károk és bekövetkezett személyi károk fedezeti összeghatára,
A1 = Az EGT-államok területén vagy az adott elővárosi vasúti pályahálózaton az általános és a környezetszennyezés felelősség körében a tárgyévet követő évben harmadik személyeknek vasúti balesetben okozott károk és bekövetkezett személyi károk fedezeti összeghatára veszélyes áru továbbítása esetén,
a1 = A tárgyévet követő évben az EGT-államok területén vagy az adott elővárosi vasúti pályahálózaton várhatóan megvalósuló veszélyes áru továbbítás összes árutonna-kilométer teljesítménye,
A2 = Az EGT-államok területén vagy az adott elővárosi vasúti pályahálózaton az általános és a környezetszennyezés felelősség körében a tárgyévet követő évben harmadik személyeknek vasúti balesetben okozott károk és bekövetkezett személyi károk fedezeti összeghatára nem veszélyes áru továbbítása esetén,
a2 = A tárgyévet követő évben az EGT-államok területén vagy az adott elővárosi vasúti pályahálózaton várhatóan megvalósuló nem veszélyes áru továbbítás összes árutonna-kilométer teljesítménye.
3.    Az általános vasúti balesetek fedezeti összeghatárának számítása vontatási szolgáltatás nyújtására jogosító országos és elővárosi működési engedély esetén
V = v × 1 000 000 forint
de legalább 100 millió forint,
ahol a
V = Az EGT-államok területén vagy az adott elővárosi vasúti pályahálózaton, az általános és a környezetszennyezés felelősség körében a tárgyévet követő évben a harmadik személyeknek vasúti balesetben okozott károk és bekövetkezett személyi károk fedezeti összeghatára,
v = Az EGT-államok területén vagy az adott elővárosi vasúti pályahálózaton, a tárgyévet követő évben várhatóan dolgozó vontató járművek száma.
4.    Az általános vasúti balesetek fedezeti összeghatárának számítása országos és elővárosi vasúti pályahálózat működtetésére vonatkozó bejelentés esetén
P = P1 + P2
de legalább 200 millió forint,
ahol a
P = Az adott országos vagy elővárosi vasúti pályahálózaton az általános és a környezetszennyezés felelősség körében a tárgyévet követő évben a harmadik személyeknek vasúti balesetben okozott károk és bekövetkezett személyi károk fedezeti összeghatára,
P1 = Az adott országos vagy elővárosi vasúti pályahálózaton az általános és a környezetszennyezés felelősség körében a tárgyévet követő évben a harmadik személyeknek vasúti balesetben okozott károk és bekövetkezett személyi károk fedezeti összeghatára a teljes nyílt hozzáférésű vasúti pályahálózat építési hosszára számítva,
p1 = A vasúti társaság által működtetett teljes nyílt hozzáférésű vasúti pályahálózat építési hossza kilométerben a tárgyévet követő évben,
P2 = Az adott országos vagy elővárosi vasúti pályahálózaton az általános és a környezetszennyezés felelősség körében a tárgyévet követő évben a harmadik személyeknek vasúti balesetben okozott károk és bekövetkezett személyi károk fedezeti összeghatára a teljes nyílt hozzáférés alól mentesített vasúti pályahálózat építési hosszára számítva,
p2 = A vasúti társaság által működtetett teljes nyílt hozzáféréstől mentesített vasúti pályahálózat építési hossza kilométerben a tárgyévet követő évben.
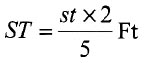
5.    Az általános vasúti balesetek fedezeti összeghatárának számítása térségi vasúti személyszállításra vonatkozó működési engedély, valamint a kisvasút vagy múzeumvasút vasúti személyszállítási tevékenysége esetén, illetve a kizárólag iparvágányon vagy a saját célú vasúti pályahálózaton végzett vasúti személyközlekedtetési tevékenység esetén
de legalább 10 millió forint,
ahol az
ST = Az iparvágányon, a térségi, kisvasúti, múzeumvasúti vagy a saját célú vasúti pályahálózaton az általános és a környezetszennyezés felelősség körében a tárgyévet követő évben az utasoknak és harmadik személyeknek vasúti balesetben okozott károk és bekövetkezett személyi károk fedezeti összeghatára,
st = A tárgyévet követő évben tervezett összes utaskilométer teljesítmény.
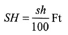
6.    Az általános vasúti balesetek fedezeti összeghatárának számítása helyi és városi vasúti személyszállításra vonatkozó működési engedély esetén
de legalább 50 millió forint,
ahol az
SH = A helyi vagy városi vasúti pályahálózaton az általános és a környezetszennyezés felelősség körében a tárgyévet követő évben az utasoknak és harmadik személyeknek vasúti balesetben okozott károk és bekövetkezett személyi károk fedezeti összeghatára,
sh = A tárgyévet követő évben tervezett összes férőhely-kilométer teljesítmény.
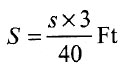
7.    Az általános vasúti balesetek fedezeti összeghatárának számítása térségi, helyi és városi árutovábbításra vonatkozó működési engedély, valamint a kisvasút vagy múzeumvasút vasúti árutovábbítási tevékenysége esetén, illetve a kizárólag iparvágányon vagy a saját célú vasúti pályahálózaton végzett vasúti áruszállítási tevékenység esetén
de legalább 20 millió forint,
ahol az
AT = Az iparvágányon, a térségi, helyi, városi, kisvasúti, múzeumvasúti vagy a saját célú vasúti pályahálózat területén az általános és a környezetszennyezés felelősség körében a tárgyévet követő évben harmadik személyeknek vasúti balesetben okozott károk és bekövetkezett személyi károk fedezeti összeghatára,
at = A tárgyévet követő évben tervezett összes árutonna-kilométer teljesítmény.
8.    Az általános vasúti balesetek fedezeti összeghatárának számítása vontatási szolgáltatás nyújtására jogosító térségi, helyi és városi működési engedély, valamint a múzeumvasút vasúti vontatási szolgáltatása esetén, illetve a kizárólag iparvágányon vagy a saját célú vasúti pályahálózaton végzett vasúti vontatási szolgáltatás esetén,
VT = vt × 200 000 forint
de legalább 10 millió forint,
ahol a
VT = Az iparvágányon, a térségi, a helyi, városi, múzeumvasúti vagy saját célú vasúti pályahálózaton az általános és a környezetszennyezés felelősség körében a tárgyévet követő évben a harmadik személyeknek vasúti balesetben okozott károk és bekövetkezett személyi károk fedezeti összeghatára,
vt = Az iparvágányon, a térségi, a helyi, városi, múzeumvasúti vagy saját célú vasúti pályahálózaton a tárgyévet követő évben várhatóan dolgozó vontató járművek száma.
9.    Az általános vasúti balesetek fedezeti összeghatárának számítása térségi vasúti pályahálózat működtetése, valamint a kisvasút, a múzeumvasút vasúti pályahálózat-működtetési tevékenysége esetén, illetve az iparvágány vagy a saját célú vasúti pályahálózat működtetése esetén
PT = pt × 100 000 forint
de legalább 5 millió forint,
ahol a
PT = Az iparvágányon, a térségi, kisvasúti, múzeumvasúti vagy saját célú vasúti pályahálózaton az általános és a környezetszennyezés felelősség körében a tárgyévet követő évben a harmadik személyeknek vasúti balesetben okozott károk és bekövetkezett személyi károk fedezeti összeghatára,
pt = A vasúti társaság által működtetett vasúti pályahálózat építési hossza kilométerben a tárgyévet követő évben.
10.    Az általános vasúti balesetek fedezeti összeghatárának számítása helyi vagy városi vasúti pályahálózat működtetésére vonatkozó bejelentés esetén
PH = PH1 + PH2
de legalább 50 millió forint,
ahol a
PH1= ph1 × 2 000 000 forint
PH2 = ph2 × 500 000 forint
PH = A helyi vagy városi vasúti pályahálózaton az általános és a környezetszennyezés felelősség körében a tárgyévet követő évben a harmadik személyeknek vasúti balesetben okozott károk és bekövetkezett személyi károk fedezeti összeghatára,
PH1 = A helyi vagy városi vasúti pályahálózaton az általános és a környezetszennyezés felelősség körében a tárgyévet követő évben a harmadik személyeknek vasúti balesetben okozott károk és bekövetkezett személyi károk fedezeti összeghatára a villamos vontatásra alkalmas vasúti pályahálózat építési hosszára számítva,
ph1 = A helyi vagy városi vasúti pályahálózaton a villamos vontatásra alkalmas vasúti pályahálózat építési hossza,
PH2 = A helyi vagy városi vasúti pályahálózaton az általános és a környezetszennyezés felelősség körében a tárgyévet követő évben a harmadik személyeknek vasúti balesetben okozott károk és bekövetkezett személyi károk fedezeti összeghatára a villamos vontatásra nem alkalmas vasúti pályahálózat építési hosszára számítva,
ph2 = A helyi vagy városi vasúti pályahálózaton a villamos vontatásra nem alkalmas vasúti pályahálózat építési hosszára számítva.
11.    A katasztrófa-balesetek fedezeti összeghatárának számítása
PML = PML1 + PML2
ahol a
PML = Az a lehetséges legnagyobb személyi sérüléssel járó és dologi kár (forint), ami a tevékenység következtében maximumként bekövetkezhet, függetlenül a vasúti baleset bekövetkezésének valószínűségétől,
PML1 = Az a lehetséges legnagyobb személyi sérüléssel járó kár (forint), ami a tevékenység következtében maximumként bekövetkezhet. A személyi sérüléssel járó kár meghatározásához személyenként legalább 30 millió forint kárral, országos és elővárosi működési engedély kérelem, illetve bejelentés esetén 50 fő, helyi, városi működési engedély kérelem, illetve bejelentés esetén legalább 10 fő, térségi, kisvasúti, múzeumvasúti, iparvágányi és saját célú működési engedély, illetve bejelentés esetén legalább 1 fő károsulttal kell számolni,
PML2 = Az a lehetséges legnagyobb dologi kár (forint), ami a tevékenység következtében maximumként bekövetkezhet. A dologi kár meghatározásánál figyelembe kell venni, hogy a vasúti baleset folytán megsérülhetnek különféle épületek, építmények (pl. híd, vasúti pálya és tartozékai, lakóházak, alagút, földcsere stb.).
A katasztrófa-balesetek fedezeti összeghatárának igazolásakor csak az általános vasúti balesetek fedezeti összeghatára fedezettel igazolt része feletti részt kell igazolni.

2. melléklet a 193/2016. (VII. 13.) Korm. rendelethez


Kockázatértékelési adatlap

Országos, elővárosi, helyi, városi, térségi személyszállítási működési engedélyhez a kizárólag az iparvágányon vagy saját célú pályahálózaton végzett személyközlekedtetéshez, valamint a kisvasúton, múzeumvasúton végzett személyszállításhoz

A. Személyszállítási vagy személyközlekedtetési tevékenység minőségben harmadik személynek okozott vasúti baleseti károk és bekövetkezett személyi károk

1. Személyszállítási vagy személyközlekedtetési tevékenység minőségben harmadik személyeknek okozott vasúti baleseti károk és bekövetkezett személyi károk évenként.
Az adatokat az engedély iránti kérelem benyújtását vagy a bejelentés megtételét megelőző három év tekintetében kell megadni személysérülés és dologi kárra történő bontásban, valamint összesítve is. Az adatokat ezer forintban kell megadni.
A személysérülés, a dologi kár, valamint ezek összege tekintetében meg kell adni továbbá a vasúti társaság általános felelősségét érintő károk mértékét (beleértve a környezetszennyezési felelősségi károkat is) külön-külön mind a három év tekintetében, illetve a három év összesítésében. Az előbbiekből az alvállalkozó által okozott károkat és bekövetkezett személyi károkat külön is be kell mutatni ugyanilyen bontásban. Az adatokat ezer forintban kell megadni.

2. Személyszállítási vagy személyközlekedtetési tevékenység minőségben harmadik személynek okozott átlagos és legnagyobb vasúti baleseti kár és személyi kár értékei az elmúlt három évben.
Az adatokat az engedély iránti kérelem benyújtását vagy a bejelentés megtételét megelőző három év tekintetében kell megadni vonatok száma (db), vonatkilométer (ezer vkm), harmadik személynek okozott kár és személyi kár (db), szállított utasok száma (fő), összes utaskm (ezer utaskm), összes férőhely-km (ezer fhkm), harmadik személynek okozott átlag kár és személyi kár (forint), harmadik személynek okozott legnagyobb kár és személyi kár (forint), harmadik személynek kifizetett éves összes kár és személyi kár (forint) bontásban.

B. Személyszállítási vagy személyközlekedtetési tevékenység adatai a tárgyévre és a következő évre vonatkoztatva
Az adatokat a tárgyév és a következő év tekintetében kell megadni a várható vonatok száma (db), a várható vonat kilométer (ezer vkm), a várható szállított utasok száma (fő), a várható összes utaskm (ezer utaskm), a várható összes férőhely-km (ezer fhkm), a várható harmadik személynek okozható kár és személyi kár (db), a harmadik személyeknek várható összes éves kifizetés (Ft), valamint a harmadik személyeknek okozott várható átlagos kár és személyi kár (Ft) bontásban.

C. Lehetséges legnagyobb kár és személyi kár becslése
Harmadik személynek okozott vasúti baleseti katasztrófa (tömegbaleset) következtében egy káresetből várható legnagyobb kár és személyi kár.
Az adatokat személysérülés és dologi kárra történő bontásban, valamint összesítve kell megadni. Az adatokat forintban kell megadni.”

3. melléklet a 193/2016. (VII. 13.) Korm. rendelethez


Kockázatértékelési adatlap

Országos, elővárosi, térségi, helyi és városi árutovábbítási engedélyhez, valamint a kizárólag az iparvágányon, saját célú pályahálózaton végzett áruszállításhoz vagy kisvasúton és múzeumvasúton végzett áruszállításhoz, illetve árufuvarozáshoz

A. Árutovábbítási tevékenység minőségben harmadik személyeknek okozott vasúti baleseti károk és személyi károk

1. Árutovábbítási tevékenység minőségben harmadik személyeknek okozott vasúti baleseti károk és személyi károk évenként.
Az adatokat az engedély iránti kérelem benyújtását vagy a bejelentés megtételét megelőző három év tekintetében kell megadni személysérülés és dologi kárra történő bontásban, valamint összesítve is. Az adatokat ezer forintban kell megadni.
A személysérülés, a dologi kár, valamint ezek összege tekintetében meg kell adni továbbá a vasúti társaság általános felelősségét érintő károk mértékét (beleértve a környezetszennyezési felelősségi károkat és személyi károkat is) külön-külön mind a három év tekintetében, illetve a három év összesítésében. Az előbbiekből az alvállalkozó által okozott károkat és személyi károkat külön is be kell mutatni ugyanilyen bontásban. Az adatokat ezer forintban kell megadni.

2. Árutovábbítási tevékenység minőségben harmadik személyeknek vasúti balesetben okozott átlagos és legnagyobb kár, valamint személyi kár értékei az elmúlt három évben.
Az adatokat az engedély iránti kérelem benyújtását vagy a bejelentés megtételét megelőző három év tekintetében kell megadni vonatok száma (db), vonatkilométer (ezer vkm), harmadik személynek okozott kár és személyi kár (db), összes árutonna-km (ezer átkm), harmadik személynek okozott átlag kár és személyi kár (forint), harmadik személynek okozott legnagyobb kár és személyi kár (forint), harmadik személynek kifizetett éves összes kár és személyi kár (forint) bontásban.

B. Árutovábbítási tevékenység adatai a tárgyévre és a következő évre vonatkoztatva
Az adatokat a tárgyév és a következő év tekintetében kell megadni a várható vonatok száma (db), a várható vonatkilométer (ezer vkm), a várható összes árutonnakm (ezer átkm), a várható harmadik személynek okozható kár és személyi kár (db), a harmadik személyeknek várható összes éves kifizetés (forint), valamint a harmadik személyeknek okozott várható átlagos kár és személyes kár (forint) bontásban.
A tárgyévi és a következő évi szállítandó áru veszélyesség szerinti megoszlása árutonna-kilométer alapján
Az adatokat a tárgyév és a következő év tekintetében veszélyes, illetve nem veszélyes áru bontásban, valamint összesítve kell megadni. Az adatokat árutonna-kilométerben és %-os formában is meg kell adni, úgy, hogy a veszélyes és nem veszélyes áru összegeként kapott összes szállítandó áru 100%-ot tegyen ki.

C. Lehetséges legnagyobb kár és személyi kár becslése
Harmadik személyeknek okozott vasúti baleseti katasztrófa (tömegbaleset) következtében egy káresetből várható legnagyobb kár és személyi kár.
Az adatokat személysérülés és dologi kárra történő bontásban, valamint összesítve kell megadni. Az adatokat forintban kell megadni.”

4. melléklet a 193/2016. (VII. 13.) Korm. rendelethez


Kockázatértékelési adatlap

Vontatási szolgáltatás nyújtására jogosító országos, elővárosi, térségi, helyi és városi működési engedélyhez, valamint kizárólag az iparvágányon, saját célú pályahálózaton és múzeumvasúton végzett vontatáshoz

A. Vontatási tevékenység minőségben harmadik személyeknek okozott vasúti baleseti károk és bekövetkezett személyi károk

1. Vontatási tevékenység minőségben harmadik személyeknek vasúti balesetben okozott károk és személyi károk évenként.
Az adatokat az engedély iránti kérelem benyújtását, illetve a bejelentés megtételét megelőző három év tekintetében kell megadni személysérülés és dologi kárra történő bontásban, valamint összesítve is. Az adatokat ezer forintban kell megadni.
A személysérülés, a dologi kár, valamint ezek összege tekintetében meg kell adni továbbá a vasúti társaság általános felelősségét érintő károk mértékét (beleértve a környezetszennyezési felelősségi károkat és személyi károkat is) külön-külön mind a három év tekintetében, illetve a három év összesítésében. Az előbbiekből az alvállalkozó által okozott károkat és személyi károkat külön is be kell mutatni ugyanilyen bontásban. Az adatokat ezer forintban kell megadni.

2. Vontatási tevékenység minőségben harmadik személyeknek vasúti balesetben okozott átlagos és legnagyobb kár és személyi kár értékei az elmúlt három évben.
Az adatokat az engedély iránti kérelem benyújtását, illetve a bejelentés megtételét megelőző három év tekintetében kell megadni vonatok száma (db), vonatkilométer (ezer vkm), harmadik személynek okozott kár és személyi kár (db), mozdonyok száma (db), harmadik személynek okozott átlagos kár és személyi kár (forint), harmadik személynek okozott legnagyobb kár és személyi kár (forint), harmadik személynek kifizetett éves összes kár és személyi kár (forint) bontásban.

B. Vontatási tevékenység adatai a tárgyévre és a következő évre vonatkoztatva
Mozdonyok várható száma: A mozdonyok várható számát (db) a tárgyév és a következő év tekintetében kell megadni.

C. Lehetséges legnagyobb kár és személyi kár becslése
Harmadik személyeknek okozott vasúti baleseti katasztrófa (tömegbaleset) következtében egy káresetből várható legnagyobb kár és személyi kár a mai viszonyokra vetítve.
Az adatokat személysérülés és dologi kárra történő bontásban, valamint összesítve kell megadni. Az adatokat ezer forintban kell megadni.”

5. melléklet a 193/2016. (VII. 13.) Korm. rendelethez


Kockázatértékelési adatlap

Pályahálózat működtetéshez

A. Pályahálózat-működtetői minőségben harmadik személynek okozott vasúti baleseti károk és bekövetkezett személyi károk

1. Pályahálózat-működtetői minőségben harmadik személyeknek vasúti balesetben okozott károk és személyi károk évenként.
Az adatokat a bejelentés megtételét megelőző három év tekintetében kell megadni személysérülés és dologi kárra történő bontásban, valamint összesítve is. Az adatokat ezer forintban kell megadni.
A személysérülés, a dologi kár, valamint ezek összege tekintetében meg kell adni továbbá a vasúti társaság általános felelősségét érintő károk mértékét (beleértve a környezetszennyezési felelősségi károkat és személyi károkat is) külön-külön mind a három év tekintetében, illetve a három év összesítésében. Az előbbiekből az alvállalkozó által okozott károkat és személyi károkat külön is be kell mutatni ugyanilyen bontásban. Az adatokat ezer forintban kell megadni.

2. Pályahálózat-működtetői minőségben harmadik személyeknek vasúti balesetben okozott átlagos és legnagyobb kár, valamint személyi kár értéke az elmúlt három évben.
Az adatokat a bejelentés megtételét megelőző három év tekintetében kell megadni harmadik személynek okozott kár és személyi kár (db), harmadik személynek okozott átlagos kár és személyi kár (forint), harmadik személynek okozott legnagyobb kár és személyi kár (forint), valamint harmadik személynek kifizetett éves összes kár és személyi kár (forint) bontásban.

B. Pályahálózat-működtetői tevékenység adatai a tárgyévre és a következő évre vonatkoztatva
Az adatokat a tárgyév és a következő év tekintetében kell megadni a vasúti pályahálózat építési hossza (km), a nyílt hozzáférésű vasúti pályahálózat hossza (km), az országos törzshálózatba tartozó vasúti pályahálózat hossza (km), az útátjárók száma (db), állomások és megállóhelyek száma (db), a villamos vontatásra alkalmas pálya építési hossza (km), metró és földalatti vasúti pálya építési hossza (km), valamint a vasúti hidak száma (db) bontásban. Az útátjárók és a vasúti hidak számát helyi és városi pályahálózat-működtetési tevékenység esetén nem kell megadni.
Meg kell adni továbbá a tárgyév és a következő év tekintetében a várható harmadik személynek okozható kár és személyi kár darabszámát (db), a harmadik személynek várható összes éves kifizetést (forint), valamint a harmadik személynek várhatóan okozott kár és személyi kár átlagos összegét (forint).

C. Lehetséges legnagyobb kár és személyi kár becslése
Harmadik személynek okozott vasúti baleseti katasztrófa (tömegbaleset) következtében egy káresetből várható legnagyobb kár és személyi kár a mai viszonyokra vetítve.
Az adatokat személysérülés és dologi kárra történő bontásban, valamint összesítve kell megadni. Az adatokat forintban kell megadni.”

6. melléklet a 193/2016. (VII. 13.) Korm. rendelethez


Egészségi alkalmasságot kizáró, korlátozó állapotok, fogyatékosságok és betegségek előzetes egészségi alkalmassági vizsgálatok során (BNO X.)

Abban az esetben tekintendő alkalmasságot kizáró vagy korlátozó oknak az e mellékletben szereplő állapot, fogyatékosság vagy betegség, ha annak stádiuma közvetett vagy közvetlen következményeként a vizsgált személy munkavégzése a vasúti közlekedés biztonságát, saját életét vagy testi épségét veszélyezteti.

(1) Rosszindulatú daganatok
a) bármely rosszindulatú daganat (C0000-C9700)

(2) Vér- és vérképzőrendszeri betegségek
a) kóros vérzékenység; alvadási zavarok (D6600-D6890)
b) primer anemiák és a vörösvértestképzés zavarai (D5000-D6490)

(3) Endokrin, táplálkozási és anyagcsere-betegségek
a) a belső elválasztású mirigyrendszernek az adott munkakör ellátását akadályozó betegségei (E0000-E0090; E0500-E0590; E1600-E1690; E2000-E2150; E2200-E2790; E3430-E3510; E3490)
b) anyagcsere- és rendszerbetegségek (E4100; E7000-E9000)
c) cukorbetegség (E1000-E1400)
d) munkakör ellátását akadályozó allergiás eredetű kórképek (J4500; J4580; J4590; L2300-L2390; L5000-L5090)
e) testtömegindex (BMI) >35 és <17 (E4000-E6800)

(4) Mentális és viselkedészavarok
a) pszichoaktív szer használata által okozott mentális és viselkedészavarok (F1000-F1990)
b) psychopathia vagy elmebetegség minden formája (F2000-F3190; F3400-F3900; F4210-F4290; F4400-F4590; F6000-F6390; F6800-F6900)
c) szorongás (F4000-F4190)
d) Depresszió (F3220-F3390)
e) Skizofrénia és paranoid pszichózis (F2000-F2690)
f) szellemi fogyatékosság (F7000-F7900)

(5) Az idegrendszer betegségei
a) a központi és perifériás idegrendszer idült gyulladásai (G0000-G0900; G6100-G6290; G6400)
b) daganatai, elfajulása (C7000-C7290; D4200-D4390; G1000-G3790; G7000-G7370)
c) a központi és perifériás idegrendszer maradványtünetekkel járó, sérülés utáni állapota (G8000-G9980; I6000-I6980; S0200-S0990; G4500-G4680; G4740)
d) Narkolepsia (G4740)
e) Ovstruktiv alvási apnoe (OSA) (G4730)
f) Syncope (R55H0)
g) Myasthenia gravis (G4700)
h) Alzheimer kór (F0000-F0020)
i) Demencia (F0100-F03H0)
j) eszméletvesztéssel járó kórképek (G4000-G4190)
k) TIA (G4500-G4590)
l) Stroke (G4630; I6300-I6690)
m) Parkinson kór (G20H0-G2190)
n) Meinere betegség (H8100-H8320)
o) Sclerosis multiplex (G35H0-G3790)

(6) A szem és függelékeinek betegségei
a) a retina és látóideg idült gyulladása és elfajulása (H3000-H3680)
b) cataracta (H2500-H2880)
c) látászavarok (farkasvakság, kettőslátás, színlátászavar – H5310-H5330; H5350-H5390)
d) glaucoma (H4010-H4090)
e) lagophthalmus (Q1000)
f) nystagmus (H5500)
g) tompalátás (H5300)
h) astigmia, anisometriopia, ha annak mértéke meghaladja a 2,0 dioptriát
i) beszűkült látótér (H5340)

(7) A fül és csecsnyúlvány betegségei
a) a közép- és belsőfül idült gyulladásos betegségei (H6520-H6690; H7010-H7290; H7310-H7580; H8300-H8310)
b) vestibuláris funkciózavarok (H8110-H8390)
c) a beszéd, illetve hangképzés jelentős zavara (J3700-J3890)
d) halláscsökkenés (H9000-H9190)

(8) A keringési rendszer betegségei
a) cardiorespiratoricus elégtelenséggel járó kórképek [szív és tüdő transzplantáció] (I3400-I3790; I4200-I4990; I5000-I5090)
b) koszorúér betegségek [tüneteket okozó koszorúér betegség] (I2000-I2380) rheumás carditis utáni állapot [reumás eredetű billentyűbetegségek] (I0000-I0990)
c) ingerképzési, ingervezetési vagy repolarizációs zavar [komplett jobb- vagy balszárblokk; széles és/vagy keskeny QRS komplexusokkal járó tachycardia, endocardiális pacemaker, tartós vagy időnként jelentkező, klinikai tünetekkel járó szupraventrikuláris tachycardia, sinoatrialis diszfunkció, anamnézisben szereplő malignus vasovagalis syncope] (I4400-I4990) pitvarfibrilláció tartósan >100 feletti frekvenciával, Pacemaker beültetés;
d) egyéb eredetű következményes szívizom bántalom [a bal kamra ischaemiás károsodása (EF<50%; MET<7); koszorúér-műtét, angioplastica, illetve koszorúér stenting utáni állapot; a szívburok vagy az endokardium minden betegsége] (I5100-I5280)
e) nem kezelt, vagy nem kellően kezelt magas vérnyomás betegség, másodlagos szervi károsodásokkal (I10H0-I1590)
f) postthromboticus syndroma, kiújuló thrombophlebitisek [szisztémás alvadásgátló kezelés] (I8000-I8090; I8210; I8290; I8700-I8790; Z9210)
g) perifériás verőerek szűkülete [a mellkasi vagy hasi aorta aneurisma] (I7000-I7790)
h) szív- és a nagyerek szájadékának szűkülete vagy elégtelensége [szívbillentyű átültetés vagy plasztika utáni állapot; a szív veleszületett rendellenessége – műtét előtt vagy után; bármilyen klinikai tüneteket okozó szívbillentyűhiba; mitralis prolapsus syndroma] (I3400-I3790)

(9) A légzőrendszer betegségei
a) idült légzőszervi betegségek jelentős légzésfunkciós károsodással [COPD, asthma bronchiale] (J4200-J6400)
b) sarcoidosis (D8600-D8690)
c) spontán ptx utáni állapot, 1/2 éven belül (J9300-J9390)
d) egyik oldali tüdő eltávolítása [nagy mellkasi műtétek után 3 hónapig]

(10) Az emésztőrendszer betegségei
a) a tápcsatorna idült betegségei [visszatérő dyspepsiás panaszok, pankreatitissel; krónikus bélgyulladások – M.Crohn, diverticulitis, colitis ulcerosa] (K2000-K3190; K5000-K5290; K8600-K8690)
b) máj, epehólyag betegségek (K7000-K8190)
c) az emésztőszerven végzett műtétek utáni állapot 3 hónapig
d) sérv [olyan nagyságú, mely a cselekvőképesség beszűkülésének veszélyével járhat] (K4000-K4690)

(11) A bőr- és bőralatti szövetek betegségei, a kültakaró olyan idült betegsége, amely a munkakör ellátását akadályozza
a) collagenosisok (L9300; L9490)
b) vasculitisek (L9500-L9700)
c) psoriasis (L4000-L4190)
d) bőrgyulladás, ekcéma, uricaria (L2300-L2390; L5000-L5090)

(12) A csont-izomrendszer és kötőszövet betegségei
a) a csontrendszer, ízületek, izmok, inak idült gyulladásos, degeneratív funkciózavarral járó betegségei (M8000-M9490; M0000-M1990; M6000-M6380; M6500-M7990)
b) a gerincoszlop mozgáskorlátozást okozó ferdülése, törése (M4000-M5490; M9610-M9690)

(13) Az urogenitális rendszer betegségei
a) kimutatott vesekövesség (N2000-N2300)
b) a here, mellékhere és dülmirigy idült gyulladásai (N4100-N5180)
c) a méh és függelékei idült gyulladásai (N7000-N7780)
d) súlyos, gyógyszeres kezelésre nem reagáló menstruációs panaszok (N9400-N9490)
e) kiterjedt nőgyógyászati műtét után 3 hónapig
f) a vese és húgyivarszervek idült gyulladásai, funkciózavart okozó szűkületei, tágulatai (N1110-N1900; N2500-N2980)
g) nephrosis (N0300-N0500; N0700-N0800)
h) húgyúti szervek kiterjedt műtéte után vagy azok részleges – teljes – csonkolása, áthelyezése után 3 hónapig (veseátültetés után 12 hónapig)

(14) Veleszületett rendellenességek, deformitások
a) a munkavégzéshez nélkülözhetetlen végtagok vagy azok egyes részeinek hiánya vagy hiányos használhatósága
b) fejlődési rendellenesség, amely az adott munkakör ellátását akadályozza

(15) Máshová nem osztályozott panaszok, tünetek
a) az utazóközönséggel kapcsolatos munkakörökben foglalkoztatottaknál, a ruházat által szabadon hagyott testrészeken látható bőrbetegség nyomai, seb, elváltozás
b) a megérthetőséget zavaró beszédhiba
c) sérülés utáni – a munkakör ellátását akadályozó funkciózavart okozó – csont, ízületi, ín- és izom elváltozások

(16) Fertőző betegségek (B2000-B2400; B1500-B1990; A5100-A5390; D8000-D8990)”

7. melléklet a 193/2016. (VII. 13.) Korm. rendelethez


A) Előzetes egészségi alkalmassági vizsgálatnál megkívánt érzékszervi alkalmassági követelmények

I. munkaköri csoport esetében
1. Látási követelmények:
a) Látásélesség 1,8 (minimum = 1,0 – gyengébbik szemen = 0,8);
b) biztos színérzés szükséges (anomaloscopos megerősítés);
c) ép látótér és adaptációs képesség mellett stereoscopos látás;
d) szemlencse-beültetés után alkalmassági vizsgálat évente szemész szakorvosi ellenőrzés;
2. Hallási követelmények:
a) ép dobhártya, a súgott beszéd megértése 5 m-ről;
b) a légvezetéses küszöbérték átlaga (250–2000 Hz között) max. 20 dB

II. munkaköri csoport esetében
1. Látási követelmények:
a) Látásélesség 1,7 (minimum = 1,0 – gyengébbik szemen = 0,7);
b) szemüveg: +3,0 D-ig, –5,0 D-ig terjedő szférikus és/vagy cylindrikus üveg;
c) kontaktlencse használata szemész véleményezésével engedélyezett;
d) biztos színérzés szükséges (anomaloscopos megerősítés);
e) ép látótér és adaptációs képesség mellett stereoscopos látás;
f) szemlencse-beültetés után alkalmassági vizsgálat évente szemész szakorvosi ellenőrzés;
2. Hallási követelmények:
a) ép dobhártya, a súgott beszéd megértése 5 m-ről;
b) a légvezetéses küszöbérték átlaga (250–2000 Hz között) max. 20 dB

III. munkaköri csoport esetében
1. Látási követelmények:
a) Látásélesség 1,3 (minimum = 0,8 – gyengébbik szemen = 0,5);
b) szemüveg: +4,0 D-ig, –7,0 D-ig terjedő szférikus és/vagy cylindrikus üveg;
c) kontaktlencse használata szemész véleményezésével engedélyezett;
d) biztos színérzés szükséges (anomaloscopos megerősítés);
e) ép látótér és adaptációs képesség mellett stereoscopos látás;
f) szemlencse-beültetés után alkalmassági vizsgálat évente szemész szakorvosi ellenőrzés;
2. Hallási követelmények:
a) ép dobhártya, a súgott beszéd megértése 5 m-ről;
b) a légvezetéses küszöbérték átlaga (250–2000 Hz között) max. 20 dB

B) Időszakos és soron kívüli egészségi alkalmassági vizsgálat alkalmával megkívánt érzékszervi egészségi alkalmassági követelmények

I. munkaköri csoport esetében
1. Látási követelmények:
a) Látásélesség 1,2 (minimum = 0,7 – gyengébbik szemen = 0,5);
b) biztos színérzés szükséges (anomaloscopos megerősítés);
c) ép látótér és adaptációs képesség mellett stereoscopos látás;
d) szemlencse-beültetés, keratotomia után évente alkalmassági vizsgálat, szemész szakorvosi ellenőrzéssel;
2. Hallási követelmények:
a) ép dobhártya;
b) a súgott beszéd megértése 4 m-ről;
c) a légvezetéses küszöbérték átlaga (250–2000 Hz között) max. 30 dB

II. munkaköri csoport esetében
1. Látási követelmények:
a) Látásélesség 1,2 (minimum 0,7 – gyengébbik szemen = 0,5);
b) szemüveg: +4,0 D-ig, –6,0 D-ig terjedő szférikus, és/vagy cylindrikus üveg;
c) kontaktlencse használata szemész véleményezésével, a foglalkozás-egészségügyi orvos jóváhagyásával engedélyezett;
d) biztos színérzés szükséges (anomaloscopos megerősítés);
e) ép látótér és adaptációs képesség mellett stereoscopos látás;
f) szemlencse-beültetés, keratotomia után évente alkalmassági vizsgálat, szemész szakorvosi ellenőrzéssel;
2. Hallási követelmények:
a) ép dobhártya, a súgott beszéd megértése 4 m-ről;
b) a légvezetéses küszöbérték átlaga (250–2000 Hz között) max. 30 dB;
c) nem lehet krónikus beszédzavar (amennyiben az üzeneteket hangosan és tisztán kell váltani)

III. munkaköri csoport esetében
1. Látási követelmények:
a) Látásélesség = 1,2 (minimum 0,7 – gyengébbik szemen 0,5);
b) szemüveg: +5,0 D-ig, –8,0 D-ig terjedő szférikus, és/vagy cylindrikus üveg;
c) kontaktlencse használata szemész véleményezésével, a foglalkozás-egészségügyi orvos jóváhagyásával engedélyezett;
d) biztos színérzés szükséges (anomaloscopos megerősítés);
e) ép látótér és adaptációs képesség mellett stereoscopos látás;
f) szemlencse-beültetés, keratotomia után évente alkalmassági vizsgálat, szemész szakorvosi ellenőrzéssel;
2. Hallási követelmények:
a) ép dobhártya, a súgott beszéd megértése 3 m-ről;
b) a légvezetéses küszöbérték átlaga (250–2000 Hz között) max. 30 dB-t meghaladja, de nem érheti el a 40 dB-t
az egyik fül szükség esetén hallókészülékkel javítható, amennyiben a környezet zajszintje a 65 dB-t nem haladja meg”

8. melléklet a 193/2016. (VII. 13.) Korm. rendelethez



Vasúti társaságokra irányadó fedezeti összeghatárok

1.    Fedezeti összeghatárok számítása országos vasúti személyszállítási működési engedély esetében
A felelősségi károk éves fedezeti összeghatára országos vasúti személyszállítási működési engedély esetében
O = ol × 1,0 forint,
de legalább évi 80 millió forint,
ahol az
O = az EGT-államok területén, a vasúti pályahálózaton a felelősségi károk fedezeti összeghatára a tárgyévben,
ol = a tárgyévben tervezett utaslétszám.
Egy károsult személyre (utasra) eső fedezeti összeghatár (szublimit): legalább egy kárból egy személy esetén összesen 1 millió forint.
2.    Fedezeti összeghatárok számítása elővárosi vasúti személyszállítási működési engedély esetében
A felelősségi károk éves fedezeti összeghatára elővárosi vasúti személyszállítási működési engedély esetében
E = el × 0,8 forint,
de legalább évi 50 millió forint,
ahol az
E = az adott elővárosi vasúti pályahálózaton a felelősségi károk fedezeti összeghatára a tárgyévben,
el = a tárgyévben tervezett utaslétszám.
Egy károsult személyre (utasra) eső fedezeti összeghatár (szublimit): legalább egy kárból egy személy esetén összesen 1 millió forint.
3.    Fedezeti összeghatárok számítása helyi vagy városi vasúti személyszállítási működési engedély esetében
A károk éves fedezeti összeghatára helyi vagy városi vasúti személyszállítási működési engedély esetében
H = hl × 0,25 forint,
de legalább évi 20 millió forint,
ahol a
H = az adott helyi vagy városi vasúti pályahálózaton a nem vasúti balesetből eredő felelősségi károk fedezeti összeghatára a tárgyévben,
hl = a tárgyévben tervezett utaslétszám.
Egy károsult személyre (utasra) eső fedezeti összeghatár (szublimit): legalább egy kárból egy személy esetén összesen 1 millió forint.
4.    Fedezeti összeghatárok számítása térségi vasúti személyszállítási működési engedély, valamint a kisvasúton, múzeumvasúton végzett személyszállítás, illetve a kizárólag iparvágányon vagy a saját célú vasúti pályahálózaton végzett vasúti személyközlekedtetési tevékenység esetében
A felelősségi károk éves fedezeti összeghatára térségi vasúti személyszállítási működési engedély, valamint a kisvasúton, múzeumvasúton végzett személyszállítás, illetve a kizárólag iparvágányon vagy a saját célú vasúti pályahálózaton végzett vasúti személyközlekedtetési tevékenység esetében
ST = stl × 0,2 forint,
de legalább 5 millió forint, ha a vasúti társaság a tevékenységét 12 hónap (365 nap) időtartamig;
legalább 3 millió forint, ha a vasúti társaság a tevékenységét 8 hónap (240 nap) időtartamig;
legalább 1,5 millió forint, ha a vasúti társaság a tevékenységét 4 hónap (120 nap) időtartamig
folytatja,
ahol az
ST = az adott térségi, kisvasúti vagy múzeumvasúti, saját célú vasúti pályahálózaton, valamint iparvágányon a nem vasúti balesetből eredő felelősségi károk fedezeti összeghatára a tárgyévben,
stl = a tárgyévben tervezett utaslétszám.
Egy károsult személyre (utasra) eső fedezeti összeghatár (szublimit): legalább egy kárból egy személy esetében összesen 1 millió forint.

9. melléklet a 193/2016. (VII. 13.) Korm. rendelethez


Kockázatértékelési adatlap

A. Az indított személyszállító vonatok és a szállított utasok száma az utolsó három évben
Az adatokat az utolsó három évre kell megadni úgy, hogy az első oszlopban az utolsó három év kerüljön feltüntetésre soronként. A második oszlopban az adott évre vonatkozóan az indított személyszállító vonatok számát kell megadni. A harmadik oszlopban az adott évben szállított utasok összlétszámát kell megadni.

B. A nem vasúti balesetből származó, utasnak okozott károk száma és összege az utolsó három évben
Az adatokat az utolsó három évre kell megadni úgy, hogy az első oszlopban az utolsó három év kerüljön feltüntetésre soronként. A második oszlopban az adott évre vonatkozóan a nem vasúti balesetből származó, utasnak okozott károknak az adott évben előforduló összes számát kell megadni. A harmadik oszlopban a nem vasúti balesetből származó, utasnak okozott károk tekintetében az adott évben történt kifizetések összegét kell megadni forintban.

C. A késések és vonatkimaradások száma és az ezek miatt kifizetett kártérítések összege az utolsó három évben
Késések:
Az adatokat az utolsó három évre kell megadni úgy, hogy az első oszlopban az utolsó három év kerüljön feltüntetésre soronként. A második oszlopban az adott évre vonatkozóan a 60–120 percet késett személyszállító vonatok számát kell megadni. A harmadik oszlopban az adott évre vonatkozóan a 120 percet meghaladóan késett személyszállító vonatok számát kell megadni.
Vonatkimaradások:
Az adatokat az utolsó három évre kell megadni úgy, hogy az első oszlopban az utolsó három év kerüljön feltüntetésre soronként. A második oszlopban az adott évre vonatkozóan a kimaradt személyvonatok számát kell megadni.
Késésekre és vonatkimaradások miatt kifizetett kártérítések:
Az adatokat az utolsó három évre kell megadni úgy, hogy az első oszlopban az utolsó három év kerüljön feltüntetésre soronként. A második oszlopban az adott évre vonatkozóan a személyvonatok késése és vonatkimaradás miatt kifizetett kártérítések számát kell megadni. A harmadik oszlopban az adott évre vonatkozóan a személyvonatok késése és vonatkimaradás miatt kifizetett kártérítések összegét kell megadni forintban.

D. A tárgyévben üzemeltetni tervezett személyszállító vonatok száma és a tervezett utaslétszám
Az adatokat a tárgyévre vonatkozóan kell megadni úgy, hogy az első oszlopban a tárgyév kerüljön feltüntetésre évszámmal. A második oszlopban a tárgyévben üzemeltetni tervezett személyszállító vonatok számát kell megadni. A harmadik oszlopban a tárgyévben tervezett utaslétszámot kell megadni.”

10. melléklet a 193/2016. (VII. 13.) Korm. rendelethez


Az R6. 1. melléklet II. 30. sora helyébe a következő rendelkezés lép:

30.

A vasúti járműre, a vonatra, a vasúti pályára előírt sebesség túllépése a járműbe épített sebességmérő-eszköz (sebességregisztrátum) adatainak figyelmen kívül hagyásával:
a) 10–50%-kal:
b) 51–100% közötti értékkel:
c) 100% fölötti értékkel:
kivéve, ha 50 km/h sebesség alatt történő közlekedés esetén a járműbe épített sebességmérő (sebességregisztrátum) adatai alapján legfeljebb
5 km/h sebességeltérés történik.



Munkavállaló:
50 000
100 000
200 000

1

A rendelet a 2010: CXXX. törvény 12. § (3) bekezdése alapján hatályát vesztette 2016. július 29. napjával.

  • Másolás a vágólapra
  • Nyomtatás
  • Hatályos
  • Már nem hatályos
  • Még nem hatályos
  • Módosulni fog
  • Időállapotok
  • Adott napon hatályos
  • Közlönyállapot
  • Indokolás
Jelmagyarázat Lap tetejére