• Tartalom

6/2008. (I. 17.) FVM rendelet

6/2008. (I. 17.) FVM rendelet

a Magyar Élelmiszerkönyv közösségi előírások átvételét megvalósító kötelező előírásairól szóló 56/2004. (IV. 24.) FVM rendelet módosításáról1

2010.03.27.

Az élelmiszerekről szóló 2003. évi LXXXII. törvény 20. §-ának (5) bekezdésében foglalt felhatalmazás alapján – a szociális és munkaügyi miniszterrel egyetértésben – a következőket rendelem el:

1. § A Magyar Élelmiszerkönyv közösségi előírások átvételét megvalósító kötelező előírásairól szóló 56/2004. (IV. 24.) FVM rendelet (a továbbiakban: R.) Melléklete az e rendelet mellékletében foglaltak szerint módosul.

2. § Az R. Mellékletének 17. sora szerinti „Az élelmiszerrel érintkezésbe kerülő regenerált cellulózfilmek” 1-2-93/10 számú előírás 2. kiadásának 6. §-a helyébe a következő szövegrész lép:

6. § Ez az előírás az élelmiszerekkel rendeltetésszerűen érintkezésbe kerülő regenerált cellulózfilmből készült anyagokról és tárgyakról szóló, 2007. június 29-i 2007/42/EK bizottsági irányelvnek való megfelelést szolgálja.”

3–6. §2

7. § (1) Ez a rendelet a kihirdetését követő 8. napon lép hatályba.

(2)3

8. § (1) Ez a rendelet a következő közösségi jogi aktusoknak való megfelelést szolgálja:

a) a Bizottság 2007/19/EK irányelve (2007. március 30.) az élelmiszerekkel rendeltetésszerűen érintkezésbe kerülő műanyagokról és műanyag tárgyakról szóló 2002/72/EK irányelv és az élelmiszerekkel rendeltetésszerűen érintkezésbe kerülő műanyagok és műanyag tárgyak komponensei kioldódásának vizsgálatához alkalmazandó élelmiszer-utánzó modellanyagok listájának megállapításáról szóló 85/572/EGK tanácsi irányelv módosításáról,

b) a Bizottság 2007/42/EK irányelve (2007. június 29.) az élelmiszerekkel rendeltetésszerűen érintkezésbe kerülő regenerált cellulózfilmből készült anyagokról és tárgyakról.

(2) Ez a rendelet az E 128 Vörös 2G élelmiszer-színezékként történő felhasználását felfüggesztő sürgősségi intézkedésekről szóló, 2007. július 26-i 884/2007/EK bizottsági rendelet végrehajtását szolgálja.

Melléklet a 6/2008. (I. 17.) FVM rendelethez4


1. Az R. Mellékletének 17. sora helyébe a következő szövegrész lép:

[Sor-
szám

Magyar
Élelmiszerkönyv
előírás jele

Magyar Élelmiszerkönyv előírás címe

Irányadó közösségi előírás száma

Kötelező alkalmazás
időpontja]

„17.

1-2-93/10

Az élelmiszerrel érintkezésbe
kerülő regenerált cellulózfilmek
(2. kiadás)

A Bizottság 93/10/EGK irányelve, valamint az ezt módosító, a Bizottság 93/111/EGK és 2004/14/EK irányelvei, valamint az azokat felváltó 2007/42/EK irányelv

2005. július 1.”


2. Az R. Melléklete a következő 69. sorral egészül ki:

[Sor-
szám

Magyar
Élelmiszerkönyv
előírás jele

Magyar Élelmiszerkönyv előírás címe

Irányadó közösségi előírás száma

Kötelező alkalmazás
időpontja]

„69.

1-2-2007/19

Az élelmiszerekkel rendeltetésszerűen érintkezésbe kerülő műanyagokról és műanyag tárgyakról szóló 2002/72/EK irányelv és az élelmiszerekkel rendeltetésszerűen érintkezésbe kerülő műanyagok és műanyag tárgyak komponensei kioldódásának vizsgálatához alkalmazandó élelmiszer-utánzó modellanyagok listájának megállapításáról szóló 85/572/EGK tanácsi irányelv módosításáról

A Bizottság 2007/19/EK irányelve

2008. április 1.”



Az 56/2004. (IV. 24.) FVM rendelet mellékletének 69. sorszámú előírása

MAGYAR ÉLELMISZERKÖNYV
(Codex Alimentarius Hungaricus)

1-2-2007/19 számú előírás

Az élelmiszerekkel rendeltetésszerűen érintkezésbe kerülő műanyagok és műanyag tárgyak minőségi követelményeiről szóló 1-2-2002/72 számú előírás és az élelmiszerekkel érintkezésbe kerülő műanyagok és a műanyag tárgyak komponenseinek kioldási vizsgálatairól szóló 1-2-82/711 számú előírás módosításáról

A Magyar Élelmiszerkönyv (a továbbiakban: MÉ) 1-2-2002/72 számú előírás 1–9. §-ai helyébe következő rendelkezések lépnek:

(1) Ez az előírás a műanyagokra és műanyag tárgyakra, mint az 1935/2004/EK rendelet szerinti, élelmiszerekkel rendeltetésszerűen érintkezésbe kerülő anyagokra, illetve tárgyakra vonatkozó előírásokat tartalmazza.
(2) Ezt az előírást azon műanyagokra és műanyag tárgyakra kell alkalmazni, amelyek késztermékként a rendeltetésszerű felhasználás során élelmiszerekkel érintkezésbe szántak:
a) kizárólag műanyagból álló anyagok és tárgyak és azok részei,
b) többrétegű műanyagok és műanyag tárgyak,
c) fedéltömítést alkotó műanyag rétegek vagy műanyag bevonatok, amelyek együtt két vagy több rétegéből álló különböző típusú anyagok.
(3) Ezen előírás szempontjából a „műanyag” szerves makromolekulákat jelent, amelyeket polimerizációval, polikondenzációval, poliaddícióval vagy más hasonló eljárással kisebb molekulatömegű molekulákból vagy a természetes makromolekulák kémiai átalakításával állítottak elő. Az ilyen makromolekulákhoz más vegyületek vagy anyagok hozzáadhatók. Nem tekintendők azonban műanyagoknak a következők:
a) lakkozott vagy lakkozatlan cellulóz fóliák az MÉ 1-2-93/10 számú előírása szerint,
b) elasztikus anyagok, természetes és műgumik,
c) papír és papírlemez műanyaggal módosítva vagy anélkül,
d) bevonóanyagok:
1. paraffinviaszok, beleértve a szintetikus paraffinviaszokat, illetve mikrokristályos viaszokat,
2. az első bekezdésben felsorolt viaszok egymással, illetve műanyaggal,
e) ioncserélő gyanták,
f) szilikonok.
(4) A (2) bekezdés c) pontjának sérelme nélkül, ez az előírás nem vonatkozik a két vagy több műanyag rétegből álló olyan anyagokra és tárgyakra, ahol egy vagy több réteg nem kizárólag műanyag, még akkor sem, ha az élelmiszerekkel rendeltetésszerűen érintkezésbe kerülő réteg kizárólag műanyag.
(5) Az előírás alkalmazásában:
a) ,,többrétegű műanyagok vagy műanyag tárgyak”: két vagy több anyagrétegből álló műanyagok vagy műanyag tárgyak, amelyek mindegyike kizárólag műanyagból készül és amelyek ragasztóval vagy másként vannak egymáshoz rögzítve,
b) ,,funkcionális műanyaggát”: egy vagy több műanyag rétegből álló gát, amely biztosítja, hogy a kész anyag vagy termék megfeleljen az 1935/2004/EK rendelet 3. §-ának és ezen előírásnak,
c) ,,zsírszegény élelmiszer”: olyan élelmiszer, amelynél a kioldódási vizsgálathoz az MÉ 1-2-82/711 számú előírás a „D” modellanyagtól különböző modellanyagokat ír elő.

(1) A műanyagokból és műanyag tárgyakból az élelmiszerekbe kioldódó anyagok mennyisége nem haladhatja meg a 60 milligrammot az élelmiszer vagy a modellanyag egy kilogrammjára számítva (mg/kg) (összkioldódási határérték). Ez a határérték a következő esetekben azonban a műanyag vagy műanyag tárgy felszínének egy négyzetdeciméterére számítva 10 milligramm (mg/dm2):
a) tartályok vagy tartályként használható edények, illetve megtölthető tárgyak esetén, ha azok térfogata 500 milliliternél (ml) kisebb vagy 10 liternél (l) nagyobb,
b) lap, fólia vagy más olyan műanyagok vagy műanyag tárgyak esetén, amelyek nem tölthetők meg vagy amelyeknél gyakorlatilag lehetetlen felbecsülni az ilyen anyag vagy tárgy felszíne és a vele érintkezésbe kerülő élelmiszer mennyisége közötti arányt.
(2) A 23/2003. (V. 9.) ESZCSM rendelet, illetve a 35/2004. (IV. 26.) ESZCSM rendelet szerint csecsemőknek és kisgyermekeknek szánt élelmiszerekkel rendeltetésszerűen érintkezésbe kerülő vagy ilyenekkel már érintkezésben lévő műanyagok és műanyag tárgyak esetében az összkioldódási határérték mindig 60 mg/kg.
(3) A kioldódási (migrációs) határértékeknek való megfelelés ellenőrzésekor alkalmazandó rendelkezéseket az 1. számú melléklet tartalmazza.

(1) Csak a 2. számú melléklet A) részében felsorolt monomerek és kiindulási anyagok használhatók a műanyagok és műanyag eszközök előállítására az ott részletezett korlátozásokkal.
(2) Az (1) bekezdéstől eltérően a 2. számú melléklet B) részében felsorolt monomerek és kiindulási anyagok felhasználhatók, amíg az Európai Élelmiszerbiztonsági Hatóság (a továbbiakban: Hatóság) nem értékeli azokat.
(3) A 2. számú melléklet A) és B) része nem tartalmazza azokat a monomereket és kiindulási anyagokat, amelyek csak a következők készítésére használatosak:
a) gyantából vagy polimerizált termékekből nyert felületkezelők, folyadék-, por- vagy diszperziós formában, valamint lakkok, kencék, festékek stb.,
b) epoxigyanták,
c) ragasztók és promotereik (gyorsítóik),
d) nyomdafestékek.

(1) A műanyagok és műanyag eszközök gyártásához felhasználható adalékanyagokat a használatukra vonatkozó korlátozásokkal, illetve előírásokkal együtt a 3. számú melléklet tartalmazza.
(2) A 3. számú melléklet B) részében felsorolt adalékanyagokra a specifikus kioldási határértékeknek való megfelelést az MÉ 1-2-82/711 számú előírás 3. §-ában megadott D modell oldatban vagy a helyettesítő vizsgálatok vizsgálati közegeiben 2008. május 1-jétől kell alkalmazni.
(3) A 3. számú melléklet A) és B) részében levő listák nem tartalmazzák:
a) azokat az adalékanyagokat, amelyeket csak az alábbiak gyártásához használnak:
1. gyantából vagy polimerizált termékekből nyert felületkezelők, folyadék-, por- vagy diszperziós formában, valamint lakkok, kencék, festékek stb.,
2. epoxigyanták,
3. ragasztók és promotereik (gyorsítóik),
4. nyomdafestékek,
b) a színezékeket, és
c) az oldószereket.
(4) Az (1) bekezdés szerinti listára új adalékanyag felvehető, ha biztonságosságát a Hatóság megállapította.
(5) Az Európai Gazdasági Térség valamely tagállamában forgalomban lévő adalékanyagnak az (1) bekezdés szerinti listára való felvétele iránti kérelmet kell benyújtani a Hatósághoz, az adalékanyag biztonságosságának a Hatóság által történő értékeléséhez szükséges adatok egyidejű megadásával. A szükséges adatok benyújtásához a kérelmezőnek figyelembe kell vennie a Hatóságnak az élelmiszerekkel érintkezésbe kerülő anyagokban felhasználható anyagok biztonsági értékelése iránti kérelem benyújtására vonatkozó útmutatóját.
(6) Ha az (5) bekezdés szerinti adatok elbírálásánál a Hatóság kiegészítő információkat kér, az adalékanyag továbbra is használható a nemzeti előírások alapján, mindaddig, amíg a Hatóság véleményt nem mond, feltéve, hogy az információkat a Hatóság által meghatározott határidőn belül benyújtották.
(7) Az 1. § (2) bekezdésének c) pontjában említett, fedelekben használt műanyag rétegek vagy műanyag bevonatok gyártásához használt adalékanyagok tekintetében a következő szabályok vonatkoznak:
a) A 4. § (2) bekezdésének sérelme nélkül, a 3. mellékletben felsorolt adalékanyagok használatára az e mellékletben megállapított korlátozások, illetve előírások vonatkoznak.
b) A 4. § (1) és (5) bekezdésétől eltérően a 3. mellékletben lévő listán nem szereplő adalékok újabb felülvizsgálatig továbbra is használhatók.
(8) A műanyagok és műanyag tárgyak gyártásához kizárólag polimerizációsegítő anyagként használt adalékanyagok tekintetében, amelyek rendeltetésszerűen nem maradnak bent a késztermékben (a továbbiakban: polimerizációsegítő anyag), a következő szabályok vonatkoznak:
a) A 4. § (2) bekezdésének sérelme nélkül, a 3. mellékletben felsorolt polimerizációsegítő anyagok használatára az ezen előírás 3. mellékletben megállapított korlátozások, illetve előírások vonatkoznak.
b) A 4. § (1) és (5) bekezdésétől eltérően a 3. mellékletben lévő listán nem szereplő polimerizációsegítő anyagok újabb felülvizsgálatig továbbra is használhatók, a nemzeti előírásoktól függően.
(9) Műanyagok és műanyag tárgyak gyártásához az azodikarbonamid [EGK szám: 36640 (CAS-szám: 000123-77-3)] használata tilos.

(1) Csak a 4. számú mellékletben felsorolt, baktériumos fermentációval kapott termékek használhatók az élelmiszerekkel érintkezésben.
(2) A 4. § szerinti adalékanyagok, amelyeket az MÉ 1-2-89/107 számú előírás élelmiszer-adalékanyagként vagy az MÉ 1-2-88/388 számú előírás aromaanyagként engedélyez, nem oldódhatnak ki:
a) az élelmiszerekben olyan mennyiségben, amely a kész élelmiszerben technológiai funkciót jelent,
b) azon élelmiszerekben, amelyekhez a használatuk élelmiszer-adalékanyagként vagy aromaanyagként van engedélyezve, az MÉ 1-2-89/107 vagy az MÉ 1-2-88/388 számú előírásban megengedett mennységet meghaladó mértékben vagy a 4. §-ban megengedett mennyiségben, amelyik kisebb,
c) azon élelmiszerekben, amelyekhez a használatuk, mint élelmiszer-adalékanyag vagy aromaanyag nincs engedélyezve, a 4. §-ban megadott korlátozást meghaladó mennyiségben.
(3) A kiskereskedelmi szakasz kivételével az értékesítési szakaszokban az élelmiszerekkel rendeltetésszerűen érintkezésbe kerülő és az (1) bekezdésben említett adalékanyagokat tartalmazó műanyagokat és műanyag tárgyakat a 9. § ban előírt információkat tartalmazó írásos nyilatkozat kíséri.

(1) A műanyagokra és műanyag eszközökre vonatkozó általános előírásokat az 5. számú melléklet A) része tartalmazza. A 2–4. számú mellékletben felsorolt anyagokra vonatkozó egyéb előírásokat az 5. számú melléklet B) része tartalmazza.
(2) A „Korlátozások, illetve előírások” oszlopban zárójelben levő számok jelentését a 6. számú melléklet tartalmazza.

(1) A 2. és 3. számú melléklet listája az egyedi kioldódási határértékeket mg/kg-ban adja meg. Bizonyos határértékek a következő esetekben mg/dm2-ben vannak megadva:
a) olyan tartályok vagy tartályszerű eszközök esetében, amelyek térfogata 500 ml-nél kisebb vagy 10 liternél nagyobb,
b) lapok, filmek vagy egyéb anyagok esetében, amelyek nem tölthetők meg vagy gyakorlatilag nem lehet megbecsülni az ezen anyagok és eszközök felülete, valamint a velük érintkezésben kerülő élelmiszer tömege közötti összefüggést.
Ezekben az esetekben a 2. és 3. számú mellékletben megadott mg/kg-ban kifejezett határértékeket osztani kell 6-tal, az egyezményes átváltási faktorral, annak érdekében, hogy a határértékek mg/dm2-ben legyenek kifejezve.
(2) A 23/2003. (V. 9.) ESZCSM rendeletben, illetve a 35/2004. (IV. 26.) ESZCSM rendeletben meghatározott, csecsemőknek és kisgyermekeknek szánt élelmiszerekkel rendeltetésszerűen érintkezésbe kerülő vagy ilyenekkel már érintkezésben lévő műanyagok és műanyag tárgyak esetében az egyedi kioldódási határérték mértékegysége mindig mg/kg.
(3) Többrétegű műanyagban vagy műanyag tárgyban az egyes műanyag rétegek összetételének meg kell felelnie ezen előírásnak.
(4) Az (1) bekezdéstől eltérően az élelmiszerrel közvetlenül nem érintkező és attól funkcionális műanyaggáttal elválasztott réteg esetében:
a) nem szükséges, hogy az megfeleljen az előírásban előírt korlátozásoknak és előírásoknak, illetve
b) gyártása történhet olyan anyagokkal, melyek nem szerepelnek ebben az előírásban vagy az élelmiszerekkel rendeltetésszerűen érintkezésbe kerülő műanyagok vagy műanyag tárgyak nemzeti listáin.
A végtermékként kapott műanyagnak vagy műanyag tárgynak azonban meg kell felelnie az előírásban előírt egyedi kioldódási és összkioldódási határértékeknek.
(5) A (4) bekezdés b) pontjában szereplő anyagok kioldódása az élelmiszerbe vagy modellanyagba nem haladja meg a 0,01 mg/kg értéket, a 882/2004/EK rendelet 11. §-a szerinti elemzési módszerrel, statisztikai biztonsággal mérve. A határérték mindig az élelmiszerben vagy modellanyagban lévő koncentrációként értendő. Ez vonatkozik vegyületcsoportra is, ha a vegyületek szerkezeti vagy toxikológiai szempontból rokonok, például ugyanazon meghatározó funkciós csoporttal rendelkező izomerek vagy vegyületek és idetartozik az esetleges nem kívánatos festékátkenődés is.
(6) A (4) bekezdés b) pontjában említett anyagok nem tartozhatnak a következő kategóriába:
a) a veszélyes anyagok jegyzékéről szóló 3/2006. (I. 26.) EüM rendelet 2. mellékletében igazoltan vagy feltehetően rákkeltő, mutagén vagy szaporodásgátló anyagokként besorolt anyagok, vagy
b) a kémiai biztonságról szóló 2000. évi XXV. számú törvény 5. § (1) bekezdésének megfelelően, vonatkozó kritériumok alapján saját felelősségben rákkeltő, mutagén vagy szaporodást károsító anyagokként besorolt anyagok.

(1) A kioldódási határértékeknek való megfelelés ellenőrzését az MÉ 1-2-82/711 számú előírásban megadott szabályokkal és az 1. számú melléklet további rendelkezéseivel összhangban kell végezni.
(2) Az egyedi kioldódási határértékeknek való megfelelés (1) bekezdés szerinti ellenőrzése nem kötelező, ha a mért összkioldódási értékekből következik, hogy az egyedi kioldódási határértékek nem nagyobbak.
(3) Az (1) bekezdésre vonatkozó egyedi kioldódási határértékeknek való megfelelés bizonyítása nem kötelező, ha megállapítható, hogy feltételezve a műanyagban vagy műanyag eszközben lévő maradék anyagok teljes kioldódását, az összkioldódás nem haladja meg az egyedi kioldódási határértéket.
(4) Az egyedi kioldódási határértékeknek megfelelés bizonyítható a műanyagban vagy a műanyag eszközben az anyag mennyiségének (1) bekezdés szerinti meghatározásával, feltételezve, hogy az anyag és a kioldódási határérték közötti összefüggést megállapították vagy megfelelő kísérletekkel vagy tudományos bizonyítékokra alapozható, általánosan elfogadott diffúziós modell alkalmazásával. Valamely műanyag vagy műanyag eszköz alkalmatlanságának megállapítására és a becsült kioldódási érték igazolására kötelező vizsgálatokat végezni.
(5) Az (1) bekezdéstől függetlenül a 3. melléklet B) részében említett ftalátok (EGK számok: 74640, 74880, 74560, 75100, 75105) esetében az egyedi kioldódási határérték ellenőrzése csak élelmiszer-utánzó modellanyaggal történik. Az egyedi kioldódási határérték ellenőrzése azonban történhet élelmiszerrel is, ha az élelmiszer korábban még nem került érintkezésbe az anyaggal vagy tárggyal, előzetesen megvizsgálták ftalátokra és a ftalátkoncentráció statisztikailag nem volt szignifikáns, illetve a kimutatási határérték alatt volt.

(1) A kiskereskedelmi szakasz kivételével az értékesítési szakaszokban a műanyagokat és műanyag tárgyakat, valamint az ezen műanyagok és műanyag tárgyak gyártására szánt anyagokat az 1935/2004/EK rendelet 16. §-a szerinti írásos nyilatkozat kíséri.
(2) A nyilatkozatot a vállalkozó bocsátja ki és az tartalmazza az előírás 6a. mellékletében leírt információkat.
(3) Kérésre a vállalkozó a nemzeti illetékes hatóság rendelkezésére bocsátja azokat a megfelelő dokumentumokat, amelyek igazolják, hogy a műanyagok és műanyag tárgyak, valamint az ezen műanyagok és műanyag tárgyak gyártására szánt anyagok megfelelnek az előírásban foglaltaknak. A dokumentáció tartalmazza a vizsgálatok, számítások és más elemzések körülményeit és eredményeit, valamint bizonyítékot a biztonságosságról vagy a megfelelést bemutató indokolást.”

A Magyar Élelmiszerkönyv (MÉ) 1-2-2002/72 számú előírás az 1., 2. 3., 4., .5 és 6. számú mellékletetei ezen előírás mellékleteinek megfelelően módosulnak.

Az MÉ 1-2-82/711 számú az élelmiszerekkel érintkezésbe kerülő műanyagok és műanyag tárgyak komponenseinek kioldási vizsgálatairól szóló előírás melléklete ezen előírás 8. számú melléklete szerint módosul.

Ez az előírás 2008. április 1-jén lép hatályba.
a) 2008. április 1-jétől lehet az ezen előírással módosított MÉ 1-2-2002/72 számú előírásnak megfelelő, az élelmiszerekkel rendeltetésszerűen érintkezésbe kerülő műanyagok és műanyag tárgyak kereskedelme és használata,
b) 2008. június 1-jétől tilos az ezen előírással módosított MÉ 1-2-2002/72 számú előírás a 30340, 30401, 36640, 56800, 76815, 76866, 88640 és 93760 EGK számú anyagokra megállapított korlátozásoknak és előírásoknak nem megfelelő tömítést tartalmazó fedelek gyártása és behozatala,
c) 2008. június 1-jétől tilos az ebben az előírásban a ftalátokra (EGK számok: 74560, 74640, 74880, 75100, 75105) megállapított korlátozásoknak és előírásoknak nem megfelelő, az élelmiszerekkel rendeltetésszerűen érintkezésbe kerülő műanyagok és műanyag tárgyak gyártása és behozatala,
d) a b) és c) pontok sérelme nélkül, 2009. április 1-jétől tilos az ezen előírással módosított MÉ 1-2-2002/72 számú előírásnak nem megfelelő, az élelmiszerekkel rendeltetésszerűen érintkezésbe kerülő műanyagok és műanyag tárgyak gyártása és behozatala.

Ez az előírás az élelmiszerekkel rendeltetésszerűen érintkezésbe kerülő műanyagokról és műanyag tárgyakról szóló 2002/72/EK irányelv és az élelmiszerekkel rendeltetésszerűen érintkezésbe kerülő műanyagok és műanyag tárgyak komponensei kioldódásának vizsgálatához alkalmazandó élelmiszer-utánzó modellanyagok listájának megállapításáról szóló 85/572/EGK tanácsi irányelv módosításáról szóló, 2007. április 2-i 2007/19/EK bizottsági irányelvnek való megfelelést szolgálja.


1. számú melléklet az 1-2-2007/19 számú előíráshoz

1. Az MÉ 1-2-2002/72 számú előírás 1. mellékletének 2. pontja a következőképpen módosul:
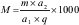
„2a. Amikor a kioldódási vizsgálatokat a műanyagból vagy a műanyag eszközből vett mintákon vagy az e célra gyártott mintákon végzik és a mintával érintkező élelmiszerek vagy modelloldószerek mennyisége eltér az anyag vagy az eszköz alkalmazási körülményeitől, a kapott eredményeket a következő képlettel kell korrigálni:


ahol:
M =    a kioldódás mg/kg-ban,
m =    azon anyag tömege mg-ban, amellyel a kioldódási vizsgálatot végezték,
a1 =    a kioldódási vizsgálat során az élelmiszerrel vagy a modelloldószerrel érintkező minta felülete dm2-ben,
a2 =    a valós körülmények között használt műanyag vagy eszköz felülete dm2-ben,
q =    azon élelmiszer tömege g-ban kifejezve, amellyel a műanyag vagy az eszköz a valós körülmények között érintkezik.
2b. A 20%-nál több zsírt tartalmazó élelmiszereknél az egyedi kioldódás korrekciója a zsír redukciós faktor:
A „zsír redukciós faktor” egy 1 és 5 közötti szám, amellyel az egyedi kioldódási határértékkel való összehasonlítás előtt el kell osztani a lipofil anyagoknak zsíros élelmiszerbe vagy „D” modellanyagba és annak helyettesítőibe történő kioldódás mért értékét.

Általános szabályok

A zsír redukciós faktor alkalmazása szempontjából lipofilnak tekintett anyagokat a 4a. melléklet sorolja fel. A lipofil anyagok mg/kg mértékegységben kapott egyedi kioldódását (M) az 1 és 5 közötti értéket felvevő zsír redukciós faktorral (ZsRF) kell korrigálni (MZsRF). A jogszabály által előírt határértékkel való összehasonlítás előtt a következő egyenleteket kell alkalmazni:

MZsRF=M/ZsRF
és

ZsRF= (g zsír az élelmiszerben/kg élelmiszer)/200 =
(% zsír×5)/100

A zsír redukciós faktorral való korrekció nem alkalmazandó a következő esetekben:
a) a műanyag vagy műanyag tárgy rendeltetésszerűen 20%-nál kevesebb zsírt tartalmazó élelmiszerrel kerül vagy ilyennel kerülhet érintkezésbe,
b) ha a műanyag vagy műanyag tárgy a 23/2003. (V. 9.) ESZCSM, illetve a 35/2004. (IV. 26.) ESZCSM rendelet szerinti, csecsemőknek és kisgyermekeknek szánt élelmiszerekkel érintkezésbe kerülő vagy rendeltetésszerűen érintkezésbe kerülő műanyag és műanyag tárgy,
c) a közösségi listákon szereplő olyan anyagok esetében, amelyeknél a 4. oszlopban SKH= NK (egyedi kioldódási határérték = nem kimutatható) korlátozás szerepel vagy a 0,01 mg/kg-os kioldódási határértékű funkcionális műanyaggát mögött lévő, listán nem szereplő anyagok esetében,
d) olyan műanyagok és műanyag tárgyak esetében, ahol például az alak vagy a használat miatt gyakorlatilag lehetetlen felbecsülni az ilyen anyag vagy tárgy felszíne és a vele érintkezésbe kerülő élelmiszer mennyisége közötti arányt és a kioldódás kiszámítása a hagyományos 6 átváltási tényező segítségével történik dm2/kg-ról felszín/térfogatra.
A zsír redukciós faktorral való ilyen korrekció a következő esetben bizonyos feltételekkel alkalmazható: tartályok vagy más olyan tárgyak esetében, amelyeket meg lehet tölteni és amelyek térfogata 500 milliliternél kisebb vagy 10 liternél nagyobb, valamint 20%-nál több zsírt tartalmazó élelmiszerekkel érintkezésbe kerülő lapok és fóliák esetében vagy ki kell számítani a kioldódást mint az élelmiszerben vagy modellanyagban lévő koncentrációt (mg/kg), korrigálva a zsírfogyasztási osztótényezővel vagy pedig az osztótényező alkalmazása nélkül át kell számítani mg/dm2-re. Ha a két érték közül egyik kisebb mint az egyedi kioldódási határérték, akkor a műanyag vagy műanyag tárgy megfelelőnek tekintendő.
A zsír redukciós faktor alkalmazása nem eredményezheti azt, hogy valamely egyedi kioldódás nagyobb legyen mint az összkioldódási határérték.
2c. A „D” élelmiszer-utánzó modellanyagba történő egyedi kioldódás korrekciója:
Lipofil anyagoknak „D” modellanyagba vagy annak helyettesítőibe való egyedi kioldódását a következő tényezőkkel kell korrigálni:
a) az MÉ 1-2-82/711 számú előírás mellékletének V. Fejezet 2. pontjában említett faktor, a továbbiakban: „D modellanyag” redukciós faktor (DRF),
A „D modellanyag” faktor nem alkalmazható, ha a „D” modellanyagba történő egyedi kioldódás nagyobb mint a végtermékként használt műanyagban vagy műanyag tárgyban (pl. vékony fólia) lévő anyag 80%-a. Tudományos vagy kísérleti bizonyítás (például kísérletek a legkritikusabb élelmiszerekkel) szükséges annak meghatározásához, hogy a „D modellanyag” faktor alkalmazandó-e. Nem alkalmazandó továbbá a közösségi jegyzékeken szereplő olyan anyagok esetében, amelyeknél a (4) oszlopban SKH= NK (egyedi kioldódási határérték = nem kimutatható) korlátozás szerepel vagy 0,01 mg/kg-os kioldódási határértékű funkcionális műanyaggát mögött lévő, listán nem szereplő anyagok esetében,
b) a zsír redukciós faktor alkalmazandó a modellanyagokba történő kioldódásra, ha a csomagolandó élelmiszer zsírtartalma ismert és a 2b. pontban említett előírások teljesülnek,
c) a teljes osztótényező (TOT) az a tényező (legnagyobb értéke 5 lehet), amellyel a „D modellanyagba” vagy egy helyettesítőbe történt mért egyedi kioldódást el kell osztani az előírt határértékkel való összehasonlítás előtt. A teljes osztótényezőt a „D modellanyag” osztótényező és a zsír redukciós faktor szorzata adja, ha mindkét tényező alkalmazandó.”

2. Az MÉ 1-2-2002/72 számú előírás 1. mellékletének „Általános rendelkezések” rész 5. pontja az alábbiak szerint módosul:
„5a. Ha egy anyag vagy eszköz a használat során ismételten érintkezésbe kerül az élelmiszerrel, a kiolódási vizsgálatot háromszor el kell végezni ugyanazzal a mintával az MÉ 1-2-82/711 számú előírásban megadott körülmények között, minden esetben friss élelmiszert vagy modelloldószert használva.
A megfelelőséget a harmadik vizsgálatban kapott kioldódási érték alapján kell megállapítani.
Ha azonban meggyőző bizonyíték van arra, hogy a kioldódás mértéke a második és harmadik vizsgálat során nem nő és a kioldódási határérték(ek)et már az első vizsgálatban sem haladja meg, további vizsgálat nem szükséges.
5b. Kupakok, fedelek, tömítések, dugók és hasonló záróeszközök:
a) Ha a rendeltetésszerű használat ismert, az ilyen tárgyakat a rendeltetésszerű vagy előrelátható használatnak megfelelő zárási körülmények között kell vizsgálni úgy, hogy felhelyezik őket azokra az edényekre, amelyekhez készültek. Feltételezett, hogy ezek a tárgyak az edényt kitöltő élelmiszer adott mennyiségével kerülnek érintkezésbe. Az eredményt mg/kg vagy mg/dm2 mértékegységben kell kifejezni a 2. és 7. §-ban leírt szabályok szerint, figyelembe véve a tömítés és az edény teljes érintkezési felületét.
b) Ha a tárgyak rendeltetésszerű használata nem ismert, akkor ezeket külön teszttel kell vizsgálni és az eredményt mg/tárgy értékben kell kifejezni. A kapott értéket adott esetben hozzá kell adni abból az edényből származó kioldódó mennyiséghez, amelyhez a használatot tervezték.”


2.számú melléklet az 1-2-2007/19 számú előíráshoz

Az MÉ 1-2-2002/72 számú előírás 2. melléklete az alábbiak szerint módosul:

1. Az A) rész a következőképpen módosul:
a) A táblázat – a megfelelő számsorrend szerint – a következő monomerekkel és kiindulási anyagokkal egészül ki:

[EGK szám

CAS-szám

Név

Korlátozások és/vagy előírások

1.

2.

3.

4.]

„15267

000080-08-0

4,4’-Diaminodifenil-szulfon

SKH*= 5 mg/kg

21970

000923-02-4

N-(Hidroximetil)metakrilamid

SKH= 0,05 mg/kg

24886

046728-75-0

5-Szulfoizoftálsav, monolítiumsó

SKH=5 mg/kg és lítiumra SKH(E) =
0,6 mg/kg (8) (lítiumban kifejezve).


* SKH=egyedi kioldódási határérték”

b) Az alábbi monomerek és kiindulási anyagok esetében a táblázat „Korlátozások és/vagy előírások” oszlopának tartalma helyébe a következő szöveg lép:

[EGK szám

CAS-szám

Név

Korlátozások és/vagy előírások

1.

2.

3.

4.]

„12786

000919-30-2

3-Aminopropil-trietoxiszilán

A 3-aminopropil-trietoxiszilán kioldható maradéka kevesebb mint 3 mg/kg töltőanyag a szervetlen töltőanyagok reaktív felületkezelésére való használat esetén és SKH= 0,05 mg/kg műanyag és műanyag tárgy felületkezelésére való használat esetén.

16450

000646-06-0

1,3-Dioxolán

SKH=5 mg/kg

25900

000110-88-3

Trioxán

SKH=5 mg/kg.”


2. A B) részből a következő monomert/kiindulási anyagot el kell hagyni:

[EGK szám

CAS-szám

Név

Korlátozások és/vagy előírások

1.

2.

3.

4.]

„21970

000923-02-4

N-(Hidroximetil)metakrilamid”

 



3.számú melléklet az 1-2-2007/19 számú előíráshoz

Az MÉ 1-2-2002/72 számú előírás 3. melléklete a következőképpen módosul:

1. Az A) rész a következőképpen módosul:
a) A táblázat – a megfelelő számsorrend szerint – a következő adalékanyagokkal egészül ki:

[EGK szám

CAS-szám

Név

Korlátozások és/vagy előírások

1.

2.

3.

4.]

„38885

002725-22-6

2,4-Bisz(2,4-dimetilfenil)-6-(2-
hidroxi-
4-n-oktiloxifenil)-1,3,5-triazin

SKH=0,05 mg/kg. Csak vizes élelmiszerek esetében.

42080

001333-86-4

Szénpigment

Az 5. mellékletben megállapított előírásoknak megfelelően.

45705

166412-78-8

1,2-ciklohexándikarbonsav, diizononil- észter

 

62020

007620-77-1

12-Hidroxisztearinsav, lítiumsó

SKH (E)=0,6 mg/kg (8) (lítiumban kifejezve).

67180

Decil-oktil)-ftalát (50%m/m), didecil-ftalát (25%m/m) és dioktil-
ftalát (25%m/m) keveréke

SKH=5 mg/kg (1).

71960

003825-26-1

Perfluoroktánsav, ammóniumsó

Csak nagy hőmérsékleten szinterezett, többször használatos tárgyakban használható.

74560

000085-68-7

Benzil-butil-ftalát

Csak a következőkként használható:
a) lágyító többször használatos műanyagokhoz és műanyag tárgyakhoz,
b) lágyító olyan egyszer használatos műanyagokhoz és műanyag tárgyakhoz, melyek zsírszegény élelmiszerekkel érintkeznek, kivéve a 23/2003. (V. 9.) ESZCSM rendeletben meghatározott anyatej-helyettesítő és -kiegészítő tápszereket és a 35/2004. (IV. 26.) ESZCSM rendelet szerinti termékeket,
c) technológiai segédanyag, legfeljebb 0,1%-os koncentráció a végtermékben.
SKH=30 mg/kg élelmiszer-utánzó modellanyag.

74640

000117-81-7

Bisz(2-etilhexil)-ftalát

Csak a következőkként használható:
a) lágyító zsírszegény élelmiszerekkel érintkezésbe kerülő, többször használatos műanyagokhoz és műanyag tárgyakhoz,
b)  technológiai segédanyag, legfeljebb 0,1%-os koncentráció a végtermékben,
SKH=1,5 mg/kg élelmiszer-utánzó modellanyag.

74880

000084-74-2

Dibutil-ftalát

Csak a következőkként használható:
a) lágyító zsírszegény élelmiszerekkel érintkezésbe kerülő, többször használatos műanyagokhoz és műanyag tárgyakhoz,
b) technológiai segédanyag, legfeljebb 0,05%-os koncentráció a végtermékben.
SKH=0,3 mg/kg élelmiszer-utánzó modellanyag.

75100

068515-48-0
028553-12-0

Telített primer C8–C10 elágazó láncú alkoholokkal képzett több mint 60% C9 ftalát diészterek

Csak a következőkként használható:
a) lágyító többször használatos műanyagokhoz és műanyag tárgyakhoz,
b) lágyító olyan egyszer használatos műanyagokhoz és műanyag tárgyakhoz, melyek zsírszegény élelmiszerekkel érintkeznek, kivéve a 23/2003. (V. 9.) ESZCSM rendeletben meghatározott anyatej-helyettesítő és -kiegészítő tápszereket és a 35/2004. (IV. 26.) ESZCSM rendelet szerinti termékeket,
c) technológiai segédanyag, legfeljebb 0,1%-os koncentráció a végtermékben.
SKH(E)=9 mg/kg élelmiszer-utánzó modellanyag. (42)

75105

068515-49-1
026761-40-0

Telített primer C9–C11 alkoholok több mint 90% C10 ftalát diészterek

Csak a következőkként használható:
a) lágyító többször használatos műanyagokhoz és műanyag tárgyakhoz,
b) lágyító olyan egyszer használatos műanyagokhoz és műanyag tárgyakhoz, melyek zsírszegény élelmiszerekkel érintkeznek, kivéve a 23/2003. (V. 9.) ESZCSM rendeletben meghatározott anyatej-helyettesítő és -kiegészítő tápszereket és a 35/2004. (IV. 26.) ESZCSM rendelet szerinti termékeket,
c) technológiai segédanyag, legfeljebb 0,1%-os koncentráció a végtermékben.
SKH (E)=9 mg/kg élelmiszer-utánzó modellanyag. (42)

79920

009003-11-6 106392-12-5

Poli(etilén-propilén)glikol

 

81500

9003-39-8

Polivinilpirrolidon

Az 5. mellékletben megállapított előírásoknak megfelelően.

93760

000077-90-7

Tri-n-butil-acetil-citrát

 

95020

6846-50-0

2,2,4-Trimetil-1,3-pentándiol-
diizobutirát

SKH=5 mg/kg élelmiszer. Csak egyszer használatos kesztyűkhöz használható.

95420

745070-61-5

1,3,5-Trisz(2,2-dimetilpropánamido)-benzol

SKH=0,05 mg/kg élelmiszer.”


b) A következő adalékanyagoknál a táblázat „Név” és „Korlátozások és/vagy előírások” oszlopa tartalmának helyébe a következő szöveg lép:

[EGK szám

CAS-szám

Név

Korlátozások és/vagy előírások

1.

2.

3.

4.]

„43480

064365-11-3

Aktív szén, aktivált

Az 5. mellékletben megállapított előírásoknak megfelelően.

45200

001335-23-5

Réz-jodid

SKH (E)=5 mg/kg (7) (rézben kifejezve) és SKH=1 mg/kg (11) (jódként kifejezve).

76845

031831-53-5

1,4-Butándiol kaprolaktámmal képzett poliésztere

A 14260 és 13720 EGK számú anyagokra vonatkozó korlátozást figyelembe kell venni.
Az 5. mellékletben megállapított előírásoknak megfelelően.

81760

Sárgaréz, bronz, vörösréz, saválló acél, ón porok, lemezkék és szálak és vörösréz-, ón- és vasötvözetek

SKH (E)= 5 mg/kg (7) (vörösrézben kifejezve),
SKH=48 mg/kg (vasban kifejezve)

88640

008013-07-8

Szójaolaj, epoxidált

SKH=60 mg/kg. A 23/2003. (V. 9.) ESZCSM rendeletben meghatározott anyatej-helyettesítő és -kiegészítő tápszereket vagy a 35/2004. (IV. 26.) ESZCSM rendeletben meghatározott, csecsemőknek és kisgyermekeknek szánt feldolgozott gabonaalapú élelmiszereket és bébiételeket tartalmazó üvegedények lezárására használatos PVC-tömítések esetében azonban a SKH 30 mg/kg. Az 5. mellékletben megállapított előírásoknak megfelelően.”


c) A táblázatból a következő adalékanyagot el kell hagyni:

[EGK szám

CAS-szám

Név

Korlátozások és/vagy előírások

1.

2.

3.

4.]

„35760

001309-64-4

Antimon-trioxid

SKH=0,04 mg/kg (39) (antimonban kifejezve).”



2. A B) rész a következőképpen módosul:

a) A táblázat – a megfelelő számsorrend szerint – a következő adalékokkal egészül ki:

[EGK szám

CAS-szám

Név

Korlátozások és/vagy előírások

1.

2.

3.

4.]

„35760

001309-64-4

Antimon-trioxid

SKH=0,04 mg/kg (39) (antimonban kifejezve).

47500

153250-52-3

N,N’-Diciklohexil-2,6-naftalin-
dikarboxamid

SKH=5 mg/kg.

72081/10

Kőolajalapú szénhidrogén gyanták (hidrogénezett)

SKH=5 mg/kg (1) és az 5. mellékletben megállapított előírásoknak megfelelően

93970

Triciklodekándimetanol-
bisz(hexahidroftalát)

SKH=0,05 mg/kg.”


b) A következő adalékanyagoknál a táblázat „Név” és „Korlátozások és/vagy előírások” oszlopa tartalmának helyébe a következő szöveg lép:

[EGK szám

CAS-szám

Név

Korlátozások és/vagy előírások

1.

2.

3.

4.]

„47600

084030-61-5

Di-n-dodecil-ón-bisz(izooktil-
merkaptoacetát)

SKH (E)= 0,05 mg/kg élelmiszer (41) (mono-n-dodecil-ón-trisz(izooktil-
merkaptoacetát), di-n-dodecil-ón-
bisz(izooktil-merkaptoacetát), mono
-dodecil-ón-triklorid és di-dodecil-ón-
diklorid összegeként), a mono- és di-
dodecil-ón-klorid összegeként kifejezve.

67360

067649-65-4

Mono-n-dodecil-ón-trisz(izooktil-
merkaptoacetát)

SKH (E)= 0,05 mg/kg élelmiszer (41) (mono-n-dodecil-ón-trisz(izooktil-
merkaptoacetát), di-n-dodecil-ón-
bisz(izooktil-merkaptoacetát), mono-
dodecil-ón-triklorid és di-dodecil-ón-
diklorid összegeként), a mono- és di-
dodecil-ón-klorid összegeként kifejezve.”


c) A táblázatból a következő adalékanyagokat el kell hagyni:

[EGK szám

CAS-szám

Név

Korlátozások és/vagy előírások

1.

2.

3.

4.]

„67180

Decil-oktil)-ftalát (50% m/m), didecil-ftalát (25% m/m) és dioktil-
ftalát (25% m/m) keveréke

SKH=5 mg/kg (1).

76681

Policiklopentadién, hidrogénezett

SKH=5 mg/kg (1)”



4.számú melléklet az 1-2-2007/19 számú előíráshoz


5.számú melléklet az 1-2-2007/19 számú előíráshoz

A MÉ 1-2-2002/72 számú előírás 5. melléklete a következőképpen módosul:
– Az A) rész „Általános előírások” helyébe a következő szöveg lép:
„A műanyagok és műanyag tárgyakból nem oldódhatnak ki kimutatható mennyiségű primer aromás aminok (kimutatási határérték: 0,01 mg/kg élelmiszer vagy élelmiszer-utánzó modellanyag). A 2. és 3. melléklet szerinti listákon szereplő primer aromás aminok kioldódására ez a korlátozás nem vonatkozik.”

2. A B) rész – megfelelő számsorrendben – a következő új előírásokkal egészül ki:

EGK szám

Egyéb előírások

42080

„Szénpigmentek
Előírások:
– Extrahálható toluolvegyületek: legfeljebb 0,1% az ISO 6209 sz. módszerrel meghatározva,
– ciklohexán-kivonat UV-abszorpciója 386 nm-en: <0,02 abszorpciós egység 1 cm-es küvettával vagy <0,1 abszorpciós egység 5 cm-es küvettával általánosan elismert analitikai módszer segítségével meghatározva,
– Benzo[a]pirén: legfeljebb 0,25 mg/kg szénpigment,
– Szénpigmentek legnagyobb használati koncentrációja a polimerben: 2,5% (m/m).

72081/10

Kőolajalapú szénhidrogén gyanták (hidrogénezett)
Előírások:
A kőolajalapú hidrogénezett szénhidrogéngyanták előállítása 220 °C-nál kisebb forráspontú krakkolt kőolaj desztillátumából származó alifás, aliciklusos és/vagy monobenzenoid arilalkének diénjeiből és olefinjeiből, valamint az ilyen desztillációs termékekben található tiszta monomerekből történik katalitikus vagy termikus polimerizációval, amit desztilláció, hidrogénezés és további feldolgozás követ.
Tulajdonságok:
Viszkozitás: >3 Pa.s 120 °C-on
Lágyulási pont: >95 °C az ASTM E 28-67 módszerrel meghatározva
Brómszám: >40 (ASTM D1159)
50%-os toluolos oldat színe: <11 a Gardner skálán
Maradék aromás monomer <50 mg/kg

76845

1,4-Butándiol kaprolaktámmal képzett poliésztere
Az 1000 daltonnál kisebb molekulasúlyú frakció kisebb mint 0,5% (m/m)

81500

Polivinilpirrolidon
Az anyagnak meg kell felelnie a előírásban megállapított tisztasági kritériumoknak.

88640

Szójaolaj, epoxidált
Oxirán <8%, jódszám <6”



6.számú melléklet az 1-2-2007/19 számú előíráshoz

A MÉ 1-2-2002/72 számú előírás 6. melléklete a következőképpen módosul:

1. A (8) megjegyzés helyébe a következő szöveg lép:
„(8) Ebben az esetben az SKH(E) azt jelenti, hogy a 24886, 38000, 42400, 62020, 64320, 66350, 67896, 73040, 85760, 85840, 85920 és 95725 EGK számú anyagok kioldódási értékének az összege nem haladja meg a korlátozást.”

2. A melléklet kiegészül a (41) és (42) megjegyzésekkel:
„(41) Ebben az esetben az SKH(E) azt jelenti, hogy a 47600 és 67360 EGK számú anyagok kioldódási értékének az összege nem haladja meg a korlátozást.
(42) Ebben az esetben az SKH(E) azt jelenti, hogy a 75100 és 75105 EGK számú anyagok kioldódási értékének az összege nem haladja meg a korlátozást.”


7.számú melléklet az 1-2-2007/19 számú előíráshoz

A MÉ 1-2-2002/72 számú előírás a következő 6a. melléklettel egészül ki

MEGFELELŐSÉGI NYILATKOZAT

A 9. § (2) bekezdésében említett írásos nyilatkozatnak a következőket kell tartalmaznia:

1. a műanyagokat vagy műanyag tárgyakat vagy az ilyenek gyártására szolgáló anyagokat gyártó vagy importáló vállalkozó neve és címe,

2. a műanyagok, műanyag tárgyak vagy az ilyenek gyártására szolgáló anyagok megnevezése,

3. a nyilatkozat dátuma,

4. annak megerősítése, hogy a műanyagok vagy műanyag tárgyak megfelelnek az ezen előírásban és az 1935/2004/EK rendeletben szereplő előírásoknak,

5. a felhasznált olyan anyagokra vonatkozó információk, amelyekre ezen előírás korlátozásokat és/vagy előírásokat ír elő, hogy a további gazdasági szereplők biztosítani tudják a korlátozások betartását,

6. olyan információk az élelmiszert illetően korlátozás alá eső anyagokról, melyek ezen kísérleti adatok vagy elméleti számítás alapján megállapított egyedi kioldódását és adott esetben a MÉ 1-2-95/35 számú előírás az élelmiszerekben használható édesítőszerek, 1-2-95/45 számú előírás az élelmiszerekben használható színezékek, 1-2-96/77 számú előírás az élelmiszerekben használható egyes adalékanyagok tisztasági követelményeit adják meg, hogy ezen műanyagok vagy műanyag tárgyak felhasználói eleget tudjanak tenni az alkalmazandó közösségi rendelkezéseknek, illetve ezek hiányában az élelmiszerekre alkalmazandó nemzeti rendelkezéseknek.

7. a műanyagok vagy műanyag tárgyak használati előírásai, mint például:
i. azok az élelmiszertípusok, amelyekkel rendeltetésszerűen érintkezésbe kerülhetnek,
ii. kezelési és tárolási idő és hőmérséklet úgy, hogy a műanyagok vagy műanyag tárgyak élelmiszerrel érintkezésben vannak,
iii. az anyag vagy tárgy megfelelőségének megállapításakor használt felszín/térfogat arány (az élelmiszerre),

8. ha többrétegű műanyagban funkcionális műanyaggát van, annak igazolása, hogy a műanyag vagy műanyag tárgy megfelel az előírás 7. § (4)–(6) bekezdésében szereplő előírásoknak.
Az írásos nyilatkozat lehetővé teszi a tárgyát képező műanyagok, műanyag tárgyak és anyagok egyszerű azonosítását és meg kell újítani, ha az előállítás lényeges megváltoztatása megváltoztatja a kioldódási viselkedést vagy ha új tudományos ismeretek látnak napvilágot.”


8. számú melléklet az 1-2-2007/19 számú előíráshoz

Az 1-2-82/711 előírás melléklete a következőképpen módosul:

1. Az V. Fejezet 2. pont helyébe a következő szöveg lép:
„2. Ha az „X” jelet egy ferde vonal és egy szám követi, ott a kioldódási vizsgálatok eredményét a feltüntetett számmal el kell osztani. Zsíros ételek egyes típusainak esetében ennek az egyezményes számnak, az ún. „D modellanyag” osztótényezőnek (DRF) a célja, hogy figyelembe lehessen venni azt, hogy az élelmiszerhez képest a modellanyag extrakciós képessége jobb”

2. Az V. Fejezet a 3. pontja az alábbiakkal egészül ki.
„Ha az „X” után zárójelben egy (b) betű áll, az azt jelzi, hogy a megadott elemzést 50% (v/v) térfogat-százalékos etanollal kell elvégezni.”

3. A táblázatban a 07 szakasz helyébe a következő lép:

„07

Tejtermékek

 

 

 

 

07.01

Tej:

 

 

 

 

 

A. Teljes

 

 

 

X(b)

 

B. Sűrített

 

 

 

X(b)

 

C. Lefölözött vagy részben lefölözött

 

 

 

X(b)

 

D. Tejpor

 

 

 

 

07.02

Fermentált tej, például joghurt, író és hasonló termékek

 

X

 

X(b)

07.03

Tejszín és tejföl

 

X(a)

 

X(b)

07.04

Sajt:

 

 

 

 

 

A. Egész, ehető héj nélkül

 

 

 

 

 

B. Összes többi

X(a)

X(a)

 

X/3*

07.05

Tejoltó

 

 

 

 

 

A. Folyékony vagy sűrű formában

X(a)

X(a)

 

 

 

B. Por formában vagy szárítva”

 

 

 

 

1

A rendeletet a 65/2010. (V. 12.) FVM rendelet 5. § e) pontja hatályon kívül helyezte 2010. május 27. napjával.

2

A 3–6. §-t a 152/2009. (XI. 12.) FVM rendelet 2. § (5) bekezdés g) pontja hatályon kívül helyezte.

3

A 7. § (2) bekezdését a 152/2009. (XI. 12.) FVM rendelet 2. § (5) bekezdés g) pontja hatályon kívül helyezte.

4

A melléklet a 26/2010. (III. 19.) FVM rendelet 5. § (5) bekezdés b) pontja szerint módosított szöveg.

  • Másolás a vágólapra
  • Nyomtatás
  • Hatályos
  • Már nem hatályos
  • Még nem hatályos
  • Módosulni fog
  • Időállapotok
  • Adott napon hatályos
  • Közlönyállapot
  • Indokolás
Jelmagyarázat Lap tetejére