389/2007. (XII. 23.) Korm. rendelet
389/2007. (XII. 23.) Korm. rendelet
a megújuló energiaforrásból vagy hulladékból nyert energiával termelt villamos energia, valamint a kapcsoltan termelt villamos energia kötelező átvételéről és átvételi áráról
A Kormány a villamos energiáról szóló 2007. évi LXXXVI. törvény 170. §-a (1) bekezdésének 7., 24., 26–27. és 29. pontjában kapott felhatalmazás alapján – az Alkotmány 35. § (1) bekezdésének b) pontjában meghatározott feladatkörében eljárva – a következőket rendeli el:
ÁLTALÁNOS RENDELKEZÉSEK
A rendelet alkalmazási köre
1. § (1)1 E rendelet alkalmazási köre kiterjed
a) a megújuló energiaforrásból nyert energiával termelt villamos energia,
b) a hulladékból nyert energiával termelt villamos energia,
c)2
kötelező átvételének szabályaira, a Menetrendadásra kötelezett és a Befogadó közötti tranzakciók áraira, továbbá ezen árak alkalmazási feltételeinek megállapítására.
(1a)3 A rendelet alkalmazási köre kiterjed továbbá a kötelező átvételi rendszerben értékesített, kapcsoltan termelt villamos energia elszámolására, ellenőrzésére, valamint a jogosulatlan értékesítés esetében történő visszatérítésre.
(2) E rendelet alkalmazási köre nem terjed ki a háztartási méretű kiserőműben termelt villamos energiára.
(3) Az (1) bekezdés a)–b) pontja szerinti termelésből származó villamos energia a kötelező átvételi rendszerben akkor értékesíthető, ha
a)4 az erőműnek az átvételi kötelezettség alá eső villamos energia átvételének szabályairól és árainak megállapításáról szóló 56/2002. (XII. 29.) GKM rendelet (a továbbiakban: 56/2002. GKM rendelet) szerinti kötelező átvételhez való jogosultságát e rendelet hatálybalépését megelőzően a Magyar Energetikai és Közmű-szabályozási Hivatal (a továbbiakban: Hivatal) végleges határozatban megállapította, vagy
b) kizárólag megújuló energiaforrásból, vagy hulladékból nyert energiával, vagy mindkettő felhasználásával termelték, vagy
c)5 biomassza, biogáz vagy hulladékból nyert energia továbbá megújuló energiaforrástól vagy hulladéktól eltérő energiaforrás ugyanazon technológiai (primer-energiaátalakítási) folyamatban történő felhasználása (a továbbiakban: vegyes tüzelés) történik, akkor a megújuló energiaforrástól vagy hulladéktól eltérő energiaforrás felhasználásának aránya sem havonta, sem az adott naptári évben nem haladja meg a 70%-ot.
(4)6
(5)7 A villamos energiáról szóló 2007. évi LXXXVI. törvény (a továbbiakban: VET) 7. §-ának (2) bekezdése és a VET felhatalmazása alapján kiadott külön jogszabály szerinti pályázat alapján létesített szélerőműben vagy szélerőműparkban (a továbbiakban együtt: szélerőmű) termelt villamos energia termelője a pályázat eredményének megfelelő feltételek szerint (különösen: időtartam, mennyiség, átvételi ár stb.) jogosult a kötelező átvételi rendszerben történő értékesítésre.
(6)8 A 2016. december 31-ét követően benyújtott kérelemre e rendelet szerinti kötelező átvételi jogosultság csak abban az esetben állapítható meg, ha a kérelem:
a) jogutódláson alapuló, változatlan kötelező átvételi jogosultság bejegyzésére,
b) erőműegység feletti rendelkezési jog átadásán alapuló, változatlan kötelező átvételi jogosultság bejegyzésére vagy
c) a kötelező átvételi jogosultság megállapítása során figyelembe vett egyéb állami támogatás mértékének megváltozása miatti módosításra
irányul.
(7)9 A (6) bekezdés a) és b) pontja esetén a Hivatal kötelező átvételi jogosultságot állapít meg, ha a kötelező átvételi jogosultságot átadóval szemben a jogutódlás időpontjában vagy a kötelező átvételi jogosultság rendelkezési jog átadásán alapuló megállapítására vonatkozó, (6) bekezdés b) pontja szerinti kérelem elbírálásakor nem áll fenn a 9/A. § (4) bekezdésében meghatározott kizáró ok.
(8)10 A kötelező átvételi jogosultság megállapítására irányuló kérelmet a (6) bekezdés a) pontja esetén a jogutód, a (6) bekezdés b) pontja esetén az erőműegység felett rendelkezési jogot szerző személy nyújtja be a Hivatalhoz. Az üggyel érintett további – kérelmezőn kívüli – ügyfelek (7) bekezdés szerinti feltételeknek való megfelelését a Hivatal hatósági ellenőrzés keretében vizsgálja.
(9)11 A (6)–(8) bekezdés vonatkozásában ügyfélnek minősülnek mindazon személyek, akik a kötelező átvételi jogosultság megállapítására irányuló kérelem alapjául szolgáló jogügyletben érintettek.
(10)12 A (6) bekezdés a) pontja szerinti kérelmet a jogutód a jogutódlást követő harminc napon belül nyújtja be a Hivatalhoz.
(11)13 A kötelező átvételre jogosult erőműegység feletti rendelkezési jog átadása legkorábban akkor hatályosul, amikor a kötelező átvételi jogosultság (6) bekezdés b) pontja szerinti bejegyzése a kötelező átvételre jogosult erőműegység feletti rendelkezési jogot szerző részére megtörténik.
Értelmező rendelkezések
2. § (1) E rendelet alkalmazásában
a)14 Befogadó: a megújuló energiaforrásból vagy hulladékból nyert energiával termelt villamos energia elsődleges vásárlója, aki – a VET 10. §-ának (4) bekezdés alapján – egyúttal a kötelező átvételi mérlegkör felelőse;
b)15 átvételi bázisár: az e rendelet 1. számú mellékletében megállapított, az egyes években alkalmazandó kötelező átvételi árak kiszámításának alapjául szolgáló ár;
c)16
d)17 napi termelési menetrend: a Menetrendadásra kötelezett által a Befogadó részére előzetesen megadott, a KÁT termelőnek vagy összevont menetrend esetén a Menetrend-csoportba tartozó KÁT termelőknek a nap minden elszámolási mérési időintervallumára vonatkozó tervezett termelési adatait tartalmazó menetrendje a 7. § (7) bekezdése szerinti önálló kiegyenlítő menedzsment nélkül;
e)18 KÁT termelő: a kötelező átvétel alá eső, megújuló energiaforrásból vagy hulladékból nyert energiával termelt villamos energia termelője;
f) éves termelési időszak: naptári év (naptári év közben történő üzembe helyezés esetén a kereskedelmi üzem kezdete és az adott naptári év december 31. közötti időszak);
g) hulladékhasznosító erőműegység: települési, kommunális vagy ipari hulladékot villamosenergia-termelésre felhasználó erőműegység;
h) kereskedelmi üzem: az erőműegység működésének az az időszaka, amikor a próbaüzem sikeres lezárása után értékesítésre termel villamos energiát;
i) kiadott hő: a VET 3. §-ának 23. pontja szerinti hasznos hő;
j) kiadott villamos energia: a termelt villamos energiának az erőműegység technológiai célú fogyasztásával, azaz az energiaátalakítási folyamat fenntartásához szükséges fogyasztással csökkentett része;
k)19 napon belüli termelési menetrend: a napi termelési menetrend adott részeinek módosítása céljából a Menetrendadásra kötelezett által a Befogadó részére előzetesen megadott, a KÁT termelőnek vagy összevont menetrend esetén a Menetrend-csoportba tartozó KÁT termelőknek a nap minden elszámolási mérési időintervallumára vonatkozó tervezett termelési adatait tartalmazó menetrendje a 7. § (7) bekezdése szerinti önálló kiegyenlítő menedzsment nélkül;
l)20
m)21
n)22 önfogyasztás: az erőműegység telephelyének teljes villamosenergia-fogyasztása, beleértve az erőműegység villamosenergia- és hőenergia-termelésének, a termelőeszközök üzemének és üzemeltetésének fenntartására a saját termelésből vagy a hálózatból felhasznált villamos energiát, valamint az erőműegységet tulajdonló gazdasági társaságnak és az erőműegység üzemeltetőjének a telephelyen történő, villamosenergia-tárolástól eltérő minden egyéb célú villamosenergia-fogyasztását is (ha az erőműegységben termelt villamos energiát csak részben értékesítik a kötelező átvételi rendszerben, akkor az önfogyasztást az értékesített mennyiségek arányában, ha a telephelyen több erőműegység üzemel, akkor az önfogyasztást az erőműegységek tényleges technológiai célú felhasználását is figyelembe véve kell megosztani);
o)23 szabályozási pótdíj: a Menetrendadásra kötelezettnek a napon belüli termelési menetrendjétől való, a 7. § (7) bekezdése szerinti önálló kiegyenlítő menedzsment alapján módosított, a KÁT mérlegkörrel megegyező irányú eltérése esetén a Menetrendadásra kötelezett által a Befogadó számára fizetendő díj;
p) tárgyév: a kötelező átvételi rendszerben történő értékesítés árai érvényességének éves időszaka minden év január 1-jétől december 31-ig.
q)24 telephely: a villamosenergia-termelési tevékenység gyakorlásának a cég társasági szerződésében, alapító okiratában vagy alapszabályában, továbbá termelői engedélyében foglalt tartós, önállósult üzleti (üzemi) letelepedéssel járó helye, valamint minden olyan, a kérelmező által meghatározott ingatlan, amely alkalmas a villamosenergia-termelési tevékenység végzésére.
r)25 Menetrendadásra kötelezett: a Befogadó részére értékesítő KÁT termelő vagy összevont menetrendadási szerződés esetén a Menetrend-csoport Képviselő;
s)26 Menetrend-csoport Képviselő: a KÁT termelők által összevont menetrendadás céljából kijelölt – a polgári perrendtartásról szóló 2016. évi CXXX. törvény szerinti – gazdálkodó szervezet,
t)27
u)28 villamosenergia-termelés megkezdése: az erőműegység közcélú hálózattal történő első párhuzamos kapcsolásának időpontja, melyet az illetékes hálózati engedélyes jegyzőkönyvvel igazol.
(2) Az (1) bekezdésben meg nem határozott fogalmakat a VET, a távhőszolgáltatásról szóló 2005. évi XVIII. törvény, valamint a felhatalmazásuk alapján kiadott jogszabályok rendelkezései szerint kell értelmezni.
A villamos energia kötelező átvételének általános szabályai
3. §29 (1) A kötelező átvételi rendszerben a KÁT termelő jogosult a Hivatal kötelező átvételi jogosultságot megállapító határozatában foglaltaknak megfelelő mennyiségű villamos energiát, a határozatban megjelölt átvételi időtartam alatt, a kérelem benyújtásának időpontjában hatályos árképzési szabályok szerint a Befogadónak átadni, a Befogadó köteles azt befogadni, valamint a KÁT termelővel a villamos energia ellenértékét a (3) bekezdésben foglaltak figyelembevételével a kötelező átvételi mérlegkörben elszámolni.
(2) A KÁT termelők a kötelező átvételi mérlegkörön belül menetrendadással kapcsolatos jogaik közös gyakorlása és kötelezettségeik közös teljesítése céljából összevont menetrendadásra jogosultak az alábbi feltételek szerint:
a) A KÁT termelők összevont menetrendadási csoport alakítása esetén egy Menetrend-csoport Képviselőt jelölnek ki. A Menetrend-csoport Képviselő több összevont menetrendadási csoportot is képviselhet, azonban a KÁT termelő – menetrendje tekintetében – egy csoport tagja lehet, azzal, hogy az e rendelet és a megújuló energiaforrásból termelt villamos energia kötelező átvételi és prémium típusú támogatásáról szóló kormányrendelet (a továbbiakban: METÁR rendelet) szerinti KÁT termelők közösen is alakíthatnak csoportot.
b) A Menetrend-csoport Képviselő és az összevont menetrendadási csoport tagjai a Befogadóval az annak üzletszabályzata szerinti összevont menetrendadásra vonatkozó megállapodást kötnek, amely a közvetített szolgáltatások kapcsán tartalmazza a közvetítés lehetőségét.
c) A Menetrend-csoport Képviselő és az összevont menetrendadási csoport tagjai az összevont menetrendadással összefüggő jogaikról és kötelezettségeikről külön megállapodást kötnek egymással.
d)30 A Menetrend-csoport Képviselő a 7. § (5)–(6) bekezdése szerinti menetrendeket KÁT termelőnként adja meg, azonban a Befogadó és a Menetrend-csoport Képviselő a 7. § (11) bekezdése szerinti szabályozási pótdíjat az összevont menetrend alapján számolják el. A Menetrend-csoport Képviselő és a csoporttagok a Menetrend-csoport Képviselő és a Befogadó között elszámolt szabályozási pótdíj szétosztásáról a c) pont szerinti megállapodásban rendelkeznek.
e) Ha egy Menetrend-csoporthoz villamosenergia-tárolóval rendelkező KÁT termelő csatlakozik, a villamosenergia-tároló használatára a Menetrend-csoport Képviselő jogosult az összes Menetrend-csoport tag tekintetében.
f) Erőműegységeinek összevont kezelése esetén a KÁT termelő a Befogadóval az annak üzletszabályzata szerinti összevont menetrendadásra vonatkozó megállapodást köt.
g) Ha több KÁT termelő ugyanazon rendszerhasználót kívánja használni a 7. § (7) bekezdése szerinti önálló kiegyenlítő menedzsmentje során, akkor a Befogadó üzletszabályzata szerinti összevont menetrendadásra vonatkozó megállapodást kötnek.
h) Ha egy KÁT termelőnek több erőműegysége van a KÁT mérlegkörben és a 7. § (7) bekezdése szerinti önálló kiegyenlítő menedzsmenttel kíván élni, akkor a Befogadó üzletszabályzata szerinti összevont menetrendadásra vonatkozó megállapodást köt az összes KÁT mérlegkörben lévő erőműegységére vonatkozóan.
i) A 7. § (7) bekezdése szerinti önálló kiegyenlítő menedzsmenttel olyan Menetrend-csoport Képviselő élhet, aki rendelkezik villamosenergia-kereskedelmi engedéllyel.
(3) A kötelező átvétel keretében alkalmazandó árak számításának alapját képező bázisárakat az 1. számú melléklet, az árak alkalmazásánál figyelembe veendő zónaidőket a 3. számú melléklet, az áralkalmazási feltételeket a 4. számú melléklet tartalmazza.
(4) Az 1. számú mellékletben meghatározott bázisárak alapján a Hivatal minden évben elvégzi az 5. számú mellékletben meghatározott számítást, és a honlapján a tárgyévi január hónap 10. munkanapjáig közzéteszi a tárgyévre vonatkozóan alkalmazandó kötelező átvételi árakat és azok időben egyenletes termelés feltételezésével számított átlagát.
(5) A (4) bekezdés szerinti árak az általános forgalmi adó összegét nem tartalmazzák.
(6)31 Az e rendelet szerinti kötelező átvételi árak a közcélú csatlakozási ponton – magánvezetékre kapcsolódó termelő esetében a kapcsolódási ponton – a Befogadó által átvett, a (8)–(11a) bekezdés szerint meghatározott mennyiségű villamos energiára vonatkoznak.
(7) A 7. § (7) bekezdése szerinti önálló kiegyenlítő menedzsment során igénybe vett rendszerhasználó a közcélú csatlakozási pontra vonatkoztatott önálló elszámolási ponton csatlakozik a KÁT mérlegkörhöz.
(8) Az e rendelet szerint elszámolható (elszámolási) villamosenergia-mennyiség az erőműegységnek a villamosenergia-ellátási szabályzatokban meghatározott módon kialakított elszámolási mérőhelyein elszámolási mérési időegységenként mért, előjelhelyesen összegzett villamosenergia-mennyiség alapján, az elszámolási ponti azonosító jelhez tartozó képlet szerint kerül meghatározásra. Az elszámolási mérési időegységenként elszámolható villamosenergia-mennyiség nem haladhatja meg a termelt villamos energiának az önfogyasztással csökkentett mértékét.
(9) A havi elszámolási villamosenergia-mennyiség az elszámolási mérési időegységenkénti mennyiségek – e rendeletben meghatározott – napszakok vagy zónaidők időtartama szerinti összegzésével kerül meghatározásra. Ha az erőműegység villamosenergia-termelése ugyanazon technológiai (primerenergia-átalakítási) folyamatban különböző energiaforrásokból történik, az adott hónapra kiszámított energiaforrás-arányokat minden zónaidőre azonosan kell alkalmazni.
(10) A (8) bekezdés szerinti elszámolási villamosenergia-mennyiség megegyezik a közcélú hálózati csatlakozási ponton mért, vagy arra vonatkoztatott betáplálási mérésadattal azon KÁT termelők esetén, ahol a műszaki feltételek egyidejű betáplálást és vételezést nem tesznek lehetővé, továbbá az adott csatlakozási ponton az adott KÁT termelő kötelező átvétel alá eső termelésén kívül más betáplálás sem lehetséges.
(11) Ha az elszámolási mérés nem a közcélú csatlakozási ponton történik, a villamos energia mért mennyiségét a mérési és a csatlakozási pont közötti szakasz hatásos veszteségével korrigálni kell. E korrekciót az elszámolási ponti képletnek is tartalmaznia kell.
(11a)32 Amennyiben a KÁT termelő közcélú csatlakozási pontját a kötelező átvételre jogosult erőműegységen kívül más erőmű vagy tároló is igénybe veszi, az e rendelet szerint elszámolható villamosenergia-mennyiség elszámolása nem a közcélú csatlakozási ponton – vagy magánvezetékre kapcsolódó termelő esetében a kapcsolódási ponton –, hanem külön almérés(ek) kialakításával, az almérő által mért vagy annak felhasználásával a mérésért felelős hálózati engedélyes által számított, a KÁT egység által termelt villamosenergia-mennyiség alapján történik, azzal, hogy a közcélú csatlakozási ponton mért energiaforgalmak előjelhelyes összegzése minden elszámolási mérési intervallumban megegyezik a hozzá tartozó elszámolási pontokra (KÁT és piaci) megállapított mennyiségek előjelhelyes összegével. Az érintett kötelező átvételre jogosult erőműegység és a csatlakozási pontját igénybe vevő más erőmű vagy tároló a VET 5. §-a szerinti rendszerszintű szolgáltatásban vagy elosztói rugalmassági szolgáltatásban kizárólag ugyanazon aggregátor útján vehet részt.
(12) A hálózatra csatlakozás során a biztonsági, a műszaki és a gazdasági szempontok összhangja érdekében az átviteli rendszerirányító, az elosztó hálózati engedélyes, a Befogadó és az erőműegység üzemeltetője a csatlakozási és az elszámolási pont kijelölésében együttműködnek és meghatározzák az elszámolási ponthoz tartozó képletet.
(13) E rendelet alkalmazásakor az erőműegység névleges teljesítőképességének nagyságát több egymással bármilyen módon műszakilag összekapcsolt főberendezés – kivéve a villamos energia hálózatra adására szolgáló vezetékeket és egyéb villamos berendezéseket – esetén azok együttes teljesítőképessége alapján kell megállapítani.
(14)33 A VET 5. §-a szerinti rendszerszintű szolgáltatás vagy elosztói rugalmassági szolgáltatás keretében értékesített szabályozási energiának a kötelező átvételi rendszeren kívüli, villamosenergia-ellátási szabályzatokban meghatározottak szerinti elszámolásán felül, a Befogadó a KÁT termelőnek a (8)–(11a) bekezdés szerinti villamosenergia-mennyiség ellenértékét a (3)–(5) bekezdés szerinti áron fizeti meg az utasítás hatályának időtartama alatt is azzal, hogy a KÁT termelő utasított eltéréseit a 15. számú melléklet 5. és 6. pontja szerint kell elszámolni a 7. § (7) bekezdése szerinti önálló kiegyenlítő menedzsmenttel együtt. A Befogadó az ezzel összefüggő villamos energia költségeket és bevételeket a VET 13. § (1) bekezdése szerinti pénzeszköz mértékének meghatározása során előjelhelyesen figyelembe veszi.
(15)34 A (14) bekezdésben hivatkozott rendszerszintű szolgáltatásra vagy elosztói rugalmassági szolgáltatásra vonatkozó adatokat az erőműegység üzemeltetője ellenőrizhető módon kimutatja és nyilvántartja, valamint ellenőrzés céljából a Hivatal rendelkezésére bocsájtja.
(16) Ha a (8) bekezdés szerinti mérés nem hitelesített mérőberendezéssel történik, akkor a kötelező átvételben értékesített villamosenergia-mennyiség tekintetében a 9. §-t kell alkalmazni.
(17)35 A kötelező átvételre jogosult termelő kérésére – a kötelező átvételi jogosultság jogutódlás vagy az erőműegység feletti rendelkezési jog átadása miatti megállapításának esetét kivéve – a kötelező átvételi jogosultságot a Hivatal nem vonhatja vissza.
A VILAMOS ENERGIA KÖTELEZŐ ÁTVÉTELÉNEK EGYES ESETEI
A megújuló energiaforrásból vagy hulladékból nyert energiával termelt villamos energia átvétele
4. § (1) A megújuló energiaforrásból nyert energiával termelt villamos energia kötelező átvételi árai az e rendelet 1. számú mellékletének 1. pontjában meghatározott bázisárakon alapulnak, ha a kötelező átvétel alá eső villamos energia mennyiségére vagy a kötelező átvétel időtartamára vonatkozóan a Hivatal e rendelet hatálybalépését megelőzően határozatot hozott (az 5 MW-nál nagyobb vízerőművek kivételével) vagy a termelő a határozatra vonatkozó hiánytalan kérelmét e rendelet hatálybalépését megelőzően benyújtotta.
(2) A megújuló energiaforrásból nyert energiával termelt villamos energia kötelező átvételi árai – az (1) bekezdés szerinti eltéréssel – az e rendelet 1. számú mellékletének 2. pontjában meghatározott bázisárakon alapulnak, ha
a) a Hivatalnak a kötelező átvétel mennyiségére és időtartamára vonatkozó határozata e rendelet hatálybalépését követően került kiadásra, és
b) az erőműegység 20 MW-nál, vagy vízerőmű esetén 5 MW-nál nem nagyobb névleges teljesítőképességű.
(3) A megújuló energiaforrásból nyert energiával termelt villamos energia kötelező átvételi árai – az (1) bekezdés szerinti eltéréssel – az e rendelet 1. számú mellékletének 3. pontjában meghatározott bázisárakon alapulnak, ha
a) a Hivatalnak a kötelező átvétel mennyiségére és időtartamára vonatkozó határozata e rendelet hatálybalépését követően került kiadásra, és
b) az erőműegység névleges teljesítőképessége 20 MW-nál nagyobb, de nem haladja meg az 50 MW-ot.
(4) A megújuló energiaforrásból nyert energiával termelt villamos energia kötelező átvételi árai – az (1) bekezdés szerinti eltéréssel – az e rendelet 1. számú mellékletének 4. pontjában meghatározott bázisárakon alapulnak, ha a villamos energia termelése 50 MW-nál nagyobb névleges teljesítőképességű erőműegységben, vagy 5 MW-nál nagyobb névleges teljesítőképességű vízerőműben történik).
(5)36 A hulladékból nyert energiával termelt villamos energia kötelező átvételi árai az e rendelet 1. számú mellékletének 5. pontjában meghatározott bázisárakon alapulnak, ha a hulladékhasznosító erőműegység nem rendelkezik a környezetvédelmi termékdíjról szóló törvény szerinti hulladékhasznosítási szolgáltatásra vonatkozó megrendeléssel, és
a) a Hivatalnak a kötelező átvétel mennyiségére és időtartamára vonatkozó határozata e rendelet hatálybalépését megelőzően került kiadásra, továbbá a belföldön keletkezett és begyűjtött, veszélyesnek nem minősülő hulladék
aa) megfelel a külön jogszabályban meghatározott hulladékgyűjtési és hulladékválogatási feltételeknek,
ab) nem tartozik az Európai Hulladék Katalógus (EWC) 05–15 főcsoportjainak valamelyikébe.
b) a Hivatalnak a kötelező átvétel mennyiségére és időtartamára vonatkozó határozata e rendelet hatálybalépését követően került kiadásra, továbbá a belföldön keletkezett és begyűjtött, veszélyesnek nem minősülő hulladék
ba) megfelel a külön jogszabályban meghatározott hulladékgyűjtési és hulladékválogatási feltételeknek, és
bb) nem tartozik az Európai Hulladék Katalógus (EWC) 05–15 főcsoportjainak valamelyikébe, továbbá
bc)37 a hulladékhasznosító erőműegység rendelkezik a hulladékgazdálkodási hatóság által kiállított nyilatkozattal arról, hogy a hulladék tüzelőanyagként történő felhasználástól eltérő egyéb módon tovább már nem hasznosítható.
(6)38 A használt berendezést is magában foglaló erőműegységben termelt villamos energia kötelező átvételi árait – az (1), valamint a (6a) és (6b) bekezdés szerinti eltéréssel – az 1. számú melléklet 4. pontjában meghatározott bázisáraknak megfelelően kell megállapítani a kötelező átvételi jogosultságnak a kérelmező részére első alkalommal történő meghatározásakor, ha az erőműegységre vonatkozó engedély e rendelet hatálybalépése után került kiadásra.
(6a)39 Ha a kötelező átvételi jogosultsággal rendelkező termelő a (6) bekezdés hatálya alá nem tartozó erőműegységét értékesíti, az erőműegység új tulajdonosa esetében az értékesített erőműegységben termelt villamos energia kötelező átvételi árai a (2)–(5) bekezdésekben meghatározott bázisárakon alapulnak.
(6b)40 E rendelet alkalmazásában nem minősül használt berendezést magában foglalónak az az erőműegység, amely esetében az engedélyben szereplő valamennyi főberendezés gyártási éve a 6. § (1) bekezdés szerinti kérelem benyújtásának időpontjában 10 évnél nem régebbi, továbbá a főberendezések elsőként Magyarországon kerültek üzembe helyezésre és igazolhatóan nem üzemeltek többet 1600 napnál.
(7)41 Vegyes tüzelés esetén a megújuló energiaforrástól vagy hulladéktól eltérő energiaforrásra számított villamosenergia-mennyiség is a kötelező átvétel alá tartozik – az 1. számú melléklet 4. pontja szerinti áron – az adott hónapban, ha a megújuló energiaforrástól vagy hulladéktól eltérő energiaforrás felhasználási aránya sem az adott hónapban, sem az adott évben nem haladja meg a 10%-ot.
(7a)42 Ha a megújuló energiaforrástól vagy hulladéktól eltérő energiaforrás felhasználási aránya meghaladja a (7) bekezdés szerinti részarányt, akkor a megújuló energiaforrástól vagy hulladéktól eltérő energiaforrásból előállított villamosenergia-mennyiség tekintetében a 9. §-t kell alkalmazni.
(8)43 Vegyes tüzelés esetén, ha a megújuló energiaforrástól vagy hulladéktól eltérő energiaforrás részaránya az 50%-ot meghaladja, akkor a kötelező átvétel alá eső villamos energia mennyiségére a (2)–(6) bekezdésben meghatározott átvételi árnál 10%-kal alacsonyabb átvételi árat kell alkalmazni.
(9)44 Ha az erőműegység villamosenergia-termelése ugyanazon technológiai (primer-energiaátalakítási) folyamatban részben megújuló energiaforrással vagy részben hulladékból nyert energiával történik, akkor a kötelező átvétel e § szerinti egyes eseteinek megfelelően figyelembe veendő villamosenergia-mennyiséget arányosan, az adott hónapban felhasznált tüzelőhő energiaforrások szerinti összetétele alapján megbontva, hőtermelés esetén a hőtermelésre is azonos energiaforrás-struktúrát figyelembe véve kell kiszámítani. Az adott hónapra kiszámított energiaforrás-arányokat minden zónaidőre azonosan kell alkalmazni. A számítást havonta a KÁT termelőnek kell elvégeznie, és azt a kereskedelmi szabályzatban meghatározott részletszabályok alapján kell igazolnia a Befogadó részére a tárgyhónapot követő hónap 2. munkanapjáig.
(10)45 Számszakilag nyilvánvalóan helytelen számítás esetén a Befogadó a tudomásra jutástól számított 5 munkanapon belül felhívja a KÁT termelőt a számítás helyesbítésére. A Befogadó a helyesbítésre biztosított határidő eredménytelen elteltét követő 5 munkanapon belül bejelentést tesz a Hivatalnak.
(10a)46 Ha a (9) bekezdés szerinti igazolás nem történik meg, vagy a számítás nyilvánvalóan helytelen, akkor az összes kötelező átvétel keretében értékesített villamosenergia-mennyiség tekintetében a 9. §-t kell alkalmazni. Helyesbítés esetén a 9. § (2) bekezdése szerinti különbség elszámolására a 4. számú melléklet II. Különös szabályok 10. pontja szerinti korrekció során kerül sor.
(11)47 Az erőműegység feletti rendelkezési jog átadása esetén a Hivatal – ha a jogszabályi feltételek fennállnak – az erőműegységre a Hivatal határozatában megállapított kötelező átvételi időtartamból és kötelező átvétel alá eső villamosenergia-mennyiségből a rendelkezési jog átadása időpontjában még fennmaradó részt állapítja meg azon személy számára, aki az erőműegységgel az átadást követően rendelkezni jogosult.
(12)48 A KÁT mérlegkörben lévő KÁT termelő jogosult a KÁT mérlegkör helyett más mérlegkörhöz való csatlakozásra, azzal, hogy a KÁT termelő a KÁT mérlegkörből történő kilépést követően a KÁT mérlegkörhöz nem csatlakozhat újra. Amennyiben a KÁT mérlegkörből kilépő termelő a kötelező átvétel keretében történő támogatás helyett a támogatás METÁR rendelet szerinti prémium típusú támogatás szabályai szerinti elszámolására prémium típusú támogatási szerződést köt, az alkalmazandó támogatott ár a termelőre vonatkozó aktuális kötelező átvételi árak időben egyenletes termelés melletti átlagának 1. számú melléklet szerinti szorzótényezővel módosított értékével egyezik meg, és a támogatás időtartama változatlan marad. Amennyiben a KÁT mérlegkörből kilépő termelő nem köt prémium típusú támogatási szerződést a KÁT termelőnek, a Hivatal kötelező átvételi jogosultságot megállapító határozatában foglalt jogai a KÁT mérlegkörből kilépés napjával megszűnnek, azzal a kivétellel, hogy a Hivatal által a kötelező átvételi jogosultságára vonatkozó határozatában megállapított támogatási időtartam leteltéig és a határozatban megállapított eredeti tevékenységre vonatkozóan a távhőszolgáltatás versenyképesebbé tételéről szóló törvény alkalmazásában a villamos energia kötelező átvételi rendszerében értékesítő termelőnek minősül.
(12a)49 A KÁT mérlegkör (12) bekezdése szerinti önkéntes elhagyása és a METÁR rendelet hatálya alá kerülése esetén a Befogadó a támogatott árat havonta a 14. számú melléklet 5. pontja szerinti szabályozási pótdíjcsökkentés mértékével növeli meg.
(12b)50
(13)51 A kötelező átvételre jogosult erőműegység a kötelező átvétel keretében megállapított támogatás igénybevételével egyidejűleg a közcélú hálózaton piaci alapon úgy értékesíthet villamos energiát, ha másik mérlegkörhöz csatlakozik, továbbá a kötelező átvételi támogatás METÁR rendelet szerinti prémium típusú támogatás szabályai szerinti kifizetésére a Befogadó Üzletszabályzata szerinti Prémium támogatási szerződést köt a Befogadóval. Ebben az esetben a (12)–(12a) bekezdés szerint meghatározott támogatott árat és időtartamot kell alkalmazni, és a továbbiakban az erőműegység KÁT mérlegkörhöz való csatlakozására nincs lehetőség.
(14)52 A (13) bekezdéstől eltérően a KÁT termelőnek nem kell más mérlegkörhöz csatlakoznia és a kötelező átvételi támogatás METÁR rendelet szerinti prémium típusú támogatás szabályai szerinti kifizetésére prémium támogatási szerződést kötnie a Befogadóval, ha a kötelező átvételi rendszerben értékesíthető villamos energiát
a) a VET 5. §-ának megfelelően az átviteli rendszerirányító által a rendszerszintű szolgáltatások biztosításához igényelt villamosenergia-termelés során az átviteli rendszerirányító részére értékesíti,
b) az elosztói rugalmassági szolgáltatás keretében az elosztó hálózati engedélyes részére értékesíti, vagy
c) a KÁT termelő a 7. § (7) bekezdése szerinti önálló kiegyenlítő menedzsment alapján értékesíti piaci alapon.
5. §53 (1) Szilárd biomasszát felhasználó erőműegységek esetében a 4. § (1) bekezdése szerinti kötelező átvételi árat a Hivatal a termelő legkésőbb 2025. október 31. napjáig beérkezett kérelmére egyszer felülvizsgálja.
(2) A felülvizsgált kötelező átvételi ár meghatározása során a kérelem benyújtásának időpontjában alkalmazott kötelező átvételi árnak a Központi Statisztikai Hivatal által a 2021–2024. évekre a tárgyévet követő évben közzétett, 50202 kódszámú, ’Egységes fűrészelt tűzifa, 100 kg’ elnevezésű termék kumulált árváltozásának és az ugyanezen időszakra közzétett éves fogyasztói árindex kumulált értéke különbözetének megfelelő mértékű növelésével történik azzal, hogy az így kiosztott többlet éves új támogatás összege kérelmezőnként nem haladhatja meg az (5) bekezdésben meghatározott többlet éves új támogatási keretösszeg 50%-át.
(3) Amennyiben a Központi Statisztikai Hivatal által tárgyévre közzétett, 50202 kódszámú, ’Egységes fűrészelt tűzifa, 100 kg’ elnevezésű termék éves fogyasztói átlagára a tárgyévet megelőző értékhez képest legalább 30%-kal csökken, úgy a Hivatal az (1)–(2) bekezdés alapján megállapított támogatott árakat felülvizsgálhatja.
(4) Az (1) bekezdés szerint felülvizsgált kötelező átvételi árat az 5. számú melléklet szerint kell indexálni.
(5) Az (1) és a (2) bekezdés és a METÁR rendelet 14. § (2a) bekezdése szerinti felülvizsgálat keretében kiosztható többlet éves új támogatás együttes keretösszegét a METÁR rendelet 14. § (2c) bekezdése határozza meg.
5/A. §54 (1) A megújuló energiaforrásból termelt villamos energia kötelező átvételi és prémium típusú támogatásáról szóló rendelet szerinti prémium típusú támogatás szabályai szerinti elszámolásra váltó KÁT termelőre vonatkozó kötelező átvételi árak kivételével az átvételi ár meghatározása során az 5. számú melléklet szerinti éves indexálás módszere 2029. december 31-ig nem alkalmazható. Ezen időszakban a Hivatal a kötelező átvételi árakat a tárgyévet megelőző évre megállapított szinten állapítja meg és teszi közzé.
(2) Ha a Központi Statisztikai Hivatal által a tárgyévet megelőzően utoljára közzétett, a megelőző év azonos időszakához viszonyított aktuális (utolsó) éves fogyasztói árindex értéke az 1,06-ot eléri, a tárgyévre az (1) bekezdésben foglaltakat nem kell alkalmazni.
A KÖTELEZŐ ÁTVÉTELI ELJÁRÁS
A kötelező átvételi jogosultság megállapítására vonatkozó eljárás
6. §55 (1) Az 1. § (6) bekezdése szerinti esetekben a KÁT termelőnek a kötelező átvétel időtartamának és az átvétel alá eső villamos energia mennyiségének megállapítása céljából a Hivatal honlapján közzétett formanyomtatvány alapján kérelmet (a továbbiakban: kérelem) kell benyújtania a Hivatalhoz.
(2)56 A kötelező átvételre való jogosultságot a KÁT termelő elveszíti, ha a villamosenergia-termelés nem kezdődik meg a kereskedelmi üzem megkezdésének a kérelemben meghatározott, tervezett időpontjától számított három – 2016. január 1-jét követően benyújtott, napelemes erőműre vonatkozó kérelem esetén egy – éven belül.
(2a)57 2016. január 1-jét követően benyújtott, napelemes erőműre vonatkozó kérelem esetén kérelmezhető a Hivataltól a (2) bekezdés szerinti, villamosenergia-termelés megkezdésére vonatkozó határidő 1 évvel történő meghosszabbítása a kötelező átvételi ár 18,75%-os csökkentése mellett a következő feltételek együttes fennállása esetén:
a) a beruházás helyszínéül szolgáló terület feletti rendelkezési jog igazolása,
b) a beruházás finanszírozásához szükséges források rendelkezésre állásának igazolása,
c) a hálózati csatlakozási szerződés meglétének igazolása, és
d) az építési engedély meglétének igazolása.
(2b)58 A kötelező átvételi jogosultság (2) bekezdés szerinti elvesztése nem vonatkozik azokra az engedélyköteles erőműegységekre, amelyek kivitelezése 2016. július 1-je előtt megkezdődött.
(2c)59
(3) A KÁT termelő a kérelméhez csatolni köteles azokat a hitelt érdemlő dokumentumokat, amelyek igazolják, hogy milyen fajtájú és összegű más támogatást (így különösen beruházási támogatás, adómentesség vagy adókedvezmény, egyéb közvetlen ártámogatás vagy kedvezményes csatlakozási díj) vett, vesz vagy tervez igénybe venni.
(4) A (3) bekezdésben foglaltakon túlmenően a kérelemhez mellékelni kell az igazgatási szolgáltatási díj Hivatal részére történő befizetésének pénzintézeti igazolását.
(5)60 Ha egy adott beruházás a VET 11. § (7) bekezdése szerinti, a kötelező átvételi jogosultságát megállapító határozatban figyelembe vettől eltérő mértékű egyéb támogatásban részesül, akkor a Hivatal e beruházás esetében az indokolt beruházási költség és az egyéb támogatás aránya alapján módosított kötelező átvételi időtartamot határoz meg. A Hivatal a támogatások jelenértékét veszi figyelembe, ha egy beruházás több éven keresztül kap egyéb támogatást. Ha az egyéb támogatás mértéke megváltozik, a KÁT termelőnek a változás bekövetkezésétől számított nyolc napon belül kérnie kell a Hivataltól a kötelező átvétel időtartamának és a kötelező átvétel alá eső villamos energia mennyiségének ismételt megállapítását.
(6) Kötelező átvételi jogosultság nem állapítható meg azon termelő javára, akinek esetében a 9/A. § szerinti kizáró okok valamelyike fennáll.
(7)61 A kötelező átvételre jogosult termelő a villamosenergia-termelést a KÁT mérlegkörben kezdi meg, amelyhez a Befogadó Üzletszabályzata szerinti KÁT mérlegkör-tagsági szerződést köt a Befogadóval. A szerződés megkötésére vonatkozó eljárásrendet a kereskedelmi szabályzat és Befogadó Üzletszabályzata határozza meg. A KÁT mérlegkörhöz való csatlakozás legkorábban annak a hónapnak az első napjától lehetséges, amelyben a villamosenergia-termelés várhatóan megkezdődik. A Befogadó a Hivatal határozatában megállapított időtartam és a kötelező átvételre kerülő éves villamosenergia-mennyiség szorzataként számított összes kötelező átvételre kerülő villamosenergia-mennyiséget (a továbbiakban: összes átveendő energia) folyamatosan – éves mennyiség szerinti megszakítás alkalmazása nélkül – veszi át. A kötelező átvételi jogosultság a kötelező átvételre meghatározott időtartam leteltével vagy az összes átveendő energia értékesítésével egyaránt megszűnik.
(8)62 A biomasszából vagy biogázból (kivéve a hulladéklerakóból, illetve szennyvízkezelő létesítményből származó gázból) villamos energiát termelő KÁT termelő a Hivatal határozata alapján a kötelező átvétel keretében történő értékesítést akkor kezdheti meg, ha a Hivatal és a Befogadó felé hitelt érdemlően bizonyítja, hogy az erőműegység hatásfoka eléri a 7. számú mellékletben meghatározott értékeket. E bekezdés szempontjából biomasszából vagy biogázból villamos energiát termelő KÁT termelő esetében nem minősül az értékesítés megkezdésének, ha a KÁT termelő korábban már a kötelező átvételi rendszerben értékesített.
(9)63 A kötelező átvétel időtartamának és a kötelező átvétel alá eső villamos energia mennyiségének meghatározásáról szóló határozat a telephely tekintetében akkor módosítható, ha
a) a telephely helyrajzi száma telekalakítási eljárásban hozott határozat következtében módosul, de a telephely fizikai elhelyezkedése nem változik, vagy
b) az erőműegység telephelyeként a határozatban több helyrajzi szám került megjelölésre, de az erőműegység tényleges telephelyeként nem valamennyi megjelölt helyrajzi számú ingatlan szolgál.
(10)64 A kötelező átvételi jogosultság megállapítására, módosítására vonatkozó eljárásban nem alkalmazható az általános közigazgatási rendtartásról szóló 2016. évi CL. törvény 49. §-a.
6/A. §65
A kötelező átvételi jogosultság gyakorlásának szabályai
7. §66 (1) A KÁT termelő az e rendelet feltételeinek megfelelő villamos energiát a kötelező átvétel keretében, a Hivatal határozatában megállapított kötelező átvételi időtartam alatt, a Hivatal által meghatározott éves mennyiségek, vagy az előbbiek szorzataként meghatározott összes átveendő energia mértékéig értékesítheti az e rendelet szerinti átvételi áron.
(2) Ha a villamosenergia-termelés biomassza felhasználásával történik a KÁT termelő a megújuló energia közlekedési célú felhasználásának előmozdításáról és a közlekedésben felhasznált energia üvegházhatású gázkibocsátásának csökkentéséről szóló törvény rendelkezéseinek megfelelően igazolja erdei biomassza és fásszárú biomassza esetében, hogy a biomassza fenntartható gazdálkodásból származik, és nem tartozik a VET 10. § (2) bekezdése hatálya alá. A Magyarország területén kívül keletkezett erdőgazdálkodásból származó biomassza esetén a fenntartható gazdálkodást a KÁT termelő a Forest Stewardship Council (FSC) vagy Programme for the Endorsement of Forest Certification (PEFC) tanúsítványával igazolja, és nyilatkozik a VET 10. § (2) bekezdése alóli mentességről.
(3) Ha a villamosenergia-termelés biomassza felhasználásával történik, a KÁT termelő nyilatkozik, hogy a tüzelőanyagként felhasznált biomassza emberi élelmezés céljára nem alkalmas. Az élelmiszer-biztonsági szerv a biomasszának a KÁT termelő nyilatkozatának megfelelő minőségét szúrópróba-szerűen ellenőrzi.
(4) A KÁT termelő biomasszából vagy biogázból nyert villamos energia kötelező átvételi jogosultság keretében történő támogatásra akkor jogosult, ha a megtermeléséhez felhasznált energiaforrás energiatartalma a megújuló energiaforrásokból előállított energia használatának előmozdításáról szóló, 2018. december 11-i (EU) 2018/2001 európai parlamenti és tanácsi irányelv 29. cikke alapján a 29. cikk (1) bekezdés a) és c) pontjában említett célokra figyelembe vehető.
(5) A Menetrendadásra kötelezett a Befogadó részére a megújuló energiaforrásokból nyert energiával termelt villamos energia működési támogatásának finanszírozásához szükséges pénzeszköz mértékének megállapítási módjára és megfizetésére vonatkozó részletes szabályokról szóló miniszteri rendeletben (a továbbiakban: finanszírozási rendelet), a kereskedelmi szabályzatban és a mérlegkör-tagsági szerződésében foglaltak szerint a hónap minden napjára napi termelési menetrendet ad.
(6) A Menetrendadásra kötelezett a finanszírozási rendeletben, a kereskedelmi szabályzatban és a mérlegkör-tagsági szerződésében foglaltak szerint jogosult napon belüli termelési menetrend nyújtására. Ha a Menetrendadásra kötelezett a napon belüli termelési menetrendet nem vagy nem a villamosenergia-ellátási szabályzatokban meghatározottaknak megfelelően, vagy késedelmesen adja meg, akkor a napi termelési menetrend automatikusan napon belüli termelési menetrenddé válik.
(7) A Menetrendadásra kötelezett az önálló kiegyenlítő menedzsmentje során jogosult
a) a napon belüli termelési menetrendadási határidőt követően, de a villamos energia tényleges szállítását megelőzően menetrend alapú villamos energia ki- és beszállítására a KÁT mérlegkör és valamely – a szervezett villamosenergia-piac mérlegkörétől eltérő – piaci mérlegkör között,
b) a tényleges szállítás időszakában tény alapú villamos energia – nem közvetlenül végfelhasználási célra történő – vételezésére a KÁT mérlegkörből a KÁT mérlegkörben önálló elszámolási ponttal rendelkező rendszerhasználó részére és
c) a tényleges szállítás időszakában tény alapú villamos energia betáplálására a KÁT mérlegkörbe a KÁT mérlegkörben önálló elszámolási ponttal rendelkező rendszerhasználó részéről.
(8) Az a)–c) pont végrehajtására vonatkozó szabályokat a kereskedelmi szabályzat állapítja meg. A Befogadó az a)–c) pont végrehajtásával összefüggő villamos energia költségeit és bevételeit a 15. számú mellékletben meghatározottak szerint számolja el és a VET 13. § (1) bekezdése szerinti pénzeszköz mértékének meghatározása során előjelhelyesen veszi figyelembe.
(9) A Befogadó és az önálló kiegyenlítő menedzsmentben a (7) bekezdés a) pontja szerint részt vevő mérlegkör-felelős az önálló kiegyenlítő menedzsmenttel összefüggő belkereskedelmi menetrendeket a kereskedelmi szabályzatban meghatározottak szerint bejelenti. Ha a KÁT mérlegkör és a piaci mérlegkör egymás viszonylatában értett, belkereskedelmi menetrendje eltérő, akkor az átviteli rendszerirányító a KÁT mérlegkör menetrendjét tekinti érvényesnek, és ebben az értelemben módosítja az érintett mérlegkör-felelős menetrendjét.
(10) Az önálló kiegyenlítő menedzsmentben a (7) bekezdés b) és c) pontja szerint részt vevő rendszerhasználó termelési és fogyasztási menetrendje a KÁT mérlegkör viszonylatában nulla értékű.
(11)67 A Menetrendadásra kötelezettnek a menetrendek tekintetében teljes kiegyenlítési kötelezettsége van. Ha a KÁT termelő – összevont menetrend esetén a Menetrend-csoportba tartozó KÁT termelők – által az adott elszámolási mérési időegységben a 3. § (6) bekezdése szerinti villamos energia mennyisége eltér a (7) bekezdés szerinti önálló kiegyenlítő menedzsment és az utasított eltérések figyelembevételével a Menetrendadásra kötelezett napon belüli termelési menetrendje szerinti villamosenergia-mennyiségtől, akkor a Befogadó a 14. számú mellékletben meghatározott szabályozási pótdíjat számolja el a Menetrendadásra kötelezettel. Ha a Menetrendadásra kötelezett a napi termelési menetrendet nem vagy nem a villamosenergia-ellátási szabályzatokban meghatározottaknak megfelelően vagy késedelmesen adja meg, akkor az elszámolások során azt nulla értékkel kell figyelembe venni.
(12) A 3. § (2) bekezdése szerinti összevont menetrendadás esetén a 14. számú melléklet szerinti szabályozási pótdíj megfizetéséért a Menetrend-csoport Képviselő a Menetrend-csoportjába tartozó KÁT termelőkkel egyetemlegesen felel.
(13)68 A Befogadó a (11) bekezdés szerinti szabályozási pótdíj havi összegét a VET 13. § (1) bekezdése szerinti pénzeszköz mértékének meghatározása során előjelhelyesen veszi figyelembe.
Eredetigazolás
8. §69 (1)–(9)70
(10)–(12)71
Ellenőrzés
9. §72 (1)73 Ha a Hivatal ellenőrzése során megállapítja, hogy a KÁT termelő, vagy az általa e rendelet hatálya alatt értékesített villamos energia (vagy annak egy része) nem felelt meg a jogszabályi feltételeknek, akkor határozatában
a) megállapítja, hogy hány kWh értékesítése történt a kötelező átvétel keretében e rendelet előírásainak megsértésével összefüggésben,
b)74 a (2) bekezdésben foglaltakra – 2025. március 1-je előtt termelt villamos energia esetében kizárólag az értékesítés időpontjában hatályos jogszabályokra – figyelemmel megállapítja a Befogadó részére fizetendő visszatérítés pontos összegét, valamint a visszatérítés időbeli ütemezését a teljesítésre (részteljesítésre) nyitva álló határidővel,
c)75 meghatározza azokat a feltételeket, amelyek teljesítése esetén a KÁT termelő továbbra is értékesíthet villamos energiát a kötelező átvétel keretében, valamint
d)76 a VET 96. § (1) bekezdés b) pontja szerinti bírságot szab ki a KÁT termelővel szemben, és szükség esetén további, VET szerinti jogkövetkezményt alkalmaz.
(2)77 A KÁT termelő köteles az (1) bekezdés szerinti határozatban megállapított villamosenergia-mennyiség minden kWh-ja után az általa kapott, a rá vonatkozó kötelező átvételi árak és a METÁR rendelet szerinti referencia piaci árak különbségét visszatéríteni a Befogadónak.
(3)78
(3a)79 A Hivatal az (1) bekezdés szerinti eljárása során enyhítő körülményként figyelembe veszi, ha a KÁT termelő a jogosulatlanul értékesített villamos energia mennyiség után a Befogadóval együttműködve a (2) bekezdés szerinti áron önként elszámolt.
(4)80 A KÁT termelő köteles a határozatban megállapított visszatérítést a Befogadó részére megfizetni, aki köteles a visszatérítés összegét a VET 13. §-a szerinti pénzeszköz mértékének meghatározásakor előjelhelyesen figyelembe venni.
(5)81 Határidőben történő önkéntes teljesítés hiányában követelését a Befogadó a (2) bekezdés szerinti mértékig a 4. számú melléklet Áralkalmazási feltételek II. Különös szabályok 1. pontja szerinti havi számla összegébe beszámítással érvényesítheti.
(6)82 Amennyiben a KÁT termelő nem teljesíti az (1) bekezdés c) pontja szerinti feltételeket, akkor mindaddig nem jogosult kötelező átvétel keretében villamos energiát értékesíteni, amíg e feltételeket nem teljesíti.
(7)83 A Hivatal az azonos KÁT termelőhöz tartozó erőműegységeket erőműegységenként is ellenőrizheti, és jogosult az e §-ban és a 9/A. §-ban foglaltakat a KÁT termelővel szemben erőműegységenként alkalmazni.
A kötelező átvételi rendszerben való részvételből történő kizárás84
9/A. §85 (1)86 A kötelező átvételi rendszerben nem értékesíthet az a KÁT termelő,
a)87 aki az adózás rendjéről szóló 2017. évi CL. törvény (a továbbiakban: Art.) szerint nem minősül köztartozásmentes adózónak,
b)88 aki az 1. § (6) bekezdése vagy a 6. § szerinti kérelem benyújtását megelőző három naptári éven belül – továbbá az e rendelet alapján a KÁT termelő részére a Hivatal kötelező átvételi jogosultságot megállapító határozatában meghatározott mennyiségű villamos energia Befogadó részére történő átadásáig, vagy a Hivatal határozatában megjelölt átvételi időtartam lejártáig – az államháztartás alrendszereiből, az Európai Unió előcsatlakozási eszközeiből vagy a strukturális alapokból juttatott valamely támogatással összefüggésben a támogatási szerződésben vállalt kötelezettségét neki felróható okból nem vagy csak részben teljesítette,
c)89 aki ellen az Európai Bizottságnak valamely támogatás visszafizetésére kötelező határozata van hatályban,
d)90 akivel szemben az 1. § (6) bekezdése vagy a 6. § szerinti kérelem benyújtását megelőző három naptári éven belül – továbbá az e rendelet alapján a KÁT termelő részére a Hivatal kötelező átvételi jogosultságot megállapító határozatában meghatározott mennyiségű villamos energia Befogadó részére történő átadásáig, vagy a Hivatal határozatában megjelölt átvételi időtartam lejártáig – a tisztességtelen piaci magatartás és a versenykorlátozás tilalmáról szóló 1996. évi LVII. törvény 11. § vagy 21. §-a szerinti rendelkezések megsértését a Gazdasági Versenyhivatal bírság kiszabásával egyidejűleg véglegesen megállapította,
e)91 akivel szemben az 1. § (6) bekezdése vagy a 6. § szerinti kérelem benyújtását megelőző három naptári éven belül – továbbá az e rendelet alapján a KÁT termelő részére a Hivatal kötelező átvételi jogosultságot megállapító határozatában meghatározott mennyiségű villamos energia Befogadó részére történő átadásáig, vagy a Hivatal határozatában megjelölt átvételi időtartam lejártáig – a bíróság – a jogi személlyel szemben kiszabható büntetőjogi intézkedésekről szóló törvénnyel összhangban – bűncselekmény elkövetését jogerősen megállapította,
f)92 akiről a Hivatal határozatában megállapítja, hogy a jogosultság megállapítására vagy a jogosultság gyakorlásának ellenőrzésére irányuló eljárásban valótlan vagy hamis adatot szolgáltatott,
g)93 aki a tevékenységére vonatkozó jogszabályi vagy villamosenergia-ellátási szabályzatokban meghatározott előírásoknak nem tesz eleget,
h)94
i)95
j)96
k)97
l)98 aki kényszertörlési eljárás alatt áll,
m)99 aki a 6. § (2b) bekezdés szerinti esetben az erőmű kivitelezésének megkezdését hitelt érdemlően nem tudja igazolni.
(2)100 A Hivatal a kizáró okok fennállását a kötelező átvételi jogosultságot megállapító határozatának meghozatalát követően is vizsgálja. A Befogadó a KÁT mérlegkör tagsági szerződések megkötésekor vizsgálja a kötelező átvételi rendszerben történő értékesítéshez szükséges engedélyek meglétét. Ha a Befogadó az (1) bekezdésében foglalt körülmények bármelyikét észleli, eljárást kezdeményez a Hivatalnál.
(3)101 Ha a Hivatal az (1) bekezdés a) vagy c) pontja szerinti kizáró ok fennállását állapítja meg, akkor a kötelező átvételi rendszerben való értékesítést a kizáró ok fennállásáig felfüggeszti.
(3a)102 Ha a Hivatal az (1) bekezdés g) pontja szerinti kizáró ok fennállását állapítja meg, a kötelező átvételi rendszerben való értékesítést a kizáró ok fennállásáig felfüggesztheti. Ha a felfüggesztés oka a felfüggesztéstől számított 3 hónap elteltével is fennáll, úgy a Hivatal rendelkezhet a kötelező átvételi jogosultságból történő kizárásról.
(4)103 Ha a Hivatal az (1) bekezdés b) vagy d)–f) és l)–m) pontja szerinti kizáró ok fennállását állapítja meg, rendelkezik a kötelező átvételi jogosultságból történő kizárásról.
(5)104 Ha a Hivatal a hatósági ellenőrzés során olyan adatról, tényről, információról szerez tudomást, amely alapján feltételezi, hogy a hatósági ellenőrzés eredményeként a KÁT termelővel szemben a (3) bekezdésben meghatározott kizáró okok valamelyike kerül alkalmazásra, úgy a Hivatal határozatával kötelezi a Befogadót, hogy a KÁT termelővel – a hatósági ellenőrzés lezárásáig –, az érintett KÁT termelőre vonatkozó kötelező átvételi árak helyett a METÁR rendelet szerinti referencia piaci áron számoljon el. Ha a hatósági ellenőrzést lezáró döntésben nem kerül sor a (3) bekezdésben meghatározott kizárási okok alkalmazására, úgy a Befogadó köteles a KÁT termelő részére a hatósági eljárás megkezdésének időpontjára visszamenőlegesen megtéríteni a KÁT termelőre vonatkozó kötelező átvételi árak és a METÁR rendelet szerinti referencia piaci árak különbségét az elszámolt villamosenergia-mennyiség után.
(6) Az (1) bekezdés a) pontja szerinti kizáró feltétel fennállásának hiányát a termelő
a) 30 napnál nem régebben kiállított közokirattal igazolja, vagy
b) szerepel a köztartozásmentes adózói adatbázisban.
ZÁRÓ RENDELKEZÉSEK
Záró rendelkezések
10. § (1) Ez a rendelet – a (2)–(5) bekezdésben foglalt eltérésekkel – 2008. január 1-én lép hatályba.
(2) A (9)–(10) bekezdés 2008. január 2-án lép hatályba.
(3) A rendelet 8. §-a 2008. január 9-én lép hatályba.
(4) A rendelet 13. számú mellékletének hatálybalépéséről külön jogszabály rendelkezik.
(5) A rendelet 6. számú melléklete helyébe a rendelet 13. számú melléklete lép, egyidejűleg a rendelet 3. §-ának (3) bekezdése hatályát veszti. E bekezdés hatálybalépéséről külön jogszabály rendelkezik.
(6) Az e rendelet alapján meghatározott árakat az e rendelet hatálybalépése után termelt villamos energiára kell alkalmazni.
(7)105
(8) E § (7) bekezdése továbbá (9)–(10) bekezdése 2008. január 3-án hatályát veszti.
(9)–(10)106
Átmeneti rendelkezések
11. § (1)107 E rendelet rendelkezéseit a (2)–(8) és (15) bekezdés szerinti eltérésekkel kell alkalmazni az 1. § (3) bekezdés a) pontja szerinti KÁT termelőkre.
(2)108
(3)109
(4)110
(5)–(9)111
(10)112
(11)113
(12)114
(13)115
(14)116
(15)117
11/A. §118 E rendeletnek a megújuló energiaforrásból vagy hulladékból nyert energiával termelt villamos energia, valamint a kapcsoltan termelt villamos energia kötelező átvételéről és átvételi áráról szóló 389/2007. (XII. 23.) Korm. rendelet, valamint a megújuló energiaforrásból termelt villamos energia kötelező átvételi és prémium típusú támogatásáról szóló 299/2017. (X. 17.) Korm. rendelet módosításáról szóló 265/2025. (VIII. 13.) Korm. rendelettel (a továbbiakban: MódR1.) megállapított 5. §-át a MódR1. hatálybalépésekor119 fennálló támogatási jogosultságokra is alkalmazni kell.
11/B. §120 (1)121
(2) A kötelező átvétel mérlegkörében 2011. július 1-jét megelőzően értékesített, kapcsoltan termelt villamos energia elszámolására az értékesítés időpontjában hatályos rendelkezések alapján kerül sor.
11/C. §122 E rendeletnek a megújuló energiaforrásból vagy hulladékból nyert energiával termelt villamos energia, valamint a kapcsoltan termelt villamos energia kötelező átvételéről és átvételi áráról szóló 389/2007. (XII. 23.) Korm. rendelet és az energiahatékonyságról, valamint a megújuló energiaforrásból származó villamos energia működési támogatásáról szóló egyes kormányrendeletek módosításáról szóló 393/2016. (XII. 5.) Korm. rendelet módosításáról szóló 232/2017. (VIII. 14.) Korm. rendelettel módosított rendelkezéseit a hatálybalépésekor123 folyamatban levő eljárásokban is alkalmazni kell.
11/D. §124 E rendeletnek a villamos energiáról szóló 2007. évi LXXXVI. törvény egyes rendelkezéseinek végrehajtásáról szóló 273/2007. (X. 19.) Korm. rendelet módosításáról, valamint a megújuló energiaforrásból vagy hulladékból nyert energiával termelt villamos energia, valamint a kapcsoltan termelt villamos energia kötelező átvételéről és átvételi áráról szóló 389/2007. (XII. 23.) Korm. rendelet módosításáról szóló 256/2018. (XII. 18.) Korm. rendelettel (a továbbiakban: MódR.) megállapított 6. § (10) bekezdését a MódR. hatálybalépésekor125 folyamatban levő eljárásokban is alkalmazni kell azzal, hogy a MódR. hatálybalépéséig benyújtott szünetelési kérelmeket a Hivatal köteles érdemben elbírálni, de a továbbiakban szünetelés kérésére nincs lehetőség.
11/E. §126 A villamosenergia-termelést az egyes villamos energia tárgyú rendeletek módosításáról szóló 229/2022. (VI. 28.) Korm. rendelet (a továbbiakban: MódKr.) hatálybalépése127 előtt megkezdő, kötelező átvételre jogosult erőműegység esetében, amelyre a termelő a MódKr. hatálybalépését megelőzően nem kötötte meg a KÁT mérlegkör-tagsági szerződést, vagy nem kérte a támogatás METÁR rendelet szerinti prémium típusú támogatás szabályai szerinti elszámolását, legkésőbb a MódKr. hatálybalépésétől számított egy éven belül megköti a Befogadó Üzletszabályzata szerinti KÁT mérlegkör-tagsági szerződést vagy prémium támogatási szerződést. Prémium támogatási szerződés megkötése esetén az erőműegység KÁT mérlegkörhöz – biomasszát vagy biogázt felhasználó erőműegység kivételével – nem csatlakozhat. Az e bekezdés szerinti erőműegységek esetében a támogatási időtartam számítása a MódKr. hatálybalépését követő hónap első napján megkezdődik.
11/F. §128 A MódKr. hatálybalépése előtt villamosenergia-termelést megkezdő, kötelező átvételre jogosult erőműegység esetében, amely tekintetében az engedélyes korábban már kötött KÁT mérlegkör-tagsági szerződést, a MódKr. hatálybalépésekor nem tagja a KÁT mérlegkörnek, és nem kérte a támogatás METÁR rendelet szerinti prémium típusú támogatás szabályai szerinti elszámolását, az erőműegységet üzemeltető termelő legkésőbb 2025. július 1-jei hatálybalépéssel a Befogadó Üzletszabályzata szerinti KÁT mérlegkör-tagsági szerződést köt vagy Prémium támogatási szerződést köt. Prémium támogatási szerződés megkötése esetén az erőműegység a KÁT mérlegkörhöz nem csatlakozhat újra.
Az Európai Unió Jogának Való Megfelelés
12. § Ez a rendelet a következő uniós jogi aktusoknak való megfelelést szolgálja:
a) az Európai Parlament és a Tanács 2001/77/EK irányelve (2001. szeptember 27.) a belső villamosenergia-piacon a megújuló energiaforrásból előállított villamos energia támogatásáról;
b) az Európai Parlament és a Tanács 2004/8/EK irányelve (2004. február 11.) a hasznos hőigényen alapuló kapcsolt energiatermelés belső energia piacon való támogatásáról és a 92/42/EGK irányelv módosításáról;
c)129
1. számú melléklet a 389/2007. (XII. 23.) Korm. rendelethez130
|
Ft/kWh |
|
|
Csúcsidőszak |
29,56 |
|
Völgyidőszak |
26,46 |
|
Mélyvölgy időszak |
10,80 |
|
Ft/kWh |
|
|
Csúcsidőszak |
26,46 |
|
Völgyidőszak |
26,46 |
|
Mélyvölgy időszak |
26,46 |
|
Ft/kWh |
|
|
Csúcsidőszak |
29,56 |
|
Völgyidőszak |
26,46 |
|
Mélyvölgy időszak |
10,80 |
|
Ft/kWh |
|
|
Csúcsidőszak |
26,46 |
|
Völgyidőszak |
26,46 |
|
Mélyvölgy időszak |
26,46 |
|
Ft/kWh |
|
|
Csúcsidőszak |
23,65 |
|
Völgyidőszak |
21,17 |
|
Mélyvölgy időszak |
8,63 |
|
Ft/kWh |
|
|
Csúcsidőszak |
29,56 |
|
Völgyidőszak |
26,46 |
|
Mélyvölgy időszak |
10,80 |
|
Ft/kWh |
|
|
Csúcsidőszak |
18,39 |
|
Völgyidőszak |
11,77 |
|
Mélyvölgy időszak |
11,77 |
|
Ft/kWh |
|
|
Csúcsidőszak |
27,73 |
|
Völgyidőszak |
19,11 |
|
Mélyvölgy időszak |
9,97 |
2. számú melléklet a 389/2007. (XII. 23.) Korm. rendelethez131
3. számú melléklet a 389/2007. (XII. 23.) Korm. rendelethez132
1. A napszakok időtartamának meghatározása során alkalmazott erőműegység-csoportosítás.
|
|
A |
B |
|---|---|---|
|
1 |
Erőműegység |
Érintett elosztási terület |
|
2 |
1. |
E.ON Dél-dunántúli Áramhálózati Zrt., |
|
3 |
2. |
E.ON Észak-dunántúli Áramhálózati Zrt., |
|
4 |
3. |
ELMŰ Hálózati Elosztó Kft., |
2. Az 1. számú melléklet szerinti árak alkalmazása szempontjából az egyes napszakok (zónaidők) időtartamát munkanapokon
– a mindenkor érvényes (közép-európai) időszámítás (a továbbiakban: téli időszámítás), valamint
– a külön jogszabály szerint elrendelt nyári időszámítás tartama alatt
a következőképpen kell figyelembe venni:
a)
|
Az 1. erőműegység csoport esetében |
Téli időszámítás |
Nyári időszámítás |
|---|---|---|
|
Csúcsidőszak |
06:00–22:00 |
07:00–23:00 |
|
Völgyidőszak |
22:00–01:30 és 05:00–06:00 |
23:00–02:30 és 06:00–07:00 |
|
Mélyvölgyidőszak |
01:30–05:00 |
02:30–06:00 |
b)
|
A 2. erőműegység csoport esetében |
Téli időszámítás |
Nyári időszámítás |
|---|---|---|
|
Csúcsidőszak |
06:30–22:30 |
07:30–23:30 |
|
Völgyidőszak |
22:30–02:00 és |
23:30–03:00 és |
|
Mélyvölgyidőszak |
02:00–05:30 |
03:00–06:30 |
c)
|
A 3. erőműegység csoport esetében |
Téli időszámítás |
Nyári időszámítás |
|---|---|---|
|
Csúcsidőszak |
07:00–23:00 |
08:00–24:00 |
|
Völgyidőszak |
23:00–02:30 és 6:00–7:00 |
24:00–03:30 és 7:00–8:00 |
|
Mélyvölgyidőszak |
02:30–06:00 |
03:30–07:00 |
3. Nem munkanapnak számító napokon az egyes napszakok (zónaidők) időtartamát a következőképpen kell figyelembe venni:
a)
|
Az 1. erőműegység csoport esetében |
Téli időszámítás |
Nyári időszámítás |
|---|---|---|
|
Völgyidőszak |
06:00–01:30 |
07:00–02:30 |
|
Mélyvölgyidőszak |
01:30–06:00 |
02:30–07:00 |
b)
|
A 2. erőműegység csoport esetében |
Téli időszámítás |
Nyári időszámítás |
|
Völgyidőszak |
06:30–02:00 |
07:30–03:00 |
|
Mélyvölgyidőszak |
02:00–06:30 |
03:00–07:30 |
c)
|
A 3. erőműegység csoport esetében |
Téli időszámítás |
Nyári időszámítás |
|---|---|---|
|
Völgyidőszak |
07:00–02:30 |
08:00–03:30 |
|
Mélyvölgyidőszak |
02:30–07:00 |
03:30–08:00 |
4. számú melléklet a 389/2007. (XII. 23.) Korm. rendelethez133
5. számú melléklet a 389/2007. (XII. 23.) Korm. rendelethez
1. A 4. § (1) bekezdése szerinti villamos energia tárgyévre vonatkozó, január 1-jétől érvényes – a zónaidőnként termelt villamos energia mennyiségek alapján számított, súlyozott – átlagos kötelező átvételi árát a tárgyévet megelőző év – a zónaidőnként termelt villamos energia mennyiségek alapján számított, súlyozott – átlagos átvételi ára és a Központi Statisztikai Hivatal által a tárgyévet megelőzően utoljára közzétett, az előző év azonos időszakához viszonyított aktuális (utolsó) éves fogyasztói árindex értékének szorzata alapján kell meghatározni.
2. A 4. § (2)–(6) bekezdése szerinti villamos energia tárgyévre vonatkozó, január 1-jétől érvényes – a zónaidőnként termelt villamos energia mennyiségek alapján számított, súlyozott – átlagos kötelező átvételi árát a tárgyévet megelőző év – a zónaidőnként termelt villamos energia mennyiségek alapján számított, súlyozott – átlagos átvételi ára és a Központi Statisztikai Hivatal által a tárgyévet megelőzően utoljára közzétett, az előző év azonos időszakához viszonyított aktuális (utolsó) éves fogyasztói árindex 1% pontos hatékonyságjavítási tényezővel csökkentett értékének szorzata alapján kell meghatározni.
3.136 E rendelet alkalmazásában, az 1. és 2. pontban hivatkozott „a Központi Statisztikai Hivatal által a tárgyévet megelőzően utoljára közzétett, a megelőző év azonos időszakához viszonyított aktuális (utolsó) éves fogyasztói árindex” a Központi Statisztikai Hivatal által a tárgyévet megelőző évre vonatkozóan havonta közzétett, az előző év azonos hónapjaihoz viszonyított fogyasztói árindexeinek átlagát jelenti.
6. számú melléklet a 389/2007. (XII. 23.) Korm. rendelethez137
7. számú melléklet a 389/2007. (XII. 23.) Korm. rendelethez
|
Kondenzációs termelés |
Előírt energetikai hatásfok |
|---|---|
|
Biomassza-tüzelésű erőműegység |
30% |
|
Biomassza-tüzelésű erőműegység vegyes tüzeléssel |
32% |
|
Biogáztüzelésű erőműegység 500 kW teljesítőképesség felett |
35% |
|
Biogáztüzelésű erőműegység 500 kW teljesítőképesség alatt |
32% |
|
Biogáztüzelésű erőműegység vegyes tüzeléssel |
40% |
8. számú melléklet a 389/2007. (XII. 23.) Korm. rendelethez138
9. számú melléklet a 389/2007. (XII. 23.) Korm. rendelethez139
10. számú melléklet a 389/2007. (XII. 23.) Korm. rendelethez140
11. számú melléklet a 389/2007. (XII. 23.) Korm. rendelethez141
12. számú melléklet a 389/2007. (XII. 23.) Korm. rendelethez142
13. számú melléklet a 389/2007. (XII. 23.) Korm. rendelethez143

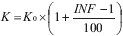
|
K: |
az újonnan érvényesítendő csúcs és völgyidőszaki árak; |
|
K0: |
az aktuális árváltozást megelőzően érvényes csúcs és völgyidőszaki árak; |
|
INF: |
A Magyar Nemzeti Bank által a tárgyévet megelőzően november 30-ig utoljára közzé tett, a tárgyévre vonatkozó fogyasztói árindex előrejelzés |
14. számú melléklet a 389/2007. (XII. 23.) Korm. rendelethez144
1. Egy adott (i) elszámolási mérési időegységre a Menetrendadásra kötelezettre eső szabályozási pótdíj összege a 2. és 3. pont figyelembevétele nélkül:
1.1. A Menetrendadásra kötelezett 7. § (11) bekezdése szerinti eltérése pozitív, azaz (MIi – Ti + UEi) > 0:
a) Ha a KÁT mérlegkör és a szervezett villamosenergia-piac mérlegkörének egymás viszonylatában értett, belkereskedelmi menetrendje szerinti villamosenergia-mennyiség nagyobb vagy egyenlő, mint a Menetrendadásra kötelezettek összesített napon belüli termelési menetrendje szerinti villamosenergia-mennyiség, azaz
MBi KÁT-HUPX ≥ Σ MIi KÁT és KEi kWh> 0, akkor
SZPi = (MIi – Ti + UEi) / ((MBi KÁT-HUPX – Σ MIi KÁT) + ΣFEL(MIi – Ti + UEi)) * (KEi Ft – KEi kWh * Pi);
b) Ha a KÁT mérlegkör és a szervezett villamosenergia-piac mérlegkörének egymás viszonylatában értett, belkereskedelmi menetrendje szerinti villamosenergia-mennyiség kisebb, mint a Menetrendadásra kötelezettek összesített napon belüli termelési menetrendje szerinti villamosenergia-mennyiség, azaz
MBi KÁT-HUPX < Σ MIi KÁT és KEi kWh > 0 és akkor
SZPi= (MIi – Ti+ UEi) / ΣFEL (MIi – Ti+ UEi) * (KEi Ft – KEi kWh * Pi)
c) Ha KEi kWh ≤ 0 akkor
SZPi =0;
1.2. A Menetrendadásra kötelezett 7. § (11) bekezdése szerinti eltérése negatív, azaz (MIi – Ti + UEi) < 0:
a) Ha a KÁT mérlegkör és a szervezett villamosenergia-piac mérlegkörének egymás viszonylatában értett, belkereskedelmi menetrendje szerinti villamosenergia-mennyiség kisebb vagy egyenlő, mint a Menetrendadásra kötelezettek összesített napon belüli termelési menetrendje szerinti villamosenergia-mennyiség, azaz
MBi KÁT-HUPX ≤ Σ MIi KÁT és KEi kWh< 0 akkor
SZPi = (MIi – Ti + UEi) / ((MBi KÁT-HUPX – Σ MIi KÁT) + ΣLE (MIi – Ti + UEi)) * (KEi Ft – KEi kWh * Pi);
b) Ha a KÁT mérlegkör és a szervezett villamosenergia-piac mérlegkörének egymás viszonylatában értett, belkereskedelmi menetrendje szerinti villamosenergia-mennyiség nagyobb, mint a Menetrendadásra kötelezettek összesített napon belüli termelési menetrendje szerinti villamosenergia-mennyiség, azaz
MBi KÁT-HUPX > Σ MIi KÁT és KEi kWh < 0 akkor
SZPi = (MIi – Ti + UEi) / ΣLE (MIi – Ti + UEi) * (KEi Ft – KEi kWh * Pi);
c) Ha KEi kWh > =0 akkor
SZPi =0;
1.3. A Menetrendadásra kötelezett 7. § (11) bekezdése szerinti eltérése nulla, azaz (MIi – Ti + UEi) = 0:
1.4. A Menetrendadásra kötelezett napon belüli menetrendjének villamosenergia-mennyisége a 7. § (7) bekezdése szerinti önálló kiegyenlítő menedzsment figyelembevételével:
1.5. A Menetrendadásra kötelezett tényleges értékesítési villamosenergia-mennyisége a 7. § (7) bekezdése szerinti önálló kiegyenlítő menedzsment figyelembevételével:
1.6. A Menetrendadásra kötelezett utasított eltérésének villamosenergia-mennyisége:
1.7. Az 1.1–1.5. pontban, valamint a 15. számú mellékletben az SZi ki és SZi be mennyiségeket nulla értékkel kell figyelembe venni, és a Befogadó ebben az értelemben módosítja az érintett Menetrendadásra kötelezett önálló kiegyenlítő menedzsmenttel összefüggő menetrendjét, amennyiben
1.8. Amennyiben a Menetrendadásra kötelezett a 7. § (5) bekezdése szerinti menetrendadási kötelezettségét nem teljesíti, az adott napra nem élhet a 7. § (7) bekezdés a) pontja szerinti jogával, és Befogadó ebben az értelemben módosítja az érintett Menetrendadásra kötelezett önálló kiegyenlítő menedzsmenttel összefüggő menetrendjét.
1.9. Az 1.1–1.7. pontban:
2. A KÁT termelő szabályozási pótdíj csökkentésének összege, mely nem haladhatja meg az 1. pont szerinti szabályozási pótdíj havi összegét:
3. Menetrend-csoport esetén a szabályozási pótdíj csökkentés a következő képlet alapján számítandó:
4. M szabályozási pótdíj csökkentés mértékének bázisértékei:
a) naperőmű és szélerőmű esetén: 3 Ft/kWh;
b) az a) pont alá nem tartozó erőmű esetén: 0,5 Ft/kWh.
5. A 4. pont szerinti M szabályozási pótdíj csökkentés mértéke
a) 2021. január 1-től MB *0,95;
b) 2022. január 1-től MB *0,85;
c) 2023. január 1-től MB *0,70;
d) 2024. január 1-től MB *0,50;
e) 2025. január 1-től MB *0,25;
f) 2026. január 1-től nulla;
6. Egy adott hónapban az 1. pont szerinti (i) elszámolási időegységekre eső szabályozási pótdíjak havi összege és a 2. pontban – Menetrend-csoport esetén a 3. pont figyelembevételével – meghatározott szabályozási pótdíj csökkentés különbsége alapján kell számítani a Menetrendadásra kötelezett által a Befogadó részére fizetendő havi szabályozási pótdíj összegét:
7. A 4. számú melléklet II. Különös szabályok 6. pontja szerinti számviteli bizonylaton szereplő, 1–6. pont szerinti szabályozási pótdíj összegét a villamosenergia-ellátási szabályzatokban meghatározott előzetes elszámolási adatok alapján kell kiszámítani, mely a 4. számú melléklet II. Különös szabályok 10. pontja alapján korrigálásra kerül.
15. számú melléklet a 389/2007. (XII. 23.) Korm. rendelethez145
1. Egy adott (i) elszámolási mérési időegységben a Menetrendadásra kötelezett által a KÁT mérlegkörből piaci mérlegkörökbe menetrend szerint kiszállított villamosenergia-mennyiség értéke:
2. Egy adott (i) elszámolási mérési időegységben a Menetrendadásra kötelezett által a KÁT mérlegkörbe piaci mérlegkörökből menetrend szerint beszállított villamosenergia-mennyiség értéke:
3. Egy adott (i) elszámolási mérési időegységben a Menetrendadásra kötelezett által a rendszerhasználótól a KÁT mérlegkörbe átvett villamosenergia-mennyiség értéke:
4. Egy adott (i) elszámolási mérési időegységben a Menetrendadásra kötelezett által a rendszerhasználónak a KÁT mérlegkörből átadott villamosenergia-mennyiség értéke:
5. Egy adott (i) elszámolási mérési időegységben a Menetrendadásra kötelezett LE irányú utasított eltéréséhez tartozó villamosenergia-mennyiség értéke:
6. Egy adott (i) elszámolási mérési időegységben a Menetrendadásra kötelezett FEL irányú utasított eltéréséhez tartozó villamosenergia-mennyiség értéke:
7. A Menetrendadásra kötelezett önálló kiegyenlítő menedzsmentjével összefüggő villamosenergia-mennyiség ellenértékének elszámolható havi összege:
8. A 4. számú melléklet II. Különös szabályok 6. pontja szerinti számlán szereplő, 7. pont szerinti összeget a villamosenergia-ellátási szabályzatokban meghatározott előzetes elszámolási adatok alapján kell kiszámítani, mely a 4. számú melléklet II. Különös szabályok 10. pontja alapján korrigálásra kerül.
Az 1. § (1) bekezdés záró szövegrésze a 393/2016. (XII. 5.) Korm. rendelet 2. § (1) bekezdése, a 787/2021. (XII. 27.) Korm. rendelet 33. § a) pontja szerint módosított szöveg.
Az 1. § (1) bekezdés c) pontját a 166/2011. (VIII. 24.) Korm. rendelet 3. § 1. pontja hatályon kívül helyezte.
Az 1. § (1a) bekezdését a 166/2011. (VIII. 24.) Korm. rendelet 1. § (1) bekezdése iktatta be, szövege a 309/2013. (VIII. 16.) Korm. rendelet 17. § (1) bekezdésével megállapított szöveg.
Az 1. § (3) bekezdés a) pontja az 53/2014. (III. 3.) Korm. rendelet 17. §-a, a 457/2017. (XII. 28.) Korm. rendelet 215. § a) pontja szerint módosított szöveg. Alkalmazására lásd ez utóbbi módosító rendelet 618. §-át.
Az 1. § (3) bekezdésének c) pontja a 287/2008. (XI. 28.) Korm. rendelet 11. § (7) bekezdése szerint módosított szöveg.
Az 1. § (4) bekezdését a 166/2011. (VIII. 24.) Korm. rendelet 3. § 2. pontja hatályon kívül helyezte.
Az 1. § (5) bekezdése a 166/2011. (VIII. 24.) Korm. rendelet 2. § a) pontja szerint módosított szöveg.
Az 1. § (6) bekezdését a 312/2016. (X. 19.) Korm. rendelet 1. § (1) bekezdése iktatta be, szövege a 229/2022. (VI. 28.) Korm. rendelet 1. §-ával megállapított szöveg.
Az 1. § (7) bekezdését a 364/2019. (XII. 30.) Korm. rendelet 1. §-a iktatta be, szövege a 229/2022. (VI. 28.) Korm. rendelet 1. §-ával megállapított szöveg.
Az 1. § (8) bekezdését a 364/2019. (XII. 30.) Korm. rendelet 1. §-a iktatta be, szövege a 229/2022. (VI. 28.) Korm. rendelet 1. §-ával megállapított szöveg.
Az 1. § (9) bekezdését a 364/2019. (XII. 30.) Korm. rendelet 1. §-a iktatta be, szövege a 229/2022. (VI. 28.) Korm. rendelet 1. §-ával megállapított szöveg.
Az 1. § (10) bekezdését a 229/2022. (VI. 28.) Korm. rendelet 1. §-a iktatta be.
Az 1. § (11) bekezdését a 229/2022. (VI. 28.) Korm. rendelet 1. §-a iktatta be.
A 2. § (1) bekezdés a) pontja a 166/2011. (VIII. 24.) Korm. rendelet 3. § 3. pontja szerint módosított szöveg.
A 2. § (1) bekezdés b) pontja a 123/2015. (V. 26.) Korm. rendelet 28. § (3) bekezdése szerint módosított szöveg.
A 2. § (1) bekezdés c) pontját a 787/2021. (XII. 27.) Korm. rendelet 36. § a) pontja hatályon kívül helyezte.
A 2. § (1) bekezdés d) pontját a 309/2013. (VIII. 16.) Korm. rendelet 17. § a) pontja hatályon kívül helyezte, újonnan a 787/2021. (XII. 27.) Korm. rendelet 26. § (1) bekezdése iktatta be.
A 2. § (1) bekezdés e) pontja a 166/2011. (VIII. 24.) Korm. rendelet 3. § 4. pontja, a 393/2016. (XII. 5.) Korm. rendelet 2. § 2. pontja szerint módosított szöveg.
A 2. § (1) bekezdés k) pontját a 166/2011. (VIII. 24.) Korm. rendelet 3. § 5. pontja hatályon kívül helyezte, újonnan a 787/2021. (XII. 27.) Korm. rendelet 26. § (2) bekezdése iktatta be.
A 2. § (1) bekezdés l) pontját a 787/2021. (XII. 27.) Korm. rendelet 36. § a) pontja hatályon kívül helyezte.
A 2. § (1) bekezdés m) pontját a 787/2021. (XII. 27.) Korm. rendelet 36. § a) pontja hatályon kívül helyezte.
A 2. § (1) bekezdés n) pontja a 364/2019. (XII. 30.) Korm. rendelet 2. § (1) bekezdésével megállapított szöveg.
A 2. § (1) bekezdés o) pontja a 787/2021. (XII. 27.) Korm. rendelet 26. § (3) bekezdésével megállapított szöveg.
A 2. § (1) bekezdés q) pontja a 4/2018. (II. 2.) Korm. rendelet 1. §-ával megállapított szöveg.
A 2. § (1) bekezdés r) pontját újonnan a 787/2021. (XII. 27.) Korm. rendelet 26. § (4) bekezdése iktatta be.
A 2. § (1) bekezdés s) pontját a 232/2017. (VIII. 14.) Korm. rendelet 1. § (2) bekezdése iktatta be.
A 2. § (1) bekezdés t) pontját a 232/2017. (VIII. 14.) Korm. rendelet 1. § (2) bekezdése iktatta be, a 364/2019. (XII. 30.) Korm. rendelet 11. § 1. pontja hatályon kívül helyezte.
A 2. § (1) bekezdés u) pontját a 232/2017. (VIII. 14.) Korm. rendelet 1. § (2) bekezdése iktatta be.
A 3. § a 787/2021. (XII. 27.) Korm. rendelet 27. §-ával megállapított szöveg.
A 3. § (2) bekezdés d) pontja a 26/2025. (II. 27.) Korm. rendelet 7. § a) pontja szerint módosított szöveg.
A 3. § (6) bekezdése a 26/2025. (II. 27.) Korm. rendelet 1. § (1) bekezdésével megállapított szöveg.
A 3. § (11a) bekezdését a 26/2025. (II. 27.) Korm. rendelet 1. § (2) bekezdése iktatta be.
A 3. § (14) bekezdése a 26/2025. (II. 27.) Korm. rendelet 7. § b) pontja szerint módosított szöveg.
A 3. § (15) bekezdése a 26/2025. (II. 27.) Korm. rendelet 7. § c) pontja szerint módosított szöveg.
A 3. § (17) bekezdését a 229/2022. (VI. 28.) Korm. rendelet 2. §-a iktatta be.
A 4. § (5) bekezdés nyitó szövegrésze a 123/2015. (V. 26.) Korm. rendelet 27. § a) pontja szerint módosított szöveg.
A 4. § (5) bekezdés b) pont bc) alpontja a 182/2009. (IX. 10.) Korm. rendelet 612. §-a, a 312/2021. (VI. 7.) Korm. rendelet 3. §-a szerint módosított szöveg.
A 4. § (6) bekezdése a 123/2015. (V. 26.) Korm. rendelet 21. § (1) bekezdésével megállapított szöveg.
A 4. § (6a) bekezdését a 123/2015. (V. 26.) Korm. rendelet 21. § (1) bekezdése iktatta be.
A 4. § (6b) bekezdését a 123/2015. (V. 26.) Korm. rendelet 21. § (1) bekezdése iktatta be.
A 4. § (7) bekezdése a 287/2008. (XI. 28.) Korm. rendelet 2. §-ával megállapított szöveg.
A 4. § (7a) bekezdését a 232/2017. (VIII. 14.) Korm. rendelet 5. § (1) bekezdése iktatta be.
A 4. § (8) bekezdése a 287/2008. (XI. 28.) Korm. rendelet 2. §-ával megállapított szöveg.
A 4. § (9) bekezdését a 287/2008. (XI. 28.) Korm. rendelet 2. §-a iktatta be, szövege a 232/2017. (VIII. 14.) Korm. rendelet 5. § (2) bekezdésével megállapított szöveg.
A 4. § (10) bekezdését a 287/2008. (XI. 28.) Korm. rendelet 2. §-a iktatta be, szövege a 393/2016. (XII. 5.) Korm. rendelet 2. § (4) bekezdése szerint módosított szöveg.
A 4. § (10a) bekezdését a 232/2017. (VIII. 14.) Korm. rendelet 5. § (3) bekezdése iktatta be, szövege a 26/2025. (II. 27.) Korm. rendelet 2. § (1) bekezdésével megállapított szöveg.
A 4. § (11) bekezdését a 123/2015. (V. 26.) Korm. rendelet 21. § (2) bekezdése iktatta be, szövege a 229/2022. (VI. 28.) Korm. rendelet 3. §-ával megállapított szöveg.
A 4. § (12) bekezdése a 26/2025. (II. 27.) Korm. rendelet 2. § (2) bekezdésével megállapított szöveg.
A 4. § (12a) bekezdését a 787/2021. (XII. 27.) Korm. rendelet 28. § (1) bekezdése iktatta be, szövege a 26/2025. (II. 27.) Korm. rendelet 2. § (3) bekezdésével megállapított szöveg.
A 4. § (12b) bekezdését a 787/2021. (XII. 27.) Korm. rendelet 28. § (1) bekezdése iktatta be, a 26/2025. (II. 27.) Korm. rendelet 8. § (1) bekezdés a) pontja hatályon kívül helyezte.
A 4. § (13) bekezdését a 232/2017. (VIII. 14.) Korm. rendelet 5. § (5) bekezdése iktatta be, szövege a 229/2022. (VI. 28.) Korm. rendelet 4. §-ával megállapított, a 26/2025. (II. 27.) Korm. rendelet 7. § d) pontja és 8. § (1) bekezdés b) pontja szerint módosított szöveg.
A 4. § (14) bekezdését a 787/2021. (XII. 27.) Korm. rendelet 28. § (2) bkeezdése iktatta be, nyitó szövegrésze a 229/2022. (VI. 28.) Korm. rendelet 10. § a) pontja szerint módosított szöveg.
Az 5. §-t és az azt megelőző alcímet a 166/2011. (VIII. 24.) Korm. rendelet 3. § 11. pontja hatályon kívül helyezte. Az 5. §-t újonnan a 265/2025. (VIII. 13.) Korm. rendelet 1. §-a iktatta be.
Az 5/A. §-t a 233/2025. (VII. 31.) Korm. rendelet 9. §-a iktatta be.
A 6. § a 393/2016. (XII. 5.) Korm. rendelet 1. § (4) bekezdésével megállapított szöveg.
A 6. § (2) bekezdése a 256/2018. (XII. 18.) Korm. rendelet 2. § (1) bekezdésével megállapított szöveg.
A 6. § (2a) bekezdését a 232/2017. (VIII. 14.) Korm. rendelet 6. § (1) bekezdése iktatta be, szövege a 256/2018. (XII. 18.) Korm. rendelet 2. § (1) bekezdésével megállapított szöveg.
A 6. § (2b) bekezdését a 232/2017. (VIII. 14.) Korm. rendelet 6. § (1) bekezdése iktatta be, szövege a 256/2018. (XII. 18.) Korm. rendelet 2. § (1) bekezdésével megállapított szöveg.
A 6. § (2c) bekezdését a 256/2018. (XII. 18.) Korm. rendelet 2. § (1) bekezdése iktatta be, hatályon kívül helyezte a 787/2021. (XII. 27.) Korm. rendelet 36. § b) pontja.
A 6. § (5) bekezdése a 457/2017. (XII. 28.) Korm. rendelet 215. § b) pontja szerint módosított szöveg. Alkalmazására lásd e módosító rendelet 618. §-át.
A 6. § (7) bekezdése a 229/2022. (VI. 28.) Korm. rendelet 5. §-ával megállapított szöveg.
A 6. § (8) bekezdése a 232/2017. (VIII. 14.) Korm. rendelet 6. § (2) bekezdésével megállapított szöveg.
A 6. § (9) bekezdése a 787/2021. (XII. 27.) Korm. rendelet 29. §-ával megállapított szöveg.
A 6. § (10) bekezdését a 256/2018. (XII. 18.) Korm. rendelet 2. § (3) bekezdése iktatta be.
A 6/A. §-t újonnan a 4/2018. (II. 2.) Korm. rendelet 2. §-a iktatta be, hatályon kívül helyezte a 256/2018. (XII. 18.) Korm. rendelet 6. §-a.
A 7. § a 787/2021. (XII. 27.) Korm. rendelet 30. §-ával megállapított szöveg.
A 7. § (11) bekezdése a 26/2025. (II. 27.) Korm. rendelet 3. §-ával megállapított szöveg.
A 7. § (13) bekezdése a 26/2025. (II. 27.) Korm. rendelet 7. § f) pontja szerint módosított szöveg.
A 8. § e rendelet 10. § (3) bekezdése alapján 2008. január 9-én lépett hatályba.
A 8. § (1)–(9) bekezdését a 309/2013. (VIII. 16.) Korm. rendelet 17. § b) pontja hatályon kívül helyezte.
A 8. § (10)–(12) bekezdését a 123/2015. (V. 26.) Korm. rendelet 28. § (1) bekezdés c) pontja hatályon kívül helyezte.
A 9. § a 270/2010. (XII. 8.) Korm. rendelet 4. §-ával megállapított szöveg.
A 9. § (1) bekezdés nyitó szövegrésze a 309/2013. (VIII. 16.) Korm. rendelet 17. § (6) bekezdésével megállapított, a 393/2016. (XII. 5.) Korm. rendelet 2. § (1) bekezdése, a 364/2019. (XII. 30.) Korm. rendelet 11. § 5. pontja szerint módosított szöveg.
A 9. § (1) bekezdés b) pontja a 26/2025. (II. 27.) Korm. rendelet 4. § (1) bekezdésével megállapított szöveg.
A 9. § (1) bekezdés c) pontja a 393/2016. (XII. 5.) Korm. rendelet 2. § (1) bekezdése szerint módosított szöveg.
A 9. § (1) bekezdés d) pontja a 393/2016. (XII. 5.) Korm. rendelet 2. § (9) bekezdése szerint módosított szöveg.
A 9. § (2) bekezdése a 393/2016. (XII. 5.) Korm. rendelet 1. § (6) bekezdésével megállapított, a 26/2025. (II. 27.) Korm. rendelet 7. § g) pontja szerint módosított szöveg.
A 9. § (3) bekezdését a 26/2025. (II. 27.) Korm. rendelet 8. § (1) bekezdés c) pontja hatályon kívül helyezte.
A 9. § (3a) bekezdését a 123/2015. (V. 26.) Korm. rendelet 24. §-a iktatta be,a 393/2016. (XII. 5.) Korm. rendelet 2. § (1) bekezdése szerint módosított szöveg.
A 9. § (4) bekezdése a 26/2025. (II. 27.) Korm. rendelet 4. § (2) bekezdésével megállapított szöveg.
A 9. § (5) bekezdése a 26/2025. (II. 27.) Korm. rendelet 4. § (2) bekezdésével megállapított szöveg.
A 9. § (6) bekezdése a 393/2016. (XII. 5.) Korm. rendelet 2. § (1) bekezdése szerint módosított szöveg.
A 9. § (7) bekezdését a 364/2019. (XII. 30.) Korm. rendelet 7. §-a iktatta be.
A 9/A. §-t megelőző alcímet a 287/2008. (XI. 28.) Korm. rendelet 8. §-a iktatta be.
A 9/A. §-t a 287/2008. (XI. 28.) Korm. rendelet 8. §-a iktatta be, szövege a 163/2009. (VIII. 6.) Korm. rendelet 7. §-ával megállapított szöveg.
A 9/A. § (1) bekezdés nyitó szövegrésze a 364/2019. (XII. 30.) Korm. rendelet 10. § 5. pontja szerint módosított szöveg.
A 9/A. § (1) bekezdés a) pontja a 475/2017. (XII. 28.) Korm. rendelet 29. § 1. pontja, a 364/2019. (XII. 30.) Korm. rendelet 11. § 6. pontja szerint módosított szöveg.
A 9/A. § (1) bekezdés b) pontja a 364/2019. (XII. 30.) Korm. rendelet 8. § (1) bekezdésével megállapított szöveg.
A 9/A. § (1) bekezdés c) pontja a 364/2019. (XII. 30.) Korm. rendelet 8. § (1) bekezdésével megállapított szöveg.
A 9/A. § (1) bekezdés d) pontja a 364/2019. (XII. 30.) Korm. rendelet 8. § (1) bekezdésével megállapított szöveg.
A 9/A. § (1) bekezdés e) pontja a 364/2019. (XII. 30.) Korm. rendelet 8. § (1) bekezdésével megállapított szöveg.
A 9/A. § (1) bekezdés f) pontja a 364/2019. (XII. 30.) Korm. rendelet 8. § (1) bekezdésével megállapított szöveg.
A 9/A. § (1) bekezdés g) pontja a 229/2022. (VI. 28.) Korm. rendelet 6. § (1) bekezdésével megállapított szöveg.
A 9/A. § (1) bekezdés h) pontját a 229/2022. (VI. 28.) Korm. rendelet 11. §-a hatályon kívül helyezte.
A 9/A. § (1) bekezdés i) pontját a 123/2015. (V. 26.) Korm. rendelet 28. § (1) bekezdés d) pontja hatályon kívül helyezte.
A 9/A. § (1) bekezdés j) pontját a 232/2017. (VIII. 14.) Korm. rendelet 12. § (1) bekezdés b) pontja újból hatályon kívül helyezte.
A 9/A. § (1) bekezdés k) pontját a 229/2022. (VI. 28.) Korm. rendelet 11. §-a hatályon kívül helyezte.
A 9/A. § (1) bekezdés l) pontját a 123/2015. (V. 26.) Korm. rendelet 25. § (1) bekezdése iktatta be, szövege a 229/2022. (VI. 28.) Korm. rendelet 6. § (2) bekezdésével megállapított szöveg.
A 9/A. § (1) bekezdés m) pontját a 232/2017. (VIII. 14.) Korm. rendelet 8. § (1) bekezdése iktatta be.
A 9/A. § (2) bekezdése a 123/2015. (V. 26.) Korm. rendelet 25. § (2) bekezdésével megállapított, a 364/2019. (XII. 30.) Korm. rendelet 10. § 7. pontja szerint módosított szöveg.
A 9/A. § (3) bekezdése a 182/2009. (IX. 10.) Korm. rendelet 613. §-a, a 229/2022. (VI. 28.) Korm. rendelet 10. § b) pontja szerint módosított szöveg.
A 9/A. § (3a) bekezdését a 787/2021. (XII. 27.) Korm. rendelet 32. §-a iktatta be, szövege a 229/2022. (VI. 28.) Korm. rendelet 6. § (3) bekezdésével megállapított szöveg.
A 9/A. § (4) bekezdése a 232/2017. (VIII. 14.) Korm. rendelet 8. § (2) bekezdésével megállapított szöveg.
A 9/A. § (5) bekezdését a 182/2009. (IX. 10.) Korm. rendelet 613. §-a hatályon kívül helyezte, újonnan a 364/2019. (XII. 30.) Korm. rendelet 8. § (3) bekezdése iktatta be, szövege a 26/2025. (II. 27.) Korm. rendelet 7. § g) pontja szerint módosított szöveg.
A 10. § (7) bekezdése e rendelet 10. § (8) bekezdése alapján hatályát vesztette.
A 10. § (9)–(10) bekezdése e rendelet 10. § (8) bekezdése alapján hatályát vesztette.
A 11. § (1) bekezdése a 287/2008. (XI. 28.) Korm. rendelet 9. § (1) bekezdésével megállapított, a 166/2011. (VIII. 24.) Korm. rendelet 3. § 21. pontja, a 393/2016. (XII. 5.) Korm. rendelet 2. § (10) bekezdése szerint módosított szöveg.
A 11. § (2) bekezdését a 123/2015. (V. 26.) Korm. rendelet 28. § (1) bekezdés e) pontja hatályon kívül helyezte.
A 11. § (3) bekezdését a 309/2013. (VIII. 16.) Korm. rendelet 17. § c) pontja hatályon kívül helyezte.
A 11. § (4) bekezdését a 123/2015. (V. 26.) Korm. rendelet 28. § (1) bekezdés e) pontja hatályon kívül helyezte.
A 11. § (5)–(9) bekezdését a 166/2011. (VIII. 24.) Korm. rendelet 3. § 22. pontja hatályon kívül helyezte.
A 11. § (10) bekezdését a 312/2016. (X. 19.) Korm. rendelet 1. § (5) bekezdés a) pontja hatályon kívül helyezte.
A 11. § (11) bekezdését a 166/2011. (VIII. 24.) Korm. rendelet 3. § 23. pontja hatályon kívül helyezte.
A 11. § (12) bekezdését a 309/2013. (VIII. 16.) Korm. rendelet 17. § c) pontja hatályon kívül helyezte.
A 11. § (13) bekezdését a 256/2018. (XII. 18.) Korm. rendelet 6. §-a hatályon kívül helyezte.
A 11. § (14) bekezdését a 166/2011. (VIII. 24.) Korm. rendelet 3. § 23. pontja hatályon kívül helyezte.
A 11. § (15) bekezdését a 287/2008. (XI. 28.) Korm. rendelet 9. § (3) bekezdése iktatta be, hatályon kívül helyezte a 787/2021. (XII. 27.) Korm. rendelet 36. § c) pontja.
A 11/A. §-t hatályon kívül helyezte a 256/2018. (XII. 18.) Korm. rendelet 6. §-a, újonnan a 265/2025. (VIII. 13.) Korm. rendelet 2. §-a iktatta be.
A hatálybalépés időpontja 2025. augusztus 21.
A 11/B. §-t a 369/2010. (XII. 31.) Korm. rendelet 2. §-a iktatta be, szövege a 166/2011. (VIII. 24.) Korm. rendelet 1. § (3) bekezdésével megállapított szöveg.
A 11/B. § (1) bekezdését a 309/2013. (VIII. 16.) Korm. rendelet 17. § d) pontja hatályon kívül helyezte.
A 11/C. §-t újonnan a 232/2017. (VIII. 14.) Korm. rendelet 13. §-a iktatta be.
A hatálybalépés időpontja 2017. augusztus 16.
A 11/D. §-t a 256/2018. (XII. 18.) Korm. rendelet 4. §-a iktatta be.
A hatálybalépés időpontja 2018. december 21.
A 11/E. §-t a 229/2022. (VI. 28.) Korm. rendelet 7. §-a iktatta be.
A hatálybalépés időpontja 2022. június 29.
A 11/F. §-t a 26/2025. (II. 27.) Korm. rendelet 5. §-a iktatta be.
A 12. § c) pontját a 75/2011. (V. 2.) Korm. rendelet 29. §-a iktatta be, hatályon kívül helyezte a 256/2018. (XII. 18.) Korm. rendelet 6. §-a.
Az 1. számú melléklet a 787/2021. (XII. 27.) Korm. rendelet 34. § a) pontjával megállapított szöveg.
A 2. számú mellékletet a 166/2011. (VIII. 24.) Korm. rendelet 3. § 24. pontja hatályon kívül helyezte.
A 3. számú melléklet a 60/2008. (III. 26.) Korm. rendelet 1. §-a, a 166/2011. (VIII. 24.) Korm. rendelet 1. § (4) bekezdése, a 123/2015. (V. 26.) Korm. rendelet 28. § (3) bekezdése szerint módosított szöveg.
A 4. számú melléklet a 787/2021. (XII. 27.) Korm. rendelet 34. § b) pontjával megállapított szöveg.
A 4. melléklet 4. számú melléklet I. Általános szabályok 4. pontja a 26/2025. (II. 27.) Korm. rendelet 7. § h) pontja szerint módosított szöveg.
A 4. számú melléklet I. Általános szabályok 5. pontja a 26/2025. (II. 27.) Korm. rendelet 7. § i) pontja szerint módosított szöveg.
Az 5. melléklet 3. pontja a 393/2016. (XII. 5.) Korm. rendelet 2. § (14) bekezdése szerint módosított szöveg.
A 6. számú mellékletet a 166/2011. (VIII. 24.) Korm. rendelet 3. § 26. pontja hatályon kívül helyezte.
A 8. számú mellékletet a 787/2021. (XII. 27.) Korm. rendelet 36. § d) pontja hatályon kívül helyezte.
A 9. számú mellékletet a 123/2015. (V. 26.) Korm. rendelet 28. § (1) bekezdés f) pontja hatályon kívül helyezte.
A 10. számú mellékletét a 309/2013. (VIII. 16.) Korm. rendelet 17. § e) pontja hatályon kívül helyezte.
A 11. számú mellékletét a 309/2013. (VIII. 16.) Korm. rendelet 17. § e) pontja hatályon kívül helyezte.
A 12. számú mellékletet a 123/2015. (V. 26.) Korm. rendelet 28. § (1) bekezdés g) pontja hatályon kívül helyezte.
A 13. számú melléklet hatálybalépéséről e rendelet 10. § (4) bekezdése alapján külön jogszabály rendelkezik.
A 14. számú mellékletet a 232/2017. (VIII. 14.) Korm. rendelet 11. § (2) bekezdése iktatta be, szövege a 26/2025. (II. 27.) Korm. rendelet 6. § a) pontjával megállapított szöveg.
A 15. számú mellékletet a 787/2021. (XII. 27.) Korm. rendelet 35. §-a iktata be, szövege a 26/2025. (II. 27.) Korm. rendelet 6. § b) pontjával megállapított szöveg.
- Hatályos
- Már nem hatályos
- Még nem hatályos
- Módosulni fog
- Időállapotok
- Adott napon hatályos
- Közlönyállapot
- Indokolás
