4/2009. (I. 10.) Korm. rendelet
4/2009. (I. 10.) Korm. rendelet
az agrár- és vidékfejlesztési állami támogatások Európai Bizottság részére történő bejelentési rendjéről1
A Kormány a mezőgazdasági, agrár-vidékfejlesztési, valamint halászati támogatásokhoz és egyéb intézkedésekhez kapcsolódó eljárás egyes kérdéseiről szóló 2007. évi XVII. törvény 81. § (1) bekezdés c) pontjában, valamint az államháztartásról szóló 1992. évi XXXVIII. törvény 124. § (2) bekezdés v) pontjában kapott felhatalmazás alapján, az Alkotmány 35. § (1) bekezdés b) pontjában meghatározott feladatkörében eljárva, a következőket rendeli el:
1. § E rendelet alkalmazásában:
1. agrár- és vidékfejlesztési állami támogatás: a mezőgazdasági, a halászati, az erdészeti, a vadgazdálkodási, valamint a vidékfejlesztési állami támogatás;
2. állami támogatás: az Európai Közösséget létrehozó Szerződés (a továbbiakban: EK-Szerződés) 87. cikkének (1) bekezdése szerinti támogatás;
3. általános csekély összegű (de minimis) rendelet: a Bizottság 1998/2006/EK rendelete (2006. december 15.) a Szerződés 87. és 88. cikkének a de minimis támogatásokra való alkalmazásáról;
4. általános csoportmentességi rendelet: a Bizottság 800/2008/EK rendelete (2008. augusztus 6.) a Szerződés 87. és 88. cikke alkalmazásában a támogatások bizonyos fajtáinak a közös piaccal összeegyeztethetőnek nyilvánításáról;
5. bejelentés: az állami támogatás EK-Szerződés 88. cikk (3) bekezdése szerinti bejelentése az Európai Bizottság részére;
6. diszkont kamatláb: a különböző években folyósított támogatások, illetve a több év alatt megvalósított projektek felmerült költségei jelenértékének kiszámításához használt kamatláb, amely egyenlő a referencia alapkamatláb 100 bázisponttal növelt értékével;
7. egyedi támogatás: a közösségi eljárási rendelet 1. cikk e) pontjában meghatározott támogatás;
8. egyéni referencia kamatláb: különösen a kedvezményes kamatú és kamatmentes kölcsönök, továbbá a változó kamatlábon alapuló kamattámogatások támogatástartalmának kiszámításához használt, a referencia alapkamatlábból számított, a hitelkockázattól függően eltérő összehasonlító kamatláb;
9. egyszerűsített bejelentés: a közösségi bejelentési eljárási rendelet 4. cikkében meghatározott eljárás;
10. elszámolható költségek: az egyes támogatási típusokra, illetve kategóriákra vonatkozó közösségi jogszabályokban és egyéb rendelkezésekben e címen meghatározott költségek;
11.2 erdészeti állami támogatás: az erdőről, az erdő védelméről és az erdőgazdálkodásról szóló törvényben meghatározott célok teljesítése érdekében végzett tevékenységekre nyújtott állami támogatás;
12. halászati állami támogatás: a halászati és akvakultúra-termékek piacának közös szervezéséről szóló (1999. december 17.) 104/2000/EK tanácsi rendelet 1. cikkében felsorolt tenger- vagy belvizekben halászott termékek, illetve akvakultúra-termékek előállításával, feldolgozásával és forgalmazásával kapcsolatos tevékenységekre nyújtott állami támogatás;
13. halászati csekély összegű (de minimis) rendelet: a Bizottság 875/2007/EK rendelete (2007. július 24.) az EK-Szerződés 87. és 88. cikkének a halászati ágazatban nyújtott csekély összegű (de minimis) támogatásokra való alkalmazásáról és az 1860/2004/EK rendelet módosításáról;
14. halászati csoportmentességi rendelet: a Bizottság 736/2008/EK rendelete (2008. július 22.) a Szerződés 87. és 88. cikkének a halászati termékek előállításával, feldolgozásával és forgalmazásával foglalkozó kis- és középvállalkozásoknak nyújtott állami támogatásokra történő alkalmazásáról;
15. jogellenes támogatás: a közösségi eljárási rendelet 1. cikk f) pontjában meghatározott támogatás;
16. közösségi bejelentési eljárási rendelet: a Bizottság 2004. április 21-i 794/2004/EK rendelete a Tanács EK-Szerződés 93. cikkének alkalmazására vonatkozó részletes szabályok megállapításáról szóló 659/1999/EK rendeletének végrehajtásáról;
17. közösségi eljárási rendelet: a Tanács 1999. március 22-i 659/1999/EK rendelete az EK-Szerződés 93. cikkének alkalmazására vonatkozó részletes szabályok megállapításáról;
18. létező támogatás: a Cseh Köztársaságnak, az Észt Köztársaságnak, a Ciprusi Köztársaságnak, a Lett Köztársaságnak, a Litván Köztársaságnak, a Magyar Köztársaságnak, a Máltai Köztársaságnak, a Lengyel Köztársaságnak, a Szlovén Köztársaságnak és a Szlovák Köztársaságnak az Európai Unióhoz történő csatlakozásáról szóló Szerződés IV. melléklet 4. pontja szerinti, valamint a közösségi eljárási rendelet 1. cikk b) pontjában meghatározott támogatás;
19. mezőgazdasági állami támogatás: a mezőgazdasági termékek elsődleges előállítására, a mezőgazdasági termékek feldolgozására vagy a mezőgazdasági termékek forgalmazására irányuló tevékenységekre nyújtott állami támogatás;
20. mezőgazdasági csekély összegű (de minimis) rendelet: a Bizottság 1535/2007/EK rendelete (2007. december 20.) az EK-Szerződés 87. és 88. cikkének a mezőgazdasági termelőágazatban nyújtott csekély összegű (de minimis) támogatásokra való alkalmazásáról;
21. mezőgazdasági csoportmentességi rendelet: a Bizottság 1857/2006/EK rendelete (2006. december 15.) a Szerződés 87. és 88. cikkének a mezőgazdasági termékek előállításával foglalkozó kis- és középvállalkozásoknak nyújtott állami támogatásokra történő alkalmazásáról és a 70/2001/EK rendelet módosításáról;
22. mezőgazdasági és vidékfejlesztési támogatási szerv: a mezőgazdasági, agrár-vidékfejlesztési, valamint halászati támogatásokhoz és egyéb intézkedésekhez kapcsolódó eljárás egyes kérdéseiről szóló 2007. évi XVII. törvényben (a továbbiakban: Tv.) meghatározottak szerinti szerv;
23. mezőgazdasági termékek: az EK-Szerződés I. Mellékletében felsorolt termékek a 104/2000/EK tanácsi rendelet hatálya alá tartozó halászati és akvakultúra-termékek kivételével; a 4502, a 4503 és a 4504 KN-kód alá tartozó termékek (parafatermékek); illetve az 1234/2007/EK tanácsi rendeletben említett, tejet és tejtermékeket utánzó vagy helyettesítő termékek;
24. mezőgazdasági termékek elsődleges előállítása: az EK-Szerződés I. Mellékletében felsorolt termékek a 104/2000/EK tanácsi rendelet hatálya alá tartozó halászati és akvakultúra-termékek kivételével; a 4502, a 4503 és a 4504 KN-kód alá tartozó termékek (parafatermékek); illetve az 1234/2007/EK tanácsi rendeletben említett, tejet és tejtermékeket utánzó vagy helyettesítő termékek elsődleges előállítására irányuló tevékenység;
25. mezőgazdasági termékek feldolgozása: a mezőgazdasági termékeken végzett minden olyan művelet, amelynél a művelet eredményeként létrejött termékek szintén mezőgazdasági termékeknek minősülnek, kivéve a gazdaságon belüli olyan tevékenységeket, amelyekkel az állati vagy növényi mezőgazdasági termékeket előkészítik az első alkalommal való értékesítésre;
26. mezőgazdasági termékek forgalmazása: a mezőgazdasági termékekre irányuló értékesítés, értékesítésre való felkínálás, leszállítás vagy bármely más módon történő forgalmazás céljából való birtoklás vagy bemutatás, kivéve az elsődleges mezőgazdasági termelő által a viszonteladóknak vagy feldolgozóknak való első értékesítést és bármely olyan tevékenységet, amely a mezőgazdasági termékeket ilyen első értékesítésre előkészíti; az elsődleges mezőgazdasági termelő által a végső fogyasztónak való értékesítés akkor minősül mezőgazdasági termékek forgalmazásának, ha ez a tevékenység külön erre a célra fenntartott helyiségben történik;
27. pályázati felhívás: támogatási program végrehajtása érdekében megjelentetett felhívás a támogatási programban való részvételre;
28. referencia alapkamatláb: az egyéni referencia kamatláb, a diszkont kamatláb és a visszafizettetési kamatláb alapja;
29. támogatástartalom: a kedvezményezett számára nyújtott állami támogatás forint fizetőeszközben számolt támogatási egyenértéke;
30. támogatási intenzitás: a támogatástartalom és az elszámolható költségek jelenértékének hányadosa, százalékos formában kifejezve;
31. támogatási program: a közösségi eljárási rendelet 1. cikk d) pontjában meghatározott támogatás;
32. támogatással való visszaélés: a közösségi eljárási rendelet 1. cikk g) pontjában megnevezett magatartás;
33. támogatás nyújtásáról döntő szerv: az egyedi támogatás odaítéléséről döntő vagy a támogatási program, illetve a pályázati felhívás elkészítéséért felelős szerv vagy személy;
34. új támogatás: a közösségi eljárási rendelet 1. cikk c) pontjában meghatározott támogatás;
35. vadgazdálkodási állami támogatás: a vad védelméről, a vadgazdálkodásról, valamint a vadászatról szóló 1996. évi LV. törvényben meghatározott célok teljesítése érdekében végzett tevékenységekre nyújtott állami támogatás;
36. vidékfejlesztési állami támogatás: az Európai Mezőgazdasági Vidékfejlesztési Alapból (EMVA) nyújtandó vidékfejlesztési támogatásról szóló 1698/2005/EK tanácsi rendelet (2005. szeptember 20.) 88. és 89. cikkei szerinti állami támogatás;
37. visszafizettetési kamatláb: az Európai Bizottság által a közösségi bejelentési eljárási rendelet 9. cikkében foglaltak alapján megállapított, a jogellenesnek minősített támogatás esetén alkalmazott késedelmi kamatláb.
2. § E rendelet hatálya az agrár- és vidékfejlesztési állami támogatásokra és az azok folyósításával kapcsolatos intézkedésekre, a támogatás nyújtásáról döntő szervekre, a mezőgazdasági és vidékfejlesztési támogatási szervre, a támogatások kedvezményezettjeire és ezen támogatások Európai Bizottság (a továbbiakban: Bizottság) részére történő bejelentésében közreműködő szervezetekre terjed ki.
3. § (1) E rendelet hatálya alá tartozó, a (2) bekezdésben részletezett támogatások közösségi szabályoknak való megfelelésének vizsgálatával és a Bizottság részére történő bejelentésével kapcsolatos feladatokat az agrárpolitikáért felelős miniszter (a továbbiakban: miniszter) látja el.
(2) Az (1) bekezdésben meghatározott feladatok
a) a rendelet hatálya alá tartozó létező támogatásnak minősülő állami támogatások bejelentésével, egyszerűsített bejelentésével,
b) e rendelet hatálya alá tartozó új állami támogatások bejelentésével, egyszerűsített bejelentésével, továbbá
c) a mezőgazdasági, a halászati, illetve az általános csoportmentességi rendeletekben foglaltak alapján a Bizottság tájékoztatásával, és
d) a mezőgazdasági, a halászati, illetve az általános csekély összegű (de minimis) rendeletek hatálya alá tartozó agrár- és vidékfejlesztési állami támogatásokkal
kapcsolatos ügyek intézésére terjednek ki.
(3) A létező támogatásokat érintő, a közösségi bejelentési eljárási rendelet 4. cikk 2. bekezdése szerinti változtatások egyszerűsített bejelentést vonnak maguk után, amelyet a miniszter részére történő tájékoztatást követően a közösségi bejelentési eljárási rendelet II. mellékletében szereplő egyszerűsített bejelentési nyomtatvány kitöltése után, annak a Bizottság részére történő továbbításával a miniszter elvégez.
(4) A rendelet hatálya alá tartozó támogatások módosításának, vagy új állami támogatásoknak a tervezeteiről a támogatás nyújtásáról döntő szervnek – az 1. számú melléklet szerinti formanyomtatványon papír alapú és elektronikus formában – előzetesen kell tájékoztatnia a minisztert, amely az (1) bekezdésben meghatározott vizsgálattól függően intézkedik a bejelentést illetően.
(5) A miniszter a támogatás közösségi jogszabályokkal való összhangjának megítélése érdekében, valamint a bejelentés végrehajtásához az általa megadott formában, határidő tűzésével további információkat kérhet a támogatás nyújtásáról döntő szervtől, amelyeket az köteles a megadott határidőben rendelkezésre bocsátani.
(6) A referencia alapkamatlábról, a diszkont kamatlábról és a visszafizettetési kamatlábról a Bizottság hivatalos értesítését követően az államháztartásért felelős miniszter közleményt ad ki, illetve azt az államháztartásért felelős miniszter által vezetett minisztérium honlapján közzéteszi.
4. § (1) A miniszter az általa teljesnek ítélt információk alapján a – támogatás nyújtásáról döntő szerv 3. § (4) bekezdésében meghatározott tájékoztatása szerinti – támogatást a tájékoztatás kézhezvételétől számított harminc napon belül megvizsgálja. A vizsgálat alapján a 3. § (2) bekezdés a) és b) pontja alá tartozó, állami támogatásnak minősülő, a közösségi szabályozás alapján a Bizottságnak történő bejelentésre alkalmasnak ítélt támogatásokat – figyelembe véve a (3)–(5) bekezdésekben foglaltakat is – a Bizottság részére bejelenti a vonatkozó közösségi szabályokban és a közösségi bejelentési eljárási rendelet 3. cikkében foglaltak figyelembevétele mellett.
(2) Amennyiben a Bizottság a bejelentett támogatásokkal kapcsolatban kiegészítő információkat kér, a miniszter, vagy felkérésére a miniszter által megadott határidőre a támogatás nyújtásáról döntő szerv köteles ezeket összeállítani, és ezeket a miniszter a közösségi bejelentési eljárási rendelet 8. cikkében foglaltak figyelembevétele mellett továbbítja a Bizottságnak.
(3) Amennyiben a támogatás nyújtásáról döntő szerv 3. § (4) bekezdésében meghatározott tájékoztatása szerinti támogatás a közösségi joggal nincs összhangban, a miniszter köteles ezt a támogatás nyújtásáról döntő szerv tudomására hozni, és ebben az esetben a miniszter jogosult a Bizottság részére történő bejelentés megtagadására, valamint a támogatás közösségi joggal való összhangjának megteremtése érdekében történő javaslattételre.
(4)3 Ha a támogatás nyújtásáról döntő szerv a (3) bekezdésben foglalt javaslatot vitatja, és a támogatást az eredeti formában kívánja működtetni, a miniszterhez fordulhat. Ebben az esetben ha a támogatás nyújtásáról döntő szerv írásban kéri, a miniszter köteles tizenöt napon belül a Kormány döntését kérni a támogatás Bizottság részére történő bejelentéséről. A Kormány köteles a döntését harminc napon belül meghozni.
(5) Amennyiben a támogatás a 3. § (4) bekezdésében meghatározott tájékoztatási kötelezettség elmulasztása mellett kerül bevezetésre, a miniszter köteles – amennyiben erről a tényről tudomást szerez – a jogellenes támogatásról utólagos tájékoztatást, valamint a támogatás működtetésének felfüggesztését kérni a támogatás nyújtásáról döntő szervtől addig az időpontig, amíg a miniszter – csekély összegű (de minimis) támogatás esetén – a támogatásra vonatkozó vizsgálatot és – csoportmentességi rendelet hatálya alá tartozó támogatás esetén – a Bizottság felé történő tájékoztatást elvégzi, illetve amíg – bejelentés esetén – a Bizottság vonatkozó döntését kézhez nem kapja.
(6) Az (5) bekezdésben foglalt esetben a támogatás nyújtásáról döntő szerv köteles a támogatás működtetését felfüggeszteni.
(7) Az (5) bekezdésben jelzett támogatások Bizottságnak történő bejelentését követően – amennyiben a Bizottság a közösségi eljárási rendelet alapján elrendeli a támogatás visszafizetését – a miniszter kezdeményezésére a támogatás nyújtásáról döntő szerv köteles a támogatás visszafizetését a visszafizettetési kamatláb alapján megnövelt összegben elrendelni. A jogellenes támogatás adók módjára behajtandó köztartozásnak minősül.
(8) A (7) bekezdésben foglaltak nem vonatkoznak a Tv. hatálya alá tartozó szervek által teljesített kifizetésekre.
(9) Amennyiben a támogatás nyújtásáról döntő szerv támogatással való visszaélést észlel, köteles intézkedéseket hozni a jogellenes magatartás megszüntetése, a jogosulatlanul igénybe vett támogatás visszafizettetési kamatláb alapján megnövelt összegben történő visszafizettetése vagy az egyéb szükséges intézkedések megtétele céljából.
(10) A jogellenes támogatás és a támogatással való visszaélés esetében a visszatérítésre vonatkozóan figyelembe kell venni a közösségi eljárási rendelet 15. és 16. cikkében foglalt határidőket.
(11) A támogatás visszatérítésekor alkalmazandó kamat megállapításakor a közösségi bejelentési eljárási rendelet 9–11. cikkében foglaltak az irányadóak.
(12) A Bizottság megkeresésére a miniszter a támogatás nyújtásáról döntő szervet további adatszolgáltatásra, nyilatkozattételre kötelezheti, amelyet az a miniszter által megadott határidőben és formában köteles a miniszter részére megtenni.
5. § (1) Amennyiben a miniszter megállapítja, hogy a támogatás nyújtásáról döntő szerv 3. § (4) bekezdésében meghatározott tájékoztatása szerinti támogatás a mezőgazdasági, a halászati, illetve az általános csoportmentességi rendeletek vagy a mezőgazdasági, a halászati, illetve az általános csekély összegű (de minimis) rendeletek valamelyikének hatálya alá tartozik, a miniszter erről értesíti a támogatás nyújtásáról döntő szervet.
(2)4 A miniszter
a) a mezőgazdasági csoportmentességi rendelet hatálya alá tartozó támogatások esetében a mezőgazdasági csoportmentességi rendelet 20. cikk (1) bekezdésében hivatkozott információkat az előírt határidőben,
b) a halászati csoportmentességi rendelet hatálya alá tartozó támogatások esetében a halászati csoportmentességi rendelet 25. cikk (1) bekezdésében hivatkozott információkat az előírt határidőben,
c) az általános csoportmentességi rendelet hatálya alá tartozó támogatások esetében az általános csoportmentességi rendelet 9. cikk (1) bekezdésében hivatkozott információkat az előírt határidőben,
d) a mezőgazdasági, a halászati és az általános csekély összegű (de minimis) rendeletek hatálya alá tartozó agrár- és vidékfejlesztési állami támogatások esetében a mezőgazdasági, a halászati és az általános csekély összegű (de minimis) rendeletek alkalmazásával kapcsolatos, a Mezőgazdasági és Vidékfejlesztési Hivatal (a továbbiakban: MVH) által működtetett nyilvántartási rendszer alapján összeállított információkat írásbeli kérelemre
továbbítja a Bizottság részére.
(3) A (2) bekezdés d) pontjában meghatározott nyilvántartási rendszerben szereplő adatok, a (4) bekezdés b) pontja alapján szolgáltatott adatok, valamint a mezőgazdasági, a halászati és az általános csekély összegű (de minimis) rendeletek által előírt, kedvezményezettek által tett nyilatkozatok alapján – az agrár- és vidékfejlesztési állami támogatások kedvezményezettjei vonatkozásában – az MVH ellenőrzi, hogy egy kedvezményezettre vonatkozóan bármely hároméves időszakot tekintve
a) a mezőgazdasági, a halászati és az általános csekély összegű (de minimis) támogatás jogcímeken az 1535/2007/EK bizottsági rendelet 3. cikk (2) bekezdésében, a 875/2007/EK bizottsági rendelet 3. cikk (2) bekezdésében, illetve az 1998/2006/EK bizottsági rendelet 2. cikk (2) bekezdésében meghatározott összegek ne kerüljenek túllépésre, továbbá
b) a mezőgazdasági és a halászati csekély összegű (de minimis) támogatások halmozott összegei ne haladják meg a vonatkozó rendeletek mellékleteiben Magyarország számára meghatározott összegeket.
(4) Az általános csekély összegű (de minimis) rendelet hatálya alá tartozó agrár- és vidékfejlesztési állami támogatások kedvezményezettjei vonatkozásában a (2) bekezdés d) pontjában meghatározott nyilvántartási rendszer működtetése céljából
a) a mezőgazdasági és vidékfejlesztési támogatási szerv – ha az adott szerv az adat kezelésére törvény alapján egyébként jogosult – tájékoztatja a nem nyilvános agrár- és vidékfejlesztési állami támogatási adatokról a Magyar Államkincstárt (a továbbiakban: Kincstár) 217/1998. (XII. 30.) Korm. rendeletben (a továbbiakban: Ámr.) szabályozott módon az általános csekély összegű (de minimis) rendelet végrehajtásához kapcsolódóan,
b) a Kincstár az általa működtetett kincstári monitoring rendszer alapján adatot szolgáltat kedvezményezetti bontásban az Ámr.-ben szabályozott módon a mezőgazdasági és vidékfejlesztési támogatási szerv adatszolgáltatásában szereplő – az általános csekély összegű (de minimis) rendelet hatálya alá tartozó agrár- és vidékfejlesztési állami támogatásban részesülő – kedvezményezettekről az MVH részére.
(5) Amennyiben az MVH az általa vezetett, (2) bekezdés d) pontjában meghatározott nyilvántartási rendszer szerinti adatok alapján észleli, hogy az adott kedvezményezett vonatkozásában a (3) bekezdésben meghatározott feltételek a nyújtani tervezett agrár- és vidékfejlesztési állami támogatás vonatkozásában nem teljesülnek az MVH megtagadja a tervezett támogatás nyújtását.
(6) A mezőgazdasági, a halászati, illetve az általános csoportmentességi rendeletek vagy a mezőgazdasági, a halászati, illetve az általános csekély összegű (de minimis) rendeletek hatálya alá tartozó támogatások esetében a támogatás nyújtásáról döntő szerv köteles biztosítani, hogy a vonatkozó rendeletek átláthatóság és ellenőrzésre vonatkozó cikkeiben foglalt feltételek a támogatások nyilvántartásával kapcsolatban teljesüljenek.
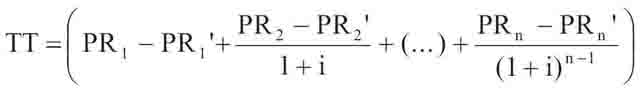
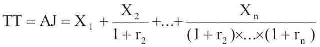
(7) Az e rendelet hatálya alá tartozó támogatási konstrukciók támogatástartalmának kiszámítását – az adott konstrukcióra vonatkozó külön rendelkezés hiányában – e rendelet 2. számú melléklete szerint kell elvégezni. A támogatás nyújtásáról döntő szervek – az egyes konstrukciókra vonatkozóan külön jogszabályokban előírt támogatási intenzitás betartása érdekében – kötelesek a konstrukció keretében a kedvezményezettet a részére nyújtott támogatástartalomról tájékoztatni és a kedvezményezettenkénti támogatástartalomról nyilvántartást vezetni.
(8) Amennyiben egy agrár- és vidékfejlesztési állami támogatás a 3. § (2) bekezdés d) pontjában foglalt mezőgazdasági, halászati, vagy általános csekély összegű (de minimis) rendeletek valamelyikének hatálya alá tartozik, a támogatás nyújtásáról döntő szerv köteles az ilyen címen juttatott támogatás jogcíméről és támogatástartalmáról a kedvezményezettet írásban értesíteni. A (2) bekezdés d) pontjában megnevezett nyilvántartási rendszer működésének biztosításához a támogatás nyújtásáról döntő szerv a kedvezményezett részére szóló értesítés egy másolatát papír alapon, illetve elektronikus formában köteles a mezőgazdasági, a halászati és az általános csekély összegű (de minimis) rendeletek hatálya alá tartozó agrár- és vidékfejlesztési állami támogatások esetében az MVH részére is, valamint az általános csekély összegű (de minimis) rendelet hatálya alá tartozó agrár- és vidékfejlesztési állami támogatások esetében az Ámr.-ben szabályozott módon külön a Kincstár részére is megküldeni. Az MVH az általa vezetett nyilvántartási rendszer tartalmát a miniszter írásbeli kérésére rendelkezésre bocsátja, illetve abból adatot szolgáltat.
(9) Amennyiben a kedvezményezett részben vagy egészben ugyanazon elszámolható költségek vonatkozásában bármilyen más forrásból is igényel támogatást, köteles a támogatás nyújtásáról döntő szervet tájékoztatni a részére más forrásból igényelt, illetve biztosított, állami támogatást is megtestesítő kedvezmény (7) bekezdés szerint számított támogatástartalmáról.
6. § (1) Az e rendelet hatálya alá tartozó támogatásokkal kapcsolatos, a közösségi eljárási rendelet 21. cikkének (1) bekezdésében foglaltak alapján készített éves jelentés elkészítéséhez a támogatás nyújtásáról döntő szervek kötelesek a szükséges információkat a miniszter által meghatározott határidőben és formában rendelkezésre bocsátani.
(2) A miniszter az éves jelentéstételi kötelezettségét a közösségi bejelentési eljárási rendelet 5. cikkében meghatározott módon, és a 6. cikk (1) bekezdésében jelzett határidő betartásával köteles teljesíteni a Bizottság részére.
7. § (1) Ez a rendelet a kihirdetését követő nyolcadik napon lép hatályba, rendelkezéseit a hatálybalépését követően indult eljárásokban kell alkalmazni.
(2)5
(3) Ez a rendelet az alábbi közösségi jogszabályok egyes rendelkezéseinek alkalmazásához szükséges intézkedéseket állapítja meg:
a) a Tanács 1999. március 22-i 659/1999/EK rendelete az EK-Szerződés 93. cikkének alkalmazására vonatkozó részletes szabályok megállapításáról;
b) a Tanács 2005. szeptember 20-i 1698/2005/EK rendelete az Európai Mezőgazdasági Vidékfejlesztési Alapból (EMVA) nyújtandó vidékfejlesztési támogatásról;
c) a Bizottság 2004. április 21-i 794/2004/EK rendelete a Tanács EK-Szerződés 93. cikkének alkalmazására vonatkozó részletes szabályok megállapításáról szóló 659/1999/EK rendeletének végrehajtásáról;
d) a Bizottság 2006. december 15-i 1857/2006/EK rendelete a Szerződés 87. és 88. cikkének a mezőgazdasági termékek előállításával foglalkozó kis- és középvállalkozásoknak nyújtott állami támogatásokra történő alkalmazásáról és a 70/2001/EK rendelet módosításáról;
e) a Bizottság 2008. július 22-i 736/2008/EK rendelete a Szerződés 87. és 88. cikkének a halászati termékek előállításával, feldolgozásával és forgalmazásával foglalkozó kis- és középvállalkozásoknak nyújtott állami támogatásokra történő alkalmazásáról;
f) a Bizottság 2008. augusztus 6-i 800/2008/EK rendelete a Szerződés 87. és 88. cikke alkalmazásában a támogatások bizonyos fajtáinak a közös piaccal összeegyeztethetőnek nyilvánításáról;
g) a Bizottság 2007. december 20-i 1535/2007/EK rendelete az EK-Szerződés 87. és 88. cikkének a mezőgazdasági termelőágazatban nyújtott csekély összegű (de minimis) támogatásokra való alkalmazásáról;
h) a Bizottság 2007. július 24-i 875/2007/EK rendelete az EK-Szerződés 87. és 88. cikkének a halászati ágazatban nyújtott csekély összegű (de minimis) támogatásokra való alkalmazásáról és az 1860/2004/EK rendelet módosításáról;
i) a Bizottság 2006. december 15-i 1998/2006/EK rendelete a Szerződés 87. és 88. cikkének a de minimis támogatásokra való alkalmazásáról;
j) a Bizottság közleménye a referencia-kamatláb és a leszámítolási kamatláb megállapítási módjának módosításáról (2008/C 14/02).
1. számú melléklet a 4/2009. (I. 10.) Korm. rendelethez
Sor- |
Általános szempontok |
Magyarázó |
|
|---|---|---|---|
1. |
Az agrár- és vidékfejlesztési állami támogatási konstrukció megnevezése |
|
|
2. |
A támogatás nyújtásáról döntő szerv megnevezése |
|
|
3. |
A támogatást folyósító szerv megnevezése |
|
|
4. |
Nemzeti vagy regionális program |
|
|
5. |
Támogatási program/támogatási programon alapuló támogatás, amelyet egyedileg kell bejelenteni a Bizottság részére/nem támogatási programon alapuló egyedi támogatás |
|
|
6. |
Létező támogatás helyébe lép, vagy annak módosítása, vagy új támogatás |
|
|
7. |
A támogatás elsődleges célja és másodlagos célja(i) |
|
|
8. |
A támogatás leírása: |
|
|
|
– |
a kedvezményezettek köre |
|
|
– |
formája (vissza nem térítendő/visszatérítendő támogatás, kedvezményes kamatozású hitel, kamattámogatás, adókedvezmény, kezességvállalás, árfolyamgarancia stb.) |
|
|
– |
az egyedi támogatás odaítélésének időpontja/támogatási program időtartama |
|
|
– |
feltételei |
|
|
– |
a támogatás minimális/maximális összege és mértéke a támogatási intenzitás, illetve a támogatástartalom maximális mértékében vagy összegében kifejezve |
|
|
– |
a saját forrás mértéke |
|
|
– |
az elszámolható költségek köre |
|
|
– |
mely ágazatokra (TEÁOR) terjed ki |
|
|
– |
egyéb információk |
|
9. |
A támogatás/támogatástervezet jogi alapja(i) (kérjük, csatolja ennek másolatát) |
|
|
10. |
Tartalmaz-e a program “működési támogatást”? |
|
|
11. |
Kapcsolódik-e a támogatás valamilyen módon exporttevékenységhez? |
|
|
12. |
Tartalmaz-e a program rendelkezéseket a támogatás halmozódásának (kumulációjának) korlátozására? |
|
|
13. |
Illetékes kapcsolattartó elérhetőségei |
|
|
14. |
Egyéb információk |
|
|
2. számú melléklet a 4/2009. (I. 10.) Korm. rendelethez





A rendeletet a 353/2012. (XII. 13.) Korm. rendelet 27. §-a hatályon kívül helyezte 2012. december 21. napjával.
Az 1. § 11. pontja a 182/2009. (IX. 10.) Korm. rendelet 664. §-a szerint módosított szöveg. E módosító rendelet 687. § (1) bekezdése alapján a rendelkezést a 2009. október 1. napját követően indult vagy megismételt eljárásokban kell alkalmazni.
A 4. § (4) bekezdése a 182/2009. (IX. 10.) Korm. rendelet 664. §-a szerint módosított szöveg. E módosító rendelet 687. § (1) bekezdése alapján a rendelkezést a 2009. október 1. napját követően indult vagy megismételt eljárásokban kell alkalmazni.
Az 5. § (2) bekezdése a 182/2009. (IX. 10.) Korm. rendelet 663. §-ával megállapított szöveg. E módosító rendelet 687. § (1) bekezdése alapján a rendelkezést a 2009. október 1. napját követően indult vagy megismételt eljárásokban kell alkalmazni.
A 7. § (2) bekezdését a 182/2009. (IX. 10.) Korm. rendelet 665. §-a hatályon kívül helyezte. E módosító rendelet 687. § (1) bekezdése alapján a rendelkezést a 2009. október 1. napját követően indult vagy megismételt eljárásokban kell alkalmazni.
- Hatályos
- Már nem hatályos
- Még nem hatályos
- Módosulni fog
- Időállapotok
- Adott napon hatályos
- Közlönyállapot
- Indokolás
