25/2005. (IV. 29.) GKM rendelet
a textiltermékek forgalomba hozatalának egyes követelményeiről1
2010.12.14.
1. § (1)2 Textiltermék – a (2) bekezdésben és a 3. § (1) bekezdésében meghatározott kivételekkel – az ipari feldolgozás előtt vagy alatt, illetve bármely értékesítési szakaszban csak úgy forgalmazható, ha e rendelet előírásai szerint el van látva az előállításához felhasznált textilnyersanyagok nevét és tömegarányát (a továbbiakban együtt: nyersanyag-összetétel) tartalmazó adatokkal.
(2) Nem kell alkalmazni a rendelet előírásait
a) az Európai Gazdasági Térségen kívüli országba irányuló exportra szánt,
b) az országon történő keresztülszállítás céljából vámelőjegyzés alatt álló,
c) az Európai Gazdasági Térségen kívüli országból feldolgozás céljából importált, valamint
d) a tulajdonátruházás nélkül, bedolgozónál vagy bérmunkában továbbfeldolgozásra kerülő
2. § (1) E rendelet alkalmazásában
a) textiltermék: minden nyers, félig megmunkált, megmunkált, félkész, kész-, félig konfekcionált vagy konfekcionált termék, mely kizárólag textilszálakból áll, függetlenül az alkalmazott keverési vagy összeállítási eljárástól;
b) textilnyersanyag (szál):
ba) az elemi szál (ideértve a fonható vagy textil kelmévé feldolgozható szőröket is), amely rugalmasságával, finomságával és szélességét nagymértékben meghaladó hosszúságával jellemezhető, és amelyet e tulajdonságok alkalmassá tesznek textilipari feldolgozásra,
bb) az 5 mm-nél kisebb névleges szélességű hajlékony szalagok és tömlők, ideértve az 1. melléklet 19–44. pontjai szerinti, szálgyártásra használt mesterséges anyagokból készült szélesebb csíkokból vagy fóliarétegekből vágott és textilipari felhasználásához alkalmas szalagokat. A névleges szélesség a szalag, illetve a tömlő szélessége hajtogatott, ellapított, terjedelmesített vagy sodrott állapotban, illetve az átlagos szélesség, amennyiben a szélesség nem egyenletes.
(2) A textiltermékekkel megegyező módon kell kezelni a következő termékeket:
a) a legalább 80%-ban textilnyersanyagból készült termékeket;
b) a bútor- és ernyőhuzatokat, ha legalább 80%-ban textilnyersanyagból készültek;
c) a többrétegű padlóburkoló anyagokat, matracokat, kempingtermékek textilösszetevőit, valamint a lábbelik és kesztyűk melegbéléseit, ha ezek a teljes termékhez képest legalább 80%-ban textilnyersanyagból készültek;
d) a más termékbe beépített, annak szerves részét alkotó textíliákat, ha a termék összetételét feltüntetik.
3. § (1) A 2. mellékletben felsorolt textiltermékek esetében a nyersanyag-összetétel megadása nem kötelező. Ha azonban az e termékeken feltüntetett elnevezés, összetételre vonatkozó tájékoztatás, márkajelzés vagy cégnév az 1. mellékletben meghatározott textilszál-elnevezést vagy azzal összetéveszthető elnevezést tartalmaz önállóan, jelzőként vagy szóösszetételben, a nyersanyag-összetételt e rendelet előírásai szerint meg kell adni.
(2)3 Ha a rendelet 3. mellékletében felsorolt textiltermékek azonos fajtájúak és összetételűek, együttesen forgalmazhatóak, és a nyersanyag-összetétel megadása e rendelet előírásainak megfelelően együttesen teljesíthető.
4. §4 A nyersanyag-összetétel e rendelet szerinti feltüntetése a gyártó kötelezettsége.
5. § (1) A nyersanyag-összetétel megadásakor az egyes szálasanyagokra az 1. melléklet szerinti elnevezéseket kell használni.
(2) Az 1. melléklet a szálasanyag-elnevezések mellett azok leírását is tartalmazza. Az elnevezés csak azokra a szálakra alkalmazható, amelyek megfelelnek a táblázat azonos pontja alatti leírásnak. Más szálra az elnevezés sem önállóan, sem szókapcsolatban vagy jelzőként nem alkalmazható.
(3) A „selyem” elnevezés nem alkalmazható a végtelen szálasanyagokra, a szál alakjának vagy kiszerelésének jellemzése céljából.
6. § (1) A „100%”, „tiszta” vagy ezekhez hasonló megjelölés a szálasanyagok elnevezése mellett csak akkor alkalmazható, ha a textiltermék kizárólag egyféle szálasanyagból készült.
(2) A textiltermék tömegének 2%-áig az idegen szálhányad megengedett, amennyiben azt műszaki okok indokolják, és nem rendszeres, szándékos bekeverés következménye. Kártolt eljárással készült textilterméknél a megengedett idegen szálhányad 5%.
7. § (1) Az „élőgyapjú” elnevezés akkor alkalmazható, ha a gyapjútermék kizárólag új nyírású gyapjúból készült, vagyis olyan szálból, amit még nem tartalmazott késztermék, és nem volt alávetve más termék előállításához szükséges fonási, illetve nemezelési eljárásnak, továbbá nem volt kitéve szálkárosító kezelésnek vagy használatnak.
(2) Az „élőgyapjú” elnevezés szálkeverékben lévő gyapjúra akkor alkalmazható, ha
a) a keverékben lévő összes gyapjú megfelel az (1) bekezdésben foglalt feltételeknek,
b) az ilyen gyapjú részaránya a keverék össztömegének legalább 25%-a, és
c) a gyapjú egy mechanikusan szét nem választható szálkeverékben csak egyetlen más szálasanyaggal van keverve.
(3) A (2) bekezdés szerinti esetben teljes egészében meg kell adni a százalékos összetételt.
(4) A műszaki okokból eredő, a gyártással összefüggő idegenszál-tartalom megengedett mértéke az (1) és (2) bekezdés szerint „élőgyapjú”-ként jelölt termékeknél – ideértve a kártolt eljárással készült gyapjútermékeket is – 0,3%.
8. § (1) Két vagy több szálasanyagból álló textiltermék esetén a felhasznált textilnyersanyagok arányát a nettó tömeg százalékában kell megadni, tömegarány szerinti csökkenő sorrendben.
(2) Két vagy több szálasanyagból álló textilterméknél, ha az egyik szálasanyag a teljes tömeg legalább 85%-át alkotja, a nyersanyag-összetétel a következő módokon adható meg:
a) ez utóbbi szál elnevezése és annak pontos százalékos tömegaránya,
b) ez utóbbi szál elnevezése és a „legalább 85%” tömegarány, vagy
c) a termék teljes százalékos összetételének
(3) Két vagy több szálasanyagból álló textilterméknél, ha egyik szálasanyag tömege sem éri el az össztömeg 85%-át, legalább két fő szálasanyag elnevezését és százalékos tömegarányát kell megadni, továbbá a termékben lévő egyéb szálakat tömegarány szerint csökkenő sorrendben, a százalékos tömegarányuk megadásával vagy anélkül. Ha a szálasanyagok egyenként nem érik el a termék össztömegének 10%-át, az „egyéb szálak” megjelölés alkalmazható és ezek összegzett tömegszázalékát kell feltüntetni. Ha azonban a termék össztömegének 10%-ánál kisebb arányban előforduló bármelyik szálasanyag százalékos tömegarányát megadják, az összes többi szálasanyag tömegarányát is fel kell tüntetni.
(4) A „féllen” elnevezés alkalmazható, ha a termék láncfonala tiszta pamut és vetülékfonala tiszta len, és a len aránya az írtelenített szövet össztömegének legalább 40%-a; a nyersanyag-összetétel megadásánál azonban hozzá kell tenni a „tiszta pamut lánc – tiszta len vetülék” megjelölést.
(5) A „kevert szál” vagy „meghatározatlan összetételű termék” elnevezés annál a terméknél alkalmazható, melynek nyersanyag-összetétele a gyártás idején nem határozható meg.
9. § (1)5 Fogyasztók számára forgalmazott textiltermékek esetében, a 8. § (2)–(5) bekezdései szerinti százalékos nyersanyag-összetételben
a) az idegenszál jelenléte a textiltermék teljes tömegének 2%-áig megengedett, ha azt műszaki okok indokolják, és nem szándékos hozzáadásról van szó; ez a tűrés 5%-ig nőhet kártolt fonási eljárással előállított termékek esetén, kivéve az „élőgyapjú”-ra a 7. § (4) bekezdésben megadott szigorúbb értéket;
b) a névleges százalékos tömegarány és a vizsgálattal megállapított (tényleges) százalékos tömegarány között a teljes szálasanyagtömeghez viszonyítva 3% gyártási tűrés megengedett. Ez a tűrés vonatkozik a 8. § (2) bekezdése alapján tömegarány szerinti csökkenő sorrendben feltüntetett szálakra, valamint a 7. § (2) bekezdésének c) pontja szerinti gyapjúra is.
(2) A vizsgálat során a tűréseket külön-külön kell meghatározni. Az (1) bekezdés b) pontja szerinti tűrés számításakor figyelembe veendő teljes tömeg a késztermék szálasanyagának tömege, csökkentve az a) pont szerinti tűrés meghatározásakor talált idegen szálak tömegével.
(3) Az (1) bekezdés a) és b) pontja szerinti tűrések akkor összegezhetők, ha az a) pont szerinti tűrés megállapításánál talált idegen szálak azonos kémiai típusúak a textiltermékben előforduló egy vagy több szálasanyaggal.
(4) Egyes speciális termékeknél, ahol a gyártási folyamat az (1) bekezdésben megadottnál nagyobb tűrést indokol, a nagyobb tűrés a termék nyersanyag-összetételének a 14–15. §-ok szerinti ellenőrzése során csak kivételesen engedhető meg, és csak akkor, ha a gyártó annak szükségességét megfelelően igazolni tudja. Az ilyen intézkedésekről haladéktalanul tájékoztatni kell az Európai Bizottságot.
a) azokat a látható, eltávolítható, díszítő céllal felhasznált szálakat, amelyek aránya nem haladja meg a késztermék tömegének 7%-át;
b) az antisztatikus hatás elérése céljából beépített szálakat (pl. fémszálak), amelyek aránya nem haladja meg a késztermék tömegének 2%-át.
(2) A 8. § (4) bekezdése szerinti esetben az (1) bekezdés szerinti arányokat nem a termék teljes tömegére, hanem külön a láncfonal és külön a vetülékfonal tömegére kell vonatkoztatni.
11. § (1) A nyersanyag-összetétel meghatározásakor figyelembe veendő szálasanyagtömegbe nem számíthatók be a következő részek:
a) a textiltermék szerves részét nem képező nem textil részek, a szövetszegélyek, címkék, jelvények, szegélyek és bordűrök, továbbá a textilbevonatú gombok és csatok, a díszítőelemek és hasonló kiegészítők, a nem rugalmas szalagok, valamint a 10. § (1) bekezdésében meghatározott feltételekkel alkalmazott, látható, eltávolítható díszítő vagy antisztatikus szálak;
b) a kenőanyagok, kötőanyagok, nehezítők, íranyagok és kikészítőanyagok, impregnáló és hasonló anyagok, valamint a színező-, nyomó adalékok és más textil segédanyagok;
c) a burkoló anyagok és szőnyegek esetében a hasznos felületen kívüli egyéb összetevők;
d) bútorszövetek, függönyök, másodfüggönyök esetében a kötő- és töltőláncok, illetve vetülékek, amelyek nem képezik a hasznos felület, illetve a színoldal részét;
e) a c) és d) pontban meghatározottakon kívüli egyéb textiltermékek esetében az alap- vagy alátétkelmék, merevítő és erősítő kelmék, közbélések, merevítő vásznak, tűző-, fércelőcérnák, hacsak azok nem a szövet lánc, illetve vetülékfonalát helyettesítik, a nem hőszigetelő funkciójú töltőanyagok, és a 12. § (1) bekezdésének figyelembevételével a bélésanyagok.
a) alapkelme: a textiltermék azon része, amely a hasznos felület alapszöveteként szolgál, így különösen a takarók, kettős szövetek alapszövetei, valamint a bársony, plüss és hasonló szövetek alaprétegei, amelyek nem minősülnek eltávolítandó bélésnek;
b) merevítő és erősítő kelme: az a fonal vagy kelme, amely a textilterméket meghatározott, korlátozott szakaszán erősíti, merevíti vagy vastagítja.
Összetett textíliák nyersanyag-összetételének megadása
12. § (1) Két vagy több összetevőből álló textilterméknél, ha az összetevők nyersanyag-összetétele nem azonos, a nyersanyag-összetételt – az e §-ban meghatározott kivételekkel – az egyes összetevőkre vonatkozóan külön-külön kell megadni. Nem kell önállóan megadni azon összetevők nyersanyag-összetételét, amelyek nem teszik ki a textiltermék össztömegének 30%-át, kivéve a fő bélésanyagokat, amelyek nyersanyag-összetételét minden esetben fel kell tüntetni.
(2) Ha két vagy több textiltermék rendeltetésszerűen egységes egészet képez és nyersanyag-összetételük azonos, a nyersanyag-összetétel megadása együttesen teljesíthető.
(3) Égetett textilterméknél a nyersanyag-összetételt a termék egészére kell megadni, és az alapkelme és a kiégetéssel mintázott rész összetétele ezen részek megnevezése mellett külön-külön is feltüntethető.
(4) Hímzett textilterméknél a nyersanyag-összetételt a termék egészére kell megadni, és az alapkelme és a hímzőfonal összetétele ezen összetevők megnevezése mellett külön-külön is feltüntethető. Ha a hímzett rész felülete nem éri el a termék felületének 10%-át, csak az alapkelme összetételét kell megadni.
(5)6 A különböző szálasanyagból készült magfonalat és burkolófonalat tartalmazó, fogyasztóknak forgalmazott fonalnál a nyersanyag-összetételt a termék egészére kell megadni, és a magfonal és a burkolófonal összetétele ezen összetevők megnevezése mellett külön-külön is feltüntethető.
(6) A bársony, plüss, továbbá a bársony, illetve plüss jellegű textiltermékeknél a nyersanyag-összetételt a termék egészére kell megadni. Ha a termék alapkelméje és hasznos felülete különböző szálasanyagból készült, az alapkelme és a hasznos felület (színoldal) összetétele ezen részek megnevezése mellett külön-külön is feltüntethető.
(7) A padlóburkoló anyagok és szőnyegek nyersanyag-összetételét a termék egészére kell megadni. Ha az alapkelme és a hasznos felület különböző szálasanyagból készült, az összetétel megadható kizárólag a hasznos felületre vonatkozóan is.
a) az alábbi fűzőtermékek nyersanyag-összetételét a teljes termék vagy az alábbiakban felsorolt alkotórészek összetételének együttes vagy külön-külön történő feltüntetésével kell megadni:
aa) melltartónál: a kosár és hátrész külső és belső anyaga,
ab) fűzőnél: az elülső, hátsó és oldalsó merevítő elemek,
ac) derékig szabott melltartónál (corsage): a kosár külső és belső kelméje, az elülső, a hátsó és az oldalsó merevítő elemek;
b) az a) pontban felsoroltaktól eltérő fűzőtermékek nyersanyag-összetételét a teljes termékre vonatkozóan, illetve az alkotórészek együttes vagy külön-külön történő jelzésével kell feltüntetni; ez a címkézés nem kötelező a termék össztömegének 10%-át el nem érő alkotórészek esetén.
(9) A (8) bekezdésben említett fűzőtermékek egyes részeinek nyersanyag-össszetételét úgy kell megadni, hogy a fogyasztó könnyen megérthesse, hogy a tájékoztatás a termék mely részére vonatkozik.
13. § (1)7 A nyersanyag-összetételt a textilterméken címkézés vagy egyéb megfelelő jelölés útján kell megadni, a termékre ráerősítve vagy beleszőve. Ha a terméket nem fogyasztók számára forgalmazzák, a címkézés vagy egyéb jelölés a terméket kísérő kereskedelmi dokumentumokkal helyettesíthető vagy egészíthető ki.
(2)8 A kereskedelmi dokumentumokban a nyersanyag-összetételre vonatkozó, az 5–8. §-ok szerinti adatokat, valamint az 1. mellékletben meghatározott elnevezéseket, leírásokat és tájékoztatást egyértelműen kell feltüntetni, az Európai Unió valamely hivatalos nyelvén, a 2008/121/EK európai parlamenti és tanácsi irányelv I. melléklete szerint. Nem megengedett a rövidítések használata a kereskedelmi szerződésben, számlán vagy szállítólevélben, kódok azonban alkalmazhatók, amennyiben azok magyarázata ugyanabban a dokumentumban kifejtésre kerül.
(3)9 A nyersanyag-összetételre vonatkozó, az 5–8. § szerinti adatokat, valamint az 1. mellékletben meghatározott elnevezéseket, leírásokat és tájékoztatást világosan olvasható, egységes írásképben, magyar nyelven kell feltüntetni a textiltermék csomagolásán vagy más módon a textiltermékhez rögzítve, továbbá a textiltermékre vonatkozó kereskedelmi kommunikációban. Megengedett azonban, hogy ezek az adatok a magyar nyelv mellett más nyelven is szerepeljenek.
(4) A (3) bekezdéstől eltérően a magyar nyelv használata a varró-, stoppoló- és hímzőcérnáknál, a csévéknél, tekercseknél, motringoknál, gombolyagoknál vagy más kisméretű egységeknél kizárólag a gyűjtőcsomagoláson szereplő címkén kötelező, az egyes egységek címkézése – a 3. melléklet 18. pontjában foglaltakra is figyelemmel – az Európai Unió bármely hivatalos nyelvén történhet.
(6)11 A nyersanyag-összetételen kívüli, a textiltermék jellemzésére vonatkozó egyéb tájékoztatást az e rendelet szerinti tájékoztatástól elkülönülten kell feltüntetni. A márkajelzés és a cégnév a nyersanyag-összetételre vonatkozó adatokhoz közvetlenül kapcsolható. Ha azonban a márkajelzés vagy a cégnév az 5–8. §-okban és az 1. mellékletben meghatározott elnevezések valamelyikét vagy azzal összetéveszthető elnevezést önállóan, szóösszetételben vagy jelzőként tartalmaz, a kérdéses elnevezés csak a termék nyersanyag-összetételére vonatkozó adatokkal együtt tüntethető fel.
(7)12 A csomagolási egységenként forgalmazott, kis kiszerelési egységekből álló termékeknél a nyersanyag-összetétel a csomagoláson adható meg.
(8) Méteráruként értékesített textilterméknél a nyersanyag-összetételt tartalmazó címkét a kiszerelési egységre (vég, tekercs) kell felerősíteni. A fogyasztó kérésére azonban a forgalmazó köteles a nyersanyag-összetételre vonatkozó adatokat írásban rendelkezésre bocsátani.
14. § A textiltermék nyersanyag-összetételének meghatározására, illetve a címkén feltüntetett adatok hitelességének ellenőrzésére vonatkozó vizsgálatokat az 5. mellékletben szereplő mintavételi, minta-előkészítési eljárások alkalmazásával, a 6. és a 7. mellékletben szereplő vizsgálati módszerekkel kell elvégezni.
16. § (1) Ez a rendelet a kihirdetését követő 8. napon lép hatályba.
1. a kétkomponensű textilszálkeverékek mennyiségi elemzésének egyes módszereiről szóló 96/73/EK európai parlamenti és tanácsi irányelvnek,
2. a háromkomponensű textilszálkeverékek mennyiségi elemzésére vonatkozó tagállami jogszabályok közelítéséről szóló 73/44/EGK tanácsi irányelvnek,
3. a kétkomponensű textilszálkeverékek mennyiségi elemzésének egyes módszereiről szóló 96/73/EK európai parlamenti és tanácsi irányelv II. mellékletének a műszaki fejlődéshez való hozzáigazítása céljából történő módosításáról szóló 2006/2/EK bizottsági irányelvnek,
4. a kétkomponensű textilszálkeverékek mennyiségi elemzésének egyes módszereiről szóló 96/73/EK európai parlamenti és tanácsi irányelv II. mellékletének a műszaki fejlődéshez való hozzáigazítása céljából történő módosításáról szóló 2007/4/EK bizottsági irányelvnek,
5. a textiltermékek elnevezéséről szóló 2008/121/EK európai parlamenti és tanácsi irányelvnek,
6. a textiltermékek elnevezéséről szóló 2008/121/EK európai parlamenti és tanácsi irányelv I. és V. mellékletének a műszaki fejlődéshez való hozzáigazítása céljából történő módosításáról szóló 2009/121/EK bizottsági irányelvnek,
7. a kétkomponensű textilszálkeverékek mennyiségi elemzésének egyes módszereiről szóló 96/73/EK európai parlamenti és tanácsi irányelv II. mellékletének a műszaki fejlődéshez való hozzáigazítása céljából történő módosításáról szóló 2009/122/EK bizottsági irányelvnek és
8. a Cseh Köztársaság, az Észt Köztársaság, a Ciprusi Köztársaság, a Lett Köztársaság, a Litván Köztársaság, a Magyar Köztársaság, a Máltai Köztársaság, a Lengyel Köztársaság, a Szlovén Köztársaság és a Szlovák Köztársaság csatlakozásának feltételeiről, valamint az Európai Unió alapját képező szerződések kiigazításáról szóló okmány II. melléklet 1. rész F. pont (2) bekezdésének
való megfelelést szolgálja.
1. melléklet a 25/2005. (IV. 29.) GKM rendelethez16
A textilszálak táblázata
A |
B |
C |
Sor- szám |
Elnevezés |
A szál leírása |
1. |
Gyapjú |
A juh (Ovis aries) bundájából származó szál. |
2. |
Alpaka, láma, teve, kasmír, moher, angora (nyúl), vikunya, yak, guanako, kasgóra, hód, vidra, a megnevezés után „gyapjú” vagy „szőr” megjelöléssel vagy anélkül |
Az alábbi állatok szőre: alpakakecske, láma, teve, kasmirkecske, angorakecske, angoranyúl, vikunya, yak, guanakoláma, kasgórakecske, hód, vidra. |
3. |
Állati szőr, az állatfajta megadásával vagy anélkül (pl. marhaszőr, házikecskeszőr, lószőr) |
Különböző állatok szőre, amennyiben azok nem tartoznak az 1. és a 2. pont alá. |
4. |
Selyem |
Olyan szál, amit kizárólag a selyemfonal-kibocsátó rovar gubójából nyernek. |
5. |
Pamut |
A gyapotnövény (Gossypium) tokjából származó szál. |
6. |
Kapok |
A kapok (Ceiba pentandra) gyümölcsének belsejéből származó szál. |
7. |
Len |
A len (Linum usitatissimum) szárából (kóróból) származó rostszál. |
8. |
Kender |
A kender (Cannabis sativa) szárából származó rostszál. |
9. |
Juta |
A Corchorus olitorius és a Corchorus capsularis szárából származó rostszál. A jutával azonos módon kell eljárni a következő rostnövényekből származó rostszálakkal: Hibiscus cannabinus, Hibiscus sabdariffa, Abultilon avicennae, Urena lobata, Urena sinuata. |
10. |
Manilakender |
A Musa textilis szárát burkoló levelekből nyert rostszál. |
11. |
Alfafű |
A Stipa tenacissima leveleiből nyert rostszál. |
12. |
Kókusz |
A Cosos nucifera gyümölcséről származó rostszál. |
13. |
Seprűzanót |
Másképpen: Ginszter. A Cytisus scoparius, illetve a Spartium junceum ágából nyert rostból készült szál. |
14. |
Rami |
A Boehmeria nivea és a Boehmeria tenacissima szárából nyert rostszál. |
15. |
Szizál |
Az Agave sisalana leveléből nyert rostszál. |
16. |
Indiai kender |
Másképpen: Sunn. A Crotalaria juncea rostjából készült szál. |
17. |
Mexikói szizál |
Másképpen: Henequen. Az Agave fourcroydes rostjából készült szál. |
18. |
Agávé |
Másképpen: Maguey. Az Agave cantala rostjából készült szál. |
19. |
Acetát |
Kevesebb mint 92%, azonban legalább 74% acetilezett hidroxil csoportú cellulózacetátból készült szál. |
20. |
Alginát |
Az alginsav fémsóiból készült szál. |
21. |
Rézoxid-szál |
Másképpen: Kupro. Rézoxidammóniák eljárás szerint készült regenerált cellulózszál. |
22. |
Modál |
Módosított viszkóz eljárással előállított nagy szakítószilárdságú és nedves modulusú regenerált cellulózszál. A szakítószilárdság (BC) szabványos állapotban és az 5%-os megnyúláshoz szükséges erő (BM): BC (cN)>=1,3 √T+2T BM (cN)>=0,5 √T, ahol T az átlagos lineáris sűrűség decitexben. |
23. |
Fehérjeszál |
Természetes fehérjéből nyert, vegyszerekkel regenerált és stabilizált szál. |
24. |
Triacetát |
Cellulózacetátból előállított szál, amelyben a hidroxil-csoportoknak legalább 92%-a acetilezett. |
25. |
Viszkóz |
Viszkóz eljárással készült, regenerált cellulózból álló végtelen és vágott szál. |
26. |
Akril |
Olyan lineáris makromolekulákból előállított szál, melynek lánca legalább 85 tömegszázalék akrilnitrilből épül fel. |
27. |
Poliklorid |
Olyan lineáris makromolekulából előállított szál, melynek lánca több mint 50 tömegszázalék vinilklorid vagy vinilidénklorid monomer egységeket tartalmazó makromolekulákból áll. |
28. |
Fluorszál |
Lineáris makromolekulákból álló szál, amelyet alifás fluor-karbon monomerekből nyernek. |
29. |
Modakril |
Lineáris makromolekulákból álló szálak, melyek láncai 50%-nál több, de 85%-nál kevesebb tömegszázaléknyi akrilnitrilből épülnek fel. |
30. |
Poliamid vagy nejlon |
A láncban legalább 85%-ban alifás vagy ciklo-alifás egységekhez kapcsolódó, ismétlődő amidkötéseket tartalmazó szintetikus, lineáris makromolekulákból álló szál. |
31. |
Aramid |
Szintetikus lineáris makromolekulákból álló szál, amely aromás csoportokhoz kapcsolódó amid- vagy imidkötésekből áll, amelyek legalább 85%-a közvetlenül kapcsolódik két aromás gyűrűhöz, és az esetlegesen jelenlevő imidkötések száma nem haladja meg az amidkötésekét. |
32. |
Poliimid |
Szintetikus lineáris makromolekulákból álló szál, amely ismétlődő imidegységeket tartalmaz. |
33. |
Lyocell |
Egy szerves oldószerrel és oldatból történő szálképzési eljárással, származékok képződése nélkül előállított regenerált cellulózszál. |
34. |
Polilaktid |
A láncban legalább 85% természetesen előforduló cukrokból származó tejsavészter-egységet tartalmazó, lineáris makromolekulákból álló szál, amelynek olvadási hőmérséklete legalább 135 °C. |
35. |
Poliészter |
Olyan lineáris makromolekulákból álló szál, amelynek láncai legalább 85 tömegszázalékban tereftálsavészterből állnak. |
36 |
Polietilén |
Nem helyettesített, alifás szénhidrogénekből összetevődő, telített lineáris makromolekulákból álló szál. |
37. |
Polipropilén |
Szálak lineárisan telített alifás szénhidrogénekből, amelyek minden második szénatomjához egy izotaktikus elrendezésű metilcsoport kapcsolódik további helyettesítés nélkül. |
38. |
Polikarbamid |
Lineáris makromolekulákból álló szál, amelynek lánca ismétlődő (NH-CO-NH) funkcionális csoportot tartalmaz. |
39. |
Poliuretán |
Olyan lineáris makromolekulákból álló szál, amelynek láncai ismétlődő funkcionális uretáncsoportokkal rendelkeznek. |
40. |
Vinilszál |
Lineáris makromolekulákból álló szál, amelynek láncai különböző acetalezettségi fokú polivinilalkoholból épülnek fel. |
41. |
Trivinil |
Szál három különböző vinilmonomerből, amely akrilnitrilből, klórozott vinilmonomerből és egy harmadik vinilmonomerből tevődik össze, amelyek közül egyik sem tesz ki 50% tömeghányadot. |
42. |
Elasztodién |
Elasztikus szál, amely természetes vagy szintetikus poliizoprénből áll egy vagy több polimerizált dienből, egy vagy több vinilmonomerrel vagy anélkül, és amely szálirányú húzóerő hatására eredeti hosszának háromszorosára nyúlik meg, majd tehermentesítés után azonnal visszanyeri megközelítőleg a kiindulási hosszát. |
43. |
Elasztán |
Elasztikus szál, amely legalább 85 tömegszázalékban szegmentált poliuretánból áll, és amely húzóerő hatására eredeti hosszának háromszorosára nyúlik meg, majd tehermentesítés után azonnal visszanyeri megközelítőleg a kiindulási hosszát. |
44. |
Üvegszál |
Üvegből készült szál. |
45. |
Elnevezés annak az anyagnak megfelelően, amelyből a szálak összetevődnek, pl. fém (fémes, fémezett), azbeszt, papír, „szál” vagy „fonal” kiegészítéssel vagy anélkül |
Különböző vagy újszerű anyagból készült szálak, amelyek az előzőekben nincsenek felsorolva. |
46. |
Elaszto-multiészter |
Két vagy több vegyileg megkülönböztethető lineáris molekula (amelyek egyike sem haladja meg a teljes tömeg 85%-át) kölcsönhatása által, két vagy több megkülönböztethető szakaszban létrehozott szál, amelyben az észtercsoport alkotja a meghatározó egységnyi mennyiséget (legalább 85%), és amely – megfelelő kezelést követően – eredeti hosszának másfélszeresére kinyújtva, majd elengedve, rövid idő alatt lényegében visszanyeri eredeti hosszát. |
47. |
Elasztolefin |
Legalább 95%-ban (tömegszázalékban) részben keresztkötéseket tartalmazó makromolekulákból álló, etilénből és legalább egy másik olefinből előállított szál, amely eredeti hosszának másfélszeresére kinyújtva, majd elengedve rövid idő alatt lényegében visszanyeri eredeti hosszát. |
48. |
Melamin |
Legalább 85 tömegszázalékban melaminszármazékok keresztkötéses láncmolekuláiból álló szál. |
2. melléklet a 25/2005. (IV. 29.) GKM rendelethez
Termékek, amelyekre nem kötelező a nyersanyag-összetétel megadása
1. ingujj rögzítő
2. óraszíj textíliából
4. textilanyagokból készült bélelt edényfogók
5. kávéskanna melegítő
6. teáskanna melegítő
7. könyökvédő
8. muff nem bolyhos kelmékből
9. művirág
10. tűpárna
11. festett vászonkép
12. textiltermékek erősítés és merevítés céljára
13. nemez
14. használt konfekcionált termékek, amennyiben azok kifejezetten így vannak megnevezve
15. kamásni
16. csomagolóanyag, mely nem újként kerül eladásra
17. nemez kalap
18. táska- és nyergesáru textilanyagból
19. utazási termékek textilanyagból
20. kész vagy készítendő kézi hímzésű faliszőnyeg és annak anyaga, beleértve a hímzőcérnát, melyet a
hímzővászontól külön árusítanak, és speciálisan faliszőnyeghez való alkalmazásra kínálnak
21. húzózár
22. textilanyaggal behúzott gomb és csat
23. könyvborító textilanyagból
24. játékszer
25. cipőáru textil részei, a meleg bélés kivételével
26. több darabból álló, 500 cm2-nél kisebb felületű alátétek
27. edénymelegítő és fogókesztyű
28. tojásmelegítő
29. kozmetikai táska
30. textilből készült dohányzacskó
31. textilből készült szemüvegtokok, cigaretta és szivartartók, tokok öngyújtó és fésű számára
32. sport védőeszközök a kesztyű kivételével
33. piperetáska
34. cipőtisztító táska
35. temetési termékek
36. egyszer használatos termékek, az egészségügyi (pl. vatta, tampon) termékek kivételével. (Egyszer használatosnak azokat a textiltermékeket kell tekinteni, amelyeket csak egyszeri vagy korlátozott ideig való használatra terveztek, és amelyek normál használata eleve kizárja annak későbbi azonos vagy hasonló célú használatát.)
37. az Európai Gyógyszeregyezmény hatálya alá eső, abban hivatkozott textiltermékek, nem egyszer használatos gyógyászati és ortopédiai kötések, és általában az ortopédiai textiltermékek
38. a 3. melléklet 12. pontjában felsorolt textiltermékek, beleértve a zsinórokat, köteleket és zsinegeket, melyek szokásos használata a következő: a) berendezés alkatrészeként termékek gyártásánál és feldolgozásánál
b) beépített részként gépekhez, szerelvényekhez (fűtés, légkondicionálás, világítás), háztartási és más berendezésekhez, járművekhez és más szállítóeszközökhöz, vagy azok működtetésére, vagy karbantartására, vagy azok felszereléseire, ha azok nem ponyvaborítók és textilből készült járműtartozékok, amelyeket nem a járművel együtt értékesítenek
39. textiltermékek védő és biztonsági céllal, mint a biztonsági övek, ejtőernyők, mentőmellények, tűzoltó csúszdák, tűzoltó eszközök, golyóálló mellények és speciális védőruhák (pl. tűz, vegyi anyagok és egyéb kockázati tényezők elleni védelem)
40. túlnyomásos levegővel kifeszített szerkezetek (pl. sportcsarnokok, kiállítási csarnokok vagy raktárak céljára), feltéve, hogy mellékelik a teljesítményére és műszaki előírásaira vonatkozó információt
41. vitorlák
42. állatok számára készített ruházat
43. zászlók és lobogók
3. melléklet a 25/2005. (IV. 29.) GKM rendelethez
Termékek, melyekre csak globális címkézés, illetve megnevezés szükséges
1. felmosórongy
2. tisztítókendő
3. bordűr és szegély
4. rojt
5. öv
6. nadrágtartó
7. harisnya- és zoknitartó
8. cipőfűző
9. szalag
10. gumirugalmas szalag
11. új csomagolóanyag, mely ilyen célból kerül eladásra
13. alátétek
14. zsebkendő
15. kontyháló és hajháló
16. gyermek nyakkendő és csokornyakkendő
17. előke, mosdókesztyű és arckendő
18.18 varró-, stoppoló- és hímzőcérna fogyasztóknak történő forgalmazása, kis kiszerelésben, 1 grammos vagy annál kisebb nettó tömeggel.
19. függönyökhöz, sötétítőfüggönyökhöz és redőnyökhöz való szalagok
4. melléklet a 25/2005. (IV. 29.) GKM rendelethez19
Egyezményes járulékanyag-hányadok
A |
B |
C |
Sor- szám |
Szál |
% |
1–2. |
Gyapjú és szőrök |
|
fésült szálak |
18,25 |
kártolt szálak |
17,00 |
3. |
Szőrök |
|
fésült szálak |
18,25 |
kártolt szálak |
17,00 |
Lószőr |
|
fésült szálak |
16,00 |
kártolt szálak |
15,00 |
4. |
Selyem |
11,00 |
5. |
Pamut |
|
szokásos szálak |
8,50 |
mercerezett szálak |
10,50 |
6. |
Kapok |
10,90 |
7. |
Len |
12,00 |
8. |
Kender |
12,00 |
9. |
Juta |
17,00 |
10. |
Manilakender |
14,00 |
11. |
Alfafű |
14,00 |
12. |
Kókusz |
13,00 |
13. |
Seprűzanót |
14,00 |
14. |
Rami (fehérített szálak) |
8,50 |
15. |
Szizál |
14,00 |
16. |
Indiai kender |
12,00 |
17. |
Mexikói szizál |
14,00 |
18. |
Agáve |
14,00 |
19. |
Acetát |
9,00 |
20. |
Alginát |
20,00 |
21. |
Rézoxid-szál |
13,00 |
22. |
Modál |
13,00 |
23. |
Fehérjeszál |
17,00 |
24. |
Triacetát |
7,00 |
25. |
Viszkóz |
13,00 |
26. |
Akril |
2,00 |
27. |
Poliklorid |
2,00 |
28. |
Fluorszál |
0,00 |
29. |
Modakril |
2,00 |
30. |
Poliamid vagy nejlon |
|
vágott szál |
6,25 |
végtelen szál |
5,75 |
31. |
Aramid |
8,00 |
32. |
Poliimid |
3,50 |
33. |
Lyocell |
13,00 |
34. |
Polilaktid |
1,50 |
35. |
Poliészter |
|
vágott szál |
1,50 |
végtelen szál |
1,50 |
36. |
Polietilén |
1,50 |
37. |
Polipropilén |
2,00 |
38. |
Polikarbamid |
2,00 |
39. |
Poliuretán |
|
vágott szál |
3,50 |
végtelen szál |
3,00 |
40. |
Vinil |
5,00 |
41. |
Trivinil |
3,00 |
42. |
Elasztodién |
1,00 |
43. |
Elasztán |
1,50 |
44. |
Üvegszál |
|
végtelen szál 5 μm átmérő felett |
2,00 |
végtelen szál 5 μm átmérőig |
3,00 |
45. |
Fémszál |
2,00 |
Fémezett szál |
2,00 |
Azbesztszál |
2,00 |
Papírfonal |
13,75 |
46. |
Elaszto-multiészter |
1,50 |
47. |
Elasztolefin |
1,50 |
48. |
Melamin |
7,00 |
5. melléklet a 25/2005. (IV. 29.) GKM rendelethez
A vizsgálati minták és a próbadarabok előkészítése textil termékek nyersanyag-összetételének meghatározásához
1. ALKALMAZÁSI TERÜLET
Ez a melléklet megadja azokat az eljárásokat, melyekkel kivehetők a laboratóriumi mintákból a megfelelő nagyságú (azaz 100 g-nál nem nagyobb tömegű) vizsgálati minták, a nyersanyag-összetétel mennyiségi meghatározását megelőző előkezelésekhez, valamint kiválaszthatók a próbadarabok a vizsgálati mintákból, melyek előkezelése már megtörtént, az idegenanyagok eltávolítása céljából.
2. FOGALOMMEGHATÁROZÁSOK
2.1. Tétel: Az az anyagmennyiség, amelyet egy vizsgálatieredmény-sorozat alapján értékelünk. Ennek tartalma lehet például egy kelmeszállítmány összes anyaga, egy adott lánchengerről szőtt összes szövet, egy fonalszállítmány, egy vagy több bála nyers szálasanyag.
2.2. Laboratóriumi minta: A tételnek az a része, mely reprezentálja a teljes mennyiséget, és a laboratórium rendelkezésére áll. A laboratóriumi minta mennyiségét és tartalmát úgy kell megválasztani, hogy jól reprezentálja a szállítmányon belüli ingadozásokat, és könnyen kezelhető legyen a laboratóriumban.
2.3. Vizsgálati minta: A laboratóriumi minta része, amelyből az előkezelés során eltávolítjuk az idegenanyagot, és amelyből a próbadarabokat kivesszük. A vizsgálati minta mennyiségét és tartalmát úgy kell megválasztani, hogy jól reprezentálja a laboratóriumi mintán belüli ingadozásokat.
2.4. Próbadarab: A vizsgálati mintának az a része, amely egy vizsgálati eredményt ad.
3. ALAPELV
A vizsgálati mintát úgy választjuk ki, hogy az reprezentálja a laboratóriumi mintát.
A próbadarabokat úgy vesszük ki a vizsgálati mintából, hogy azok mindegyike reprezentálja a vizsgálati mintát.
4. MINTAVÉTEL LAZA SZÁLAKBÓL
4.1. Irányítatlan szálak – Állítsuk össze a vizsgálati mintát a laboratóriumi mintából véletlenszerűen kivett szálcsomókból. Alaposan keverjük össze a teljes vizsgálati mintát egy laboratóriumi kártoló segítségével. Végezzük el a fátyol vagy a keverék, valamint a lehulló és a keverő eszközre tapadt szálak előkezelését. Ezután vegyük ki a próbadarabokat a fátyolból vagy keverékből, a lehulló szálakból és a keverő eszközre tapadt szálakból a megfelelő tömegarányban.
Ha a kártolt fátyol az előkezelés után sértetlen marad, a próbadarabokat a 4.2. pontban leírt módon vegyük ki. Ha az előkezelés során a kártolt fátyol szétbomlik, minden próbadarabhoz húzzunk ki véletlenszerűen legalább 16 megfelelő, közel azonos méretű kis szálcsomót, és egyesítsük azokat.
4.2. Irányított szálak (kártolt fátylak, szalagok, előfonalak) – Vágjunk ki a laboratóriumi minta véletlenszerűen kiválasztott részeiből legalább 10, egyenként kb. 1 g-os részt, teljes keresztmetszetben. Végezzük el az így kialakított vizsgálati minta előkezelését. Egyesítsük újra a keresztmetszeti vágatokat, az oldalukkal egymás mellé helyezve őket, majd vágjuk le belőle a próbadarabot úgy, hogy mind a 10 darabból kerüljön bele egy rész.
5. MINTAVÉTEL FONALBÓL
5.1. Kiszerelt fonalak – Mintázzuk meg a laboratóriumi minta minden kiszerelési egységét.
Húzzunk le minden kiszerelési egységről folyamatosan elegendő, azonos hosszúságú fonalat úgy, hogy azonos számú fordulattal készítsünk motringokat egy motollával vagy egy hasonló eszközzel. Egyesítsük egyetlen motringgá a lecsévélt fonalakat, ügyelve arra, hogy minden kiszerelési egységről azonos hosszúságú fonal kerüljön az így létrehozott vizsgálati mintába.
Végezzük el a vizsgálati minta előkezelését.
Vegyük ki a próbadarabokat a vizsgálati mintából úgy, hogy vágjunk ki egyenlő hosszúságú fonalakból álló köteget, ügyelve arra, hogy a motring keresztmetszetében levő összes fonal kerüljön bele a kötegbe.
A 10 g tömegű vizsgálati mintához az egyes kiszerelési egységekről lehúzandó fonal hosszát a következő képlettel számíthatjuk ki:
L=
ahol
L |
az egyes kiszerelési egységekről lehúzandó fonal hossza (cm), |
N |
a laboratóriumi mintába kiválasztott kiszerelési egységek száma (db), |
Tt |
a fonal lineáris sűrűsége (tex). |
Ha az (NxTt) értéke nagyon nagy, azaz több mint 2000, akkor egy nagyobb tömegű matringot csévéljünk fel, és vágjuk két részre hogy megfelelő tömegű köteget kapjunk. A kötegformájú minta végeit az előkezelés előtt gondosan össze kell kötözni, a próbadarabot a kötés helyétől távol vegyük ki.
5.2. Láncfonal – A vizsgálati mintát úgy vegyük ki, hogy vágjunk le legalább egy 20 cm-es darabot a lánchenger végéből, minden fonalból, kivéve a szövetszegély fonalait. Kötözzük össze a fonalköteget az egyik vége közelében. Ha a teljes minta túl nagy az előkezeléshez, bontsuk fel két vagy több részre, mindegyiket kötözzük össze az előkezeléshez, majd egyesítsük újra a külön-külön előkezelt részeket. A próbadarabot úgy vegyük ki, hogy vágjunk le a vizsgálati minta végéből, mely a kötözés helyétől távolabb esik, egy megfelelő hosszúságú darabot, mely minden fonalat tartalmaz. A 1 g tömegű próbadarab hosszát a következő képlettel számíthatjuk ki:
L=
ahol
L |
az 1 g tömegű próbadarab hossza (cm), |
N |
a lánchengert alkotó fonalak száma (db), |
Tt |
a fonal lineáris sűrűsége (tex). |
6. MINTAVÉTEL KELMÉBŐL
6.1. Mintavétel olyan laboratóriumi mintából mely egyetlen, a kelmét reprezentáló vágatot tartalmaz
Vágjunk ki egy átlós sávot egyik saroktól a másikig és távolítsuk el a szövetszegélyt. Ez a sáv a vizsgálati minta. Egy ’X’ g tömegű vizsgálati minta előállításához szükséges sáv területét a következő képlettel számíthatjuk ki:
A=
ahol
A |
a sáv területe (cm2), |
X |
a minta tömege (g), |
G |
a kelme területi sűrűsége (g/m2). |
|
|
Végezzük el a laboratóriumi minta előkezelését, majd vágjuk rézsútosan négy egyenlő részre, és helyezzük egymásra a részeket.
Vegyük ki a próbadarabokat a rétegezett anyag tetszőleges részéből, az összes réteg átvágásával úgy, hogy minden próbadarab azonos hosszúságú darabot tartalmazzon minden rétegből.
Ha a kelme szőtt mintázatú, akkor a vizsgálati minta szélessége, a lánciránnyal párhuzamosan mérve, nem lehet kisebb, mint egy mintaelem hossza láncirányban. Ha ennek a feltételnek teljesítésével a vizsgálati minta túl nagy ahhoz, hogy egyben előkezeljük, vágjuk egyenlő részekre, végezzük el külön-külön az előkezelést, majd a próbadarabok kivétele előtt fektessük egymásra az egyes részeket, ügyelve arra, hogy a mintázat hasonló részei ne kerüljenek egymás fölé.
6.2. Mintavétel olyan laboratóriumi mintából, mely több vágatot tartalmaz
Kezeljünk minden vágatot a 6.1. pontban megadottak szerint, és külön adjunk meg minden eredményt.
7. MINTAVÉTEL FELDOLGOZOTT ÉS KÉSZTERMÉKBŐL
A laboratóriumi minta rendszerint a teljes feldolgozott vagy késztermék, vagy annak egy reprezentatív része.
Ha szükséges, határozzuk meg a termék eltérő, nem azonos összetételű részeinek százalékarányát, a 11. §-nak való megfelelés ellenőrzése céljából. Vegyük ki a vizsgálati mintát, mely a feldolgozott vagy készterméknek azt a részét reprezentálja, melynek összetételét a címkén fel kell tüntetni. Ha a terméken több címke van, akkor mindegyik – címkével jelölt – részből vegyünk ki egy reprezentatív vizsgálati mintát.
Ha a termék, melynek összetételét meghatározzuk, nem egységes, szükséges lehet a termék minden egyes részéből kivenni egy vizsgálati mintát, és meghatározni az eltérő részek egymáshoz viszonyított arányát a szóban forgó teljes termékre vonatkozóan.
Ezután számítsuk ki a százalékarányt, a megmintázott részek egymáshoz viszonyított arányának figyelembevételével.
Végezzük el a vizsgálati minta előkezelését.
Ezután vegyük ki a próbadarabokat, melyek reprezentálják az előkezelt vizsgálati mintát.
6. melléklet a 25/2005. (IV. 29.) GKM rendelethez20
Két komponenst tartalmazó szálkeverékek nyersanyag-összetételének mennyiségi meghatározási módszerei
BEVEZETÉS
A szálkeverékek nyersanyag-összetételének meghatározási módszerei két eljáráson alapulnak: a száltípusok kézi és kémiai szétválasztásán.
Ha lehetséges, a kézi szétválasztás módszerét alkalmazzuk, mivel ez pontosabb eredményeket ad, mint a kémiai módszer. A kézi szétválasztás módszere alkalmazható minden olyan textíliánál, ahol a szálkomponensek nem alkotnak közvetlen (intim) keveréket, így pl. olyan fonalak esetében, amelyek több alkotóelemből állnak, és ezek mindegyike csak egy szálféleségből készült, vagy olyan szöveteknél, amelyekben a láncfonal más szálféleségből készült mint a vetülékfonal, vagy olyan felfejthető kötött kelméknél, amelyek különböző nyersanyagú fonalakból készültek.
A nyersanyag-összetétel meghatározás kémiai módszerei általában az egyes komponensek szelektív kioldásán alapulnak. Az egyik komponens eltávolítása után megmérjük az oldhatatlan maradék tömegét, és a tömegveszteségből kiszámítjuk az oldható komponens részarányát. A mellékletnek ez az első része általános információkat nyújt az ezzel a módszerrel vizsgált összes szálkeverékre, melyekkel e melléklet foglalkozik, tekintet nélkül az összetételükre. Ezt a részt a melléklet azon részeivel együtt kell használni, amelyek a egyes szálkeverékekre vonatkozó részletes eljárásokat tartalmazzák. Előfordul, hogy a vizsgálat más, a szelektív oldhatóságtól eltérő elven alapszik, ilyenkor a megfelelő rész teljes részletességgel tartalmaz minden információt.
A feldolgozás alatt álló szálkeverékek és – kisebb mértékben – a kész textiltermékek tartalmazhatnak természetes eredetű, vagy a feldolgozás megkönnyítésére hozzáadott idegenanyagokat, így zsírokat, viaszokat vagy segédanyagokat, valamint vízben oldható anyagokat. Az idegenanyagokat az analízis előtt el kell távolítani. Ezért az I.6. szakasz megad egy előkezelési módszert az olajok, zsírok, viaszok és vízoldható anyagok eltávolítására.
Ezenkívül a textíliák tartalmazhatnak gyantákat vagy más olyan anyagokat is, amelyeket azért alkalmaznak, hogy különleges tulajdonságokat kölcsönözzenek a textíliáknak. Az ilyen anyagok, amelyek közé kivételes esetben színezékek is tartozhatnak, zavarhatják a reagens oldható komponensekre gyakorolt hatását, és/vagy a reagensek részlegesen vagy teljesen eltávolíthatják ezeket. Az ilyen kísérő anyagok tehát hibákat okozhatnak, ezért a minta analízise előtt el kell távolítani ezeket. Ha az ilyen kísérő anyagok eltávolítása nem lehetséges, akkor az ebben a mellékletben – a nyersanyag-összetétel mennyiségi meghatározására – megadott kémiai módszerek nem alkalmazhatók.
A színezett szálakban lévő színezék a szál szerves részének tekinthető, és nem kell eltávolítani.
A vizsgálatok a száraz tömeget veszik alapul, ezért adott egy eljárás a száraz tömeg meghatározására.
Az eredmény úgy adódik, hogy minden egyes szálféleség száraz tömegét megnöveljük az egyezményes járulékanyag-hányadokkal, melyek a 4. számú mellékletben találhatók. A vizsgálat előtt a keverékben lévő minden szálféleséget azonosítani kell. Néhány módszer esetében az egyik komponens oldására alkalmazott oldószerben a keverék másik (oldhatatlan) komponense is részlegesen oldódhat. A reagenseket lehetőleg úgy kell megválasztani, hogy ne legyen, vagy csak csekély hatásuk legyen az oldhatatlan szálakra. Ha tudjuk, hogy az analízis során tömegveszteség lép fel, akkor az eredményt korrigálni kell. E célból az egyes módszereknél adottak a korrekciós tényezők. Ezeket a korrekciós tényezőket több laboratóriumban olyan módon határozták meg, hogy az előkezeléssel tisztított szálakat az adott módszernél előírt reagenssel kezelték. Ezek a korrekciós tényezők csak a nem károsodott szálak esetében alkalmazhatók. Ezektől eltérő korrekciós tényezők is szükségessé válhatnak, ha a szálak a feldolgozás előtt vagy a feldolgozás során károsodtak. A megadott eljárások egyszeri meghatározásokra vonatkoznak. Mind a kézi szétválasztás, mind a kémiai szétválasztás esetében legalább két nyersanyag-összetétel meghatározást kell végezni, külön próbadarabon. A biztonság érdekében, ha nincs műszaki akadálya, ajánlatos egy alternatív vizsgálatot is elvégezni egy olyan eljárással, amelyben azt az alkotórészt oldjuk ki, amelyik maradék volt a standard módszerben.
I. ÁLTALÁNOS INFORMÁCIÓK A TEXTIL SZÁLKEVERÉKEK NYERSANYAG-ÖSSZETÉTELÉNEK MENNYISÉGI MEGHATÁROZÁSI MÓDSZEREIRŐL
Közös információk a szálkeverékek nyersanyag-összetételének mennyiségi meghatározására megadott különböző módszerekhez.
I.1. Tárgy és alkalmazási terület
Minden egyes nyersanyag-összetétel meghatározási módszer alkalmazási területe felsorolja a szálféleségeket, melyekhez a módszer alkalmazható.
I.2. Alapelv
A keverék komponenseinek azonosítása után megfelelő előkezeléssel eltávolítjuk az idegenanyagokat, majd szelektív kioldással eltávolítjuk az egyik komponenst. Az oldhatatlan maradékot megmérjük, és az oldható komponens részarányát a tömegveszteségből kiszámítjuk. Ha nem jelent műszaki nehézséget, akkor lehetőleg a nagyobb részarányú szálkomponenst kell kioldani, így a kisebb részarányú szálkomponens lesz a maradék.
I.3. Eszközök és reagensek
I.3.1. Eszközök
I.3.1.1. Üveg szűrőtégelyek és mérőedények, amelyek elég nagyok a tégelyek befogadására, vagy bármilyen más eszközök, amelyek azonos eredményeket adnak.
I.3.1.2. Szívópalack
I.3.1.3. Exszikkátor, amely önindikáló szilikagélt tartalmaz.
I.3.1.4. Ventilációs szárítószekrény, a próbadarabok 105±3 °C-on való szárításához.
I.3.1.5. Analitikai mérleg, 0,0002 g-os pontosságú.
I.3.1.6. Soxhlet extraháló készülék, vagy olyan készülék, mely azonos eredményeket ad.
I.3.2. Reagensek
I.3.2.1. Petroléter, átdesztillált, forráspont 40–60 °C között.
I.3.2.2. A többi reagenst a módszer leírás megfelelő részei ismertetik. Minden felhasznált reagensnek vegytisztának kell lennie.
I.3.2.3. Desztillált vagy ionmentesített víz.
I.3.2.4. Aceton
I.3.2.5. Foszforsav
I.3.2.6. Karbamid
I.3.2.7. Nátrium-bikarbonát
I.4. Kondicionáló és vizsgálati légtér
Mivel a száraz tömegeket határozzuk meg, nem kell a próbadarabot kondicionálni. A vizsgálatot nem szükséges klimatizált légtérben végezni.
I.5. Vizsgálati minta
Vegyük ki a vizsgálati mintát úgy, hogy az reprezentálja a laboratóriumi mintát, és az összes próbadarabhoz – melyek mindegyike legalább 1 g – elegendő legyen.
I.6. A vizsgálati minta előkezelése
Ha valamely anyagot a [textiltermékek elnevezéséről szóló, 2009. január 14-i 2008/121/EK európai parlamenti és tanácsi irányelv 12. cikke f) pontjában leírt] százalékos számításokhoz nem szabad figyelembe venni, azt először el kell távolítani egy olyan módszerrel, amely egyik szálkomponensre sincs hatással.
Ennek érdekében a vízzel és petroléterrel eltávolítható idegenanyagok kivonása úgy történik, hogy a légszáraz mintát Soxhlet extrahálókészülékben egy órán keresztül petroléteres kivonásnak vetjük alá, óránként legalább 6 ciklus sebességgel. A petrolétert engedjük elpárologni a mintából, majd közvetlen kezeléssel extrahálunk, ami abból áll, hogy a mintát szobahőmérsékleten, egy órán keresztül vízben áztatjuk, majd ezt követően az áztatást egy további órán keresztül megismételjük 65 ±5 °C hőmérsékletű vízben, a folyadékot időnként felkeverve. A folyadék és a minta aránya 100:1 legyen. A felesleges vizet kipréseléssel, leszívatással vagy centrifugálással távolítsuk el a mintából, majd hagyjuk, hogy levegőn száradjon.
Elasztolefint vagy elasztolefint és más szálasanyagot (gyapjú, állati szőr, selyem, pamut, len, valódi kender, juta, manilakender, alfafű, kókusz, seprűzanót, rami, szizál, rézoxid-szál, modál, fehérjeszál, viszkóz, akril, poliamid vagy nejlon, poliészter és elaszto-multiészter) tartalmazó textilszálkeverékek esetében az imént ismertetett eljárást kissé módosítani kell, azaz a petrolétert acetonnal kell felváltani.
Az elasztolefint és acetátot tartalmazó textilszálkeverékek esetében az alábbi eljárást kell alkalmazni. Extraháljuk a mintát 80 °C-on 10 percig 25 g/l 50%-os foszforsavat és 50 g/l karbamidot tartalmazó oldattal. A folyadék és a minta aránya 100:1 legyen. A mintát mossuk ki vízben, majd távolítsuk el a vizet és mossuk le 0,1%-os nátrium-bikarbonát oldattal, végezetül gondosan mossuk le vízzel.
Ha a nemszálasanyag petroléterrel és vízzel nem vonható ki, a fentebb leírt vizes eljárást célszerű olyan megfelelő módszerrel helyettesíteni, amely a szál összetevőit nem változtatja meg számottevő mértékben. Némely fehérítetlen, természetes növényi rostot tartalmazó szál esetében (például juta vagy kókusz) megjegyzendő, hogy a petroléterrel és vízzel végzett normál előkezelés nem távolítja el az összes nemszálasanyagot; ennek ellenére nem alkalmazunk további előkezelést, hacsak a minta nem tartalmaz vízben és petroléterben egyaránt oldhatatlan appretálószereket.
Az elemzésről készült jelentésnek részletesen ki kell térnie az alkalmazott előkezelési módszerekre.
I.7. Vizsgálati eljárás
I.7.1. Általános útmutatás
I.7.1.1. Szárítás
Minden szárítás legalább 4 órán át, de 16 óránál nem tovább, ventilációs szárítószekrényben, zárt ajtónál, 105±3 °C-on történjen. Ha a szárítási időtartam 14 óránál rövidebb, akkor a tömegállandóság megállapításához a mintát ellenőrző mérésnek kell alávetni. A tömeg akkor tekinthető állandónak, ha további 60 perces szárítás után 0,05%-nál kisebb a változása.
Az üveg szűrőtégelyeket és a mérőedényeket, a mintákat vagy a maradékokat a szárítási, hűtési és mérési műveletek közben nem szabad puszta kézzel megérinteni.
Szárítsuk a próbadarabokat mérőedényben, mellétéve a fedelét. A szárítás után a mérőedényt még a szárítószekrényből való kivétel előtt fedjük le, és gyorsan tegyük át az exszikkátorba.
Szárítsuk az üveg szűrőtégelyt mérőedényben, mellétéve a fedelét. A szárítás után fedjük le a mérőedényt, és gyorsan tegyük át az exszikkátorba.
Ha az üveg szűrőtégely helyett más eszközt használunk, akkor a szárítási műveleteket olyan módszerrel kell elvégezni a szárítószekrényben, amely lehetővé teszi a szálak száraz tömegének veszteség nélküli meghatározását.
I.7.1.2. Hűtés
Minden hűtés a mérleg mellé állított exszikkátorban történjen addig, amíg a mérőedény teljesen lehűl, és ez nem lehet rövidebb 2 óránál.
I.7.1.3. Tömegmérés
A hűtés után a mérőedény mérését az exszikkátorból kivéve 2 percen belül be kell fejezni. A mérést 0,0002 g-os pontossággal kell elvégezni.
I.7.2. Vizsgálati eljárás
Vegyünk az előkezelt vizsgálati mintából egy legalább 1 g tömegű próbadarabot. A fonalat vagy a kelmét vágjuk fel kb. 10 mm hosszúságú darabokra, és bontsuk szét amennyire lehetséges. Szárítsuk meg a próbadarabot egy mérőedényben, exszikkátorban hűtsük le, majd mérjük meg. Tegyük át a próbadarabot egy – a megfelelő vizsgálati módszerénél megadott – üvegedénybe, ezután rögtön mérjük meg ismét a mérőedényt, és a különbségből számítsuk ki a próbadarab száraz tömegét. Fejezzük be a vizsgálatot az alkalmazott módszer megfelelő részében leírt módon. Vizsgáljuk meg a maradékot mikroszkóppal, így ellenőrizzük, hogy a kezeléssel valóban teljesen eltávolítottuk-e az oldható szálat.
I.8. Az eredmények kiszámítása és megadása
Az oldhatatlan komponens tömegét a keverékben lévő szálak teljes tömegének százalékaként számítjuk ki. Az oldható komponens százalékaránya különbségként adódik. Számítsuk ki a tiszta, száraz tömeg alapján az eredményeket, korrigálva ezeket először az egyezményes járulékanyag-hányadokkal, majd azokkal a korrekciós tényezőkkel, amelyek az előkezelésnél fellépő veszteségek figyelembevételéhez szükségesek. A számításokat az I.8.2. szakaszban megadott képlet felhasználásával kell elvégezni.
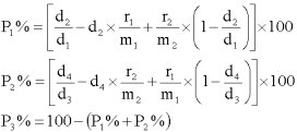
I.8.1. Az oldhatatlan komponens százalékarányának számítása a tiszta, száraz tömeg alapján, a szál előkezelés alatt fellépő tömegveszteségének figyelembevétele nélkül.
P1%=
ahol
P1% |
a tiszta, száraz oldhatatlan komponens százalékaránya, |
m |
a próbadarab száraz tömege az előkezelés után, |
r |
a maradék száraz tömege, |
d |
korrekciós tényező az oldhatatlan komponensnek a vizsgálat során a reagensben fellépő tömegveszteségének figyelembevételéhez. A ’d’ értékeit az egyes módszerek megfelelő szövegrészei adják meg. |
Természetesen ’d’ értékei normál értékek, melyek csak a vegyileg sértetlen szálakra alkalmazhatók.
I.8.2. Az oldhatatlan komponens százalékarányának kiszámítása a tiszta, száraz tömeg alapján, az egyezményes járulékanyag-hányadok és – amikor szükséges – az előkezelésnél fellépő tömegveszteségek korrekciós tényezőinek figyelembevételével:
P1A%=
ahol
P1A% |
az oldhatatlan komponens százalékaránya, az egyezményes járulékanyag-hányad és az előkezelésnél fellépő tömegveszteség figyelembevételével |
P1 |
a tiszta, száraz oldhatatlan komponens százalékaránya, az I.8.1. szakaszban megadott képlettel számolva |
a1 |
az oldhatatlan komponens egyezményes járulékanyag-hányada (lásd 4. számú melléklet) |
a2 |
az oldható komponens egyezményes járulékanyag-hányada (lásd 4. számú melléklet) |
b1 |
az oldhatatlan komponens százalékos tömegvesztesége az előkezelés során |
b2 |
az oldható komponens százalékos tömegvesztesége az előkezelés során |
A második komponens százalékaránya:
P2A%=100 – P1A%.
Speciális előkezelés alkalmazása esetén a b1 és a b2 értékét lehetőleg úgy határozzuk meg, hogy minden tiszta szál-alkotórészt alávetünk a nyersanyag-összetétel meghatározása során alkalmazott előkezelésnek. Tiszta szálaknak azok a szálak tekinthetők, amelyek mentesek minden idegenanyagtól, kivéve azokat az anyagokat, amelyeket rendes körülmények között tartalmaznak (akár a természetüknél fogva, akár a gyártási eljárásuk miatt) abban az állapotban (fehérítetlen, fehérített), melyben a vizsgált anyag van.
Ha nem állnak rendelkezésre külön-külön azok a tiszta szálalkotórészek, amelyeket a vizsgált anyag előállításához használtak, akkor azokat a b1 és b2 átlagértékeket alkalmazzuk, amelyeket a vizsgált keverék szálkomponenseihez hasonló szálak vizsgálatával határoztak meg.
Ha a normál petroléteres és vizes extrakciós előkezelést alkalmazzuk, akkor általában mellőzni lehet a b1 és b2 korrekciós tényezőket, kivéve fehérítetlen pamut, fehérítetlen len és fehérítetlen kender esetében, melyeknél az előkezelésnek tulajdonítható veszteségként általában 4%, valamint a polipropilén esetében, melynél 1% az elfogadott érték.
A többi szálnál az előkezelésnek tulajdonítható veszteségeket rendszerint figyelmen kívül hagyjuk a számításoknál.
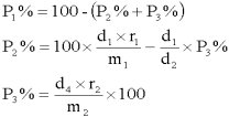
II. A NYERSANYAG-ÖSSZETÉTEL MENNYISÉGI MEGHATÁROZÁSA A KÉZI SZÉTVÁLASZTÁS MÓDSZERÉVEL
II.1. Alkalmazási terület
A módszer bármilyen textil szálféleségnél alkalmazható, feltéve, hogy nem közvetlen (intim) keverék formában vannak, és kézzel szétválaszthatók.
II.2. Alapelv
A textil komponensek azonosítása után megfelelő előkezeléssel eltávolítjuk az idegenanyagokat, ezután a szálakat kézzel szétválasztjuk, megszárítjuk és megmérjük, majd kiszámítjuk a keverékben lévő egyes szálak részarányát.
II.3. Eszközök
II.3.1. Mérőedények vagy bármilyen más eszközök, amelyek azonos eredményeket adnak.
II.3.2. Exszikkátor, amely önindikáló szilikagélt tartalmaz.
II.3.3. Ventilációs szárítószekrény, a próbadarabok 105±3 °C-on való szárításához.
II.3.4. Analitikai mérleg, 0,0002 g-os pontosságú.
II.3.5. Soxhlet extraháló készülék, vagy más készülék, ami azonos eredményeket ad.
II.3.6. Bontótű
II.3.7. Sodratvizsgáló műszer vagy más készülék, ami azonos eredményeket ad.
II.4. Reagensek
II.4.1. Petroléter, átdesztillált, forráspont 40–60 °C között.
II.4.2. Desztillált vagy ionmentesített víz.
II.5. Kondicionáló és vizsgálati légtér
Lásd I.4.
II.6. Vizsgálati minta
Lásd I.5.
II.7. A vizsgálati minták előkezelése
Lásd I.6.
II.8. Vizsgálati eljárás
II.8.1. Fonal vizsgálata
Vegyünk ki legalább 1 g tömegű próbadarabot az előkezelt vizsgálati mintából. Nagyon finom fonalnál minimum 30 m hosszúságú fonalon – tekintet nélkül a tömegre – el lehet végezni a vizsgálatot.
Vágjuk fel a fonalat megfelelő hosszúságú darabokra, majd bontótűvel, és ha szükséges, sodratvizsgálóval különítsük el a szálféleségeket. Az így kapott szálféleségeket az előzőleg lemért mérőedényekbe tesszük, és 105±3 °C-on tömegállandóságig szárítjuk, az I.7.1. és I.7.2. szakaszban megadottak szerint.
II.8.2. Kelme vizsgálata
Vegyünk ki legalább 1 g tömegű próbadarabot az előkezelt vizsgálati mintából, a szegélyt kihagyva, a széleket gondosan vágva, hogy elkerüljük a kirojtosodást, a lánc- és vetülékfonalakkal párhuzamosan, kötött kelméknél pedig a szemsorok és szemoszlopok vonalában. Különítsük el az eltérő szálféleségeket, és gyűjtsük azokat előzőleg lemért mérőedényekbe, majd folytassuk a vizsgálatot a II.8.1. szakasz szerint.
II.9. Az eredmények kiszámítása és megadása
Az egyes komponensek tömegét a keverékben lévő szálak teljes tömegének százalékában adjuk meg. Számítsuk ki a tiszta, száraz tömeg alapján az eredményeket, korrigálva ezeket először az egyezményes járulékanyag-hányadokkal, majd azokkal a korrekciós tényezőkkel, amelyek az előkezelésnél fellépő veszteségek figyelembevételéhez szükségesek.
II.9.1. A tiszta, száraz szálak tömegszázalékának számítása a szál előkezelés alatt fellépő tömegveszteségének figyelembevétele nélkül.
P1%=
|
|
P1% |
az első tiszta, száraz komponens százalékaránya, |
m1 |
az első komponens tiszta, száraz tömege, |
m2 |
a második komponens tiszta, száraz tömege. |
|
|
II.9.2. Az egyes komponensek százalékarányának kiszámítása az egyezményes járulékanyag-hányadok és – amikor szükséges – az előkezelésnél fellépő tömegveszteségek korrekciós tényezőinek figyelembevételével:
Lásd I.8.2.
III. A MÓDSZEREK PONTOSSÁGA
Az egyes módszereknél feltüntetett pontosság a reprodukálhatóságra vonatkozik.
A reprodukálhatóság a megbízhatóságot jelenti, azaz a különböző laboratóriumokban vagy különböző időpontokban kapott kísérleti értékek egyezőségét, ha ugyanazt a módszert alkalmazzuk, és ugyanannak a homogén keveréknek a próbadarabjait használjuk.
A reprodukálhatóságot az eredmények megbízhatósági határaival fejezzük ki, 95%-os megbízhatósági szint mellett.
Ez azt jelenti, hogy a módszer szabályos és hibátlan alkalmazása esetén, a különböző laboratóriumokban ugyanazon keverékre elvégzett vizsgálati sorozat két eredménye közötti eltérés 100-ból csak 5 esetben lehet nagyobb ennél.
IV. VIZSGÁLATI JEGYZŐKÖNYV
IV.1. Közöljük, hogy a vizsgálatot e módszer szerint végeztük el.
IV.2. Részletesen adjunk meg minden különleges előkezelést (lásd I.6.).
IV.3. Adjuk meg az egyes eredményeket és az eredmények számtani átlagát, egy tizedesjegyre kerekítve.
AZ EGYES MÓDSZEREK – ÖSSZEFOGLALÓ TÁBLÁZAT
A |
B |
C |
Mód- szer |
Alkalmazási terület |
Reagens |
|
Oldható komponens |
Oldhatatlan komponens |
1. |
Acetát |
Bizonyos más szálak |
Aceton |
2. |
Egyes fehérjeszálak |
Bizonyos más szálak |
Hipoklorit |
3. |
Viszkóz, rézoxid-szál vagy meghatározott típusú modál |
Pamut, elasztolefin vagy melamin |
Hangyasav és cinkklorid |
4. |
Poliamid vagy nejlon |
Bizonyos más szálak |
Hangyasav, 80 tömeg%-os |
5. |
Acetát |
Triacetát, elasztolefin vagy melamin |
Benzinalkohol |
6. |
Triacetát vagy polilaktid |
Bizonyos más szálak |
Diklórmetán |
7. |
Egyes cellulózszálak |
Poliészter, elaszto-multiészter vagy elasztolefin |
Kénsav, 75 tömeg%-os |
8. |
Akril, meghatározott modakril- vagy meghatározott poliklorid szálak |
Bizonyos más szálak |
Dimetilformamid |
9. |
Egyes polikloridok |
Bizonyos más szálak |
Széndiszulfid/aceton, 55,5/44,5 térfogat %-os |
10. |
Acetát |
Bizonyos polikloridok, elasztolefin vagy melamin |
Jégecet |
11. |
Selyem |
Gyapjú, szőr, elasztolefin vagy melamin |
Kénsav, 75 tömeg%-os |
12. |
Juta |
Egyes állati eredetű szálak |
Nitrogéntartalom módszer |
13. |
Polipropilén |
Bizonyos más szálak |
Xilol |
14. |
Bizonyos más szálak |
Poliklorid szálak (a vinilklorid homopolimerjei), elasztolefin vagy melamin |
Koncentrált kénsav módszer |
15. |
Poliklorid szálak, egyes modakrilok, egyes elasztánok, acetátok, triacetátok |
Bizonyos más szálak |
Ciklohexanon |
16. |
Melamin |
Pamut vagy aramid |
Forró hangyasav, 90 tömeg%-os |
1. MÓDSZER
Acetát és meghatározott más szálak
(Acetonos módszer)
1. ALKALMAZÁSI TERÜLET
Ez a módszer, az idegenanyagok eltávolítása után, a következő szálakból álló kétkomponensű keverékekhez alkalmazható:
1. acetát (19)
és
2. gyapjú (1), állati szőr (2) és (3), selyem (4), pamut (5), len (7), kender (8), juta (9), manilakender (10), alfafű (11), kókuszrost (12), seprűzanót (13), rami (14), szizál (15), rézoxid-szál (21), modál (22), fehérjeszál (23), viszkóz (25), akril (26), poliamid vagy nejlon (30), poliészter (35), elaszto-multiészter (46), elasztolefin (47) és melamin (48).
Ez a módszer semmilyen körülmények között nem alkalmazható olyan acetátszálak esetében, amelyeknek a felületét deacetilezték.
2. ALAPELV
Az ismert száraz tömegű keverékből acetonnal kioldjuk az acetát szálat. A maradékot összegyűjtjük, mossuk, szárítjuk és megmérjük. A maradék tömegét, ha szükséges, korrigáljuk, majd a keverék száraz tömegének százalékában fejezzük ki. A száraz acetát szálak százalékos részarányát különbségképzéssel határozzuk meg.
3.1. Eszköz
Legalább 200 ml űrtartalmú, becsiszolt üvegdugós Erlenmeyer-lombikok.
3.2. Reagens
Aceton
4. VIZSGÁLATI ELJÁRÁS
Kövessük az általános információknál megadott eljárást, majd folytassuk a következőképpen:
Tegyük a próbadarabot egy legalább 200 ml űrtartalmú, becsiszolt üvegdugós Erlenmeyer-lombikba, öntsünk a próbadarabra grammonként 100 ml acetont, rázzuk össze a lombikot, és hagyjuk állni szobahőmérsékleten 30 percig, időnként megkeverve, majd öntsük át a folyadékot egy lemért üveg szűrőtégelybe.
Ismételjük meg a kezelést még kétszer (összesen három extrakciót végezve), de csak 15-15 percig, így az acetonos kezelés teljes időtartama egy óra. A maradékot tegyük át az üveg szűrőtégelybe. Mossuk át a maradékot az üveg szűrőtégelyben acetonnal, majd szívassuk le. Töltsük fel újra az üveg szűrőtégelyt acetonnal, és lefolyatással ürítsük ki.
Végül szívassuk le a bennmaradó folyadékot, majd szárítsuk meg, hűtsük le, és mérjük meg az üvegszűrőt a szálmaradékkal.
5. AZ EREDMÉNYEK KISZÁMÍTÁSA ÉS MEGADÁSA
Az eredmények az általános információknál megadott módon számítandók. A ’d’ értéke 1,00, kivéve a melamin szálak esetében, amelyeknél a ’d’ értéke 1,01.
6. A MÓDSZER PONTOSSÁGA
Textilanyagok homogén keveréke esetében az ezzel a módszerrel kapott eredmények megbízhatósági tartománya, 95%-os megbízhatósági szint mellett, nem nagyobb 1-nél.
2. MÓDSZER
Meghatározott proteinszálak és meghatározott más szálak
(Hipokloritos módszer)
1. ALKALMAZÁSI TERÜLET
Ez a módszer, az idegenanyagok eltávolítása után, a következő szálakból álló kétkomponensű keverékekhez alkalmazható:
1. meghatározott fehérjeszálak, nevezetesen: gyapjú (1), állati szőrök (2 és 3), selyem (4) vagy fehérje (23)
és
2. pamut (5), rézoxid-szál (21), viszkóz (25), akril (26), poliklorid (27), poliamid vagy nejlon (30), poliészter (35), polipropilén (37), elasztán (43), üvegszál (44), elaszto-multiészter (46) elasztolefin (47) és melamin (48).
Ha különböző fehérjeszálak vannak jelen, akkor a módszerrel ezek összes tömege határozandó meg és nem egyedi mennyiségük.
2. ALAPELV
Az ismert száraz tömegű keverékből hipoklorit oldattal kioldjuk a fehérjeszálakat. A maradékot összegyűjtjük, mossuk, szárítjuk és megmérjük. A maradék tömegét, ha szükséges, korrigáljuk, majd a keverék száraz tömegének százalékában fejezzük ki. A száraz fehérjeszálak százalékos részarányát különbségképzéssel határozzuk meg.
A hipoklorit oldat előállításához lítiumhipokloritot vagy nátriumhipokloritot használhatunk.
A lítiumhipoklorit abban az esetben ajánlott, ha a vizsgálatok száma kevés, vagy ha nagyobb időközönként végezzük a vizsgálatokat. Ennek oka az, hogy a szilárd lítiumhipokloritban – ellentétben a nátriumhipoklorittal – gyakorlatilag állandó a hipoklorit százalékaránya. Ha a hipoklorit százalékaránya ismert, akkor nem kell minden vizsgálathoz jodometriásan ellenőrizni a hipoklorit tartalmat, azaz állandó mennyiségű lítiumhipoklorit alkalmazható.
3.1. Eszközök
3.1.1. Erlenmeyer-lombik, becsiszolt üvegdugóval, 250 ml űrtartalmú.
3.1.2. Termosztát, mely 20±2 °C-ra beállítható.
3.2. Reagensek
3.2.1. Hipoklorit reagens
(a) Lítiumhipoklorit oldat
Ez frissen készített oldat, mely 35±2 g/l aktív klórt tartalmaz (kb. 1 M), és amelyhez 5±0,5 g/l feloldott nátriumhidroxidot adtunk. Elkészítéséhez oldjunk fel 100 g 35% aktív klórtartalmú (vagy 115 g 30% aktív klórtartalmú) lítiumhipokloritot kb. 700 ml desztillált vízben, adjunk hozzá 5 g, kb. 200 ml desztillált vízben feloldott nátriumhidroxidot, majd töltsük fel desztillált vízzel 1 literre. A frissen készített oldatot nem kell jodometriásan ellenőrizni.
(b) Nátriumhipoklorit oldat
Ez frissen készített oldat, mely 35±2 g/l aktív klórt tartalmaz (kb. 1 M), és amelyhez 5±0,5 g/l feloldott nátriumhidroxidot adtunk.
Minden vizsgálat előtt ellenőrizzük jodometriásan az oldat aktív klórtartalmát.
3.2.2. Ecetsav, hígított oldat
Hígítsunk fel 5 ml jégecetet vízzel 1 literre.
4. VIZSGÁLATI ELJÁRÁS
Kövessük az általános információknál megadott eljárást, majd folytassuk a következőképpen:
Keverjünk össze kb. 1 gramm mintával kb. 100 ml hipoklorit oldatot (lítium- vagy nátriumhipoklorit) a 250 ml-es lombikban, keverjük meg alaposan, hogy a minta átnedvesedjen. Ezután tartsuk a lombikot 40 percig 20 °C-os termosztátban, közben keverjük folyamatosan, vagy legalább szabályos időközönként. Mivel a gyapjú oldódása exoterm folyamat, a módszer során keletkező reakcióhőt el kell vezetni. Ellenkező esetben számottevő hibát okozhat az oldhatatlan szálak kezdeti oldódása.
A 40 perc elteltével szűrjük át a lombik tartalmát egy lemért üveg szűrőtégelyen, a visszamaradó szálakat töltsük át az üveg szűrőtégelybe úgy, hogy öblítsük át a lombikot egy kis hipoklorit reagenssel. Szívassuk le az üveg szűrőtégelyt, majd mossuk át a szálmaradékot egymást követően vízzel, hígított ecetsavval, végül ismét vízzel, közben szívassuk le az üveg szűrőtégelyt minden egyes folyadékhozzáadás után. Ne kezdjük el addig a leszívást, míg az összes mosófolyadék át nem folyt.
Végül szívassuk le a bennmaradó folyadékot, majd szárítsuk meg, hűtsük le, és mérjük meg az üvegszűrőt a szálmaradékkal.
5. AZ EREDMÉNYEK KISZÁMÍTÁSA ÉS MEGADÁSA
Az eredmények az általános információknál megadott módon számítandók. A ’d’ értéke 1,00, kivéve pamut, viszkóz, modál és melamin szálak esetén, melyekhez ’d’ = 1,01, és fehérítetlen pamut esetén, melyhez ’d’ = 1,03.
6. A MÓDSZER PONTOSSÁGA
Textilanyagok homogén keveréke esetében az ezzel a módszerrel kapott eredmények megbízhatósági tartománya, 95%-os megbízhatósági szint mellett, nem nagyobb ±1-nél.
3. MÓDSZER
Viszkóz, rézoxid-szál (cupro) vagy meghatározott típusú modál szálak és pamut
(Hangyasavat és cinkkloridot alkalmazó módszer)
1. ALKALMAZÁSI TERÜLET
Ez a módszer, az idegenanyagok eltávolítása után, a következő szálakból álló kétkomponensű keverékekhez alkalmazható:
1. viszkóz (25) vagy rézoxid-szál (cupro) (21), beleértve meghatározott típusú modál szálakat (22)
és
2. pamut (5), elasztolefin (47) és melamin (48).
Ha modál szálat találunk a keverékben, egy előzetes vizsgálatot kell elvégezni annak megállapítására, hogy oldódik-e a reagensben.
A módszer nem alkalmazható olyan keverékekhez, melyekben a pamutot erős kémiai roncsoló hatás érte, vagy melyekben a viszkóz vagy a rézoxid-szál (cupro) részlegesen oldhatóvá vált, bizonyos teljesen el nem távolítható színezékek és kikészítő anyagok jelenléte miatt.
2. ALAPELV
Az ismert száraz tömegű keverékből egy hangyasavat és cinkkloridot tartalmazó oldattal kioldjuk a viszkóz, rézoxid-szál (cupro) vagy modál szálakat. A maradékot összegyűjtjük, mossuk, szárítjuk és megmérjük; a korrigált tömegét a keverék száraz tömegének százalékában fejezzük ki. A száraz viszkóz, rézoxid-szál (cupro) vagy modál szálak százalékos részarányát különbségképzéssel határozzuk meg.
3.1. Eszközök
3.1.1. Erlenmeyer-lombik, becsiszolt üvegdugóval, legalább 200 ml űrtartalmú.
3.1.2. Készülék a lombik 40±2 °C-on tartására.
3.2. Reagensek
3.2.1. Oldat, mely 20 g olvasztott, vízmentes cinkkloridot és 68 g vízmentes hangyasavat tartalmaz, 100 g-ra kiegészítve vízzel (azaz 20 tömegegység vízmentes cinkkloridot adunk 80 tömegegység 85 tömeg%-os hangyasavhoz).
Megjegyzés:
Legyünk figyelemmel e tekintetben az I.3.2.2 szakaszra, mely leszögezi, hogy minden felhasznált reagensnek vegytisztának kell lennie, emellett elengedhetetlen, hogy olvasztott, vízmentes cinkkloridot használjunk.
3.2.2 Ammónium-hidroxid oldat: hígítsunk fel vízzel 20 ml koncentrált ammóniát (sűrűsége 20 °C-on: 0,880 g/cm3) 1 literre.
4. VIZSGÁLATI ELJÁRÁS
Kövessük az általános információknál megadott eljárást, majd folytassuk a következőképpen:
Azonnal tegyük be a próbadarabot a 40 °C-ra előmelegített lombikba. Öntsünk a próbadarabra grammonként 100 ml, 40 °C-ra előmelegített hangyasav-cinkklorid oldatot. Zárjuk le, majd erősen rázzuk fel a lombikot. Tartsuk a lombikot és a tartalmát két és fél órán keresztül 40 °C-os állandó hőmérsékleten, közben óránként rázzuk fel. Szűrjük át a lombik tartalmát egy lemért üveg szűrőtégelyen és a reagens segítségével töltsük át a lombikban maradt szálakat az üvegszűrőbe. Öblítsünk 20 ml reagenssel.
Mossuk át alaposan az üvegszűrőt és a maradékot 40 °C-os vízzel. Öblítsük át a szálmaradékot kb. 100 ml hideg ammóniaoldatban (3.2.2.), ügyelve arra, hogy a maradék 10 percig teljesen elmerüljön az oldatban, majd öblítsük át alaposan hideg vízzel.
Ne alkalmazzunk leszívást addig, míg minden mosófolyadék magától le nem folyt. Végül szívassuk le a bennmaradó folyadékot, majd szárítsuk meg, hűtsük le, és mérjük meg az üvegszűrőt a szálmaradékkal.
5. AZ EREDMÉNYEK KISZÁMÍTÁSA ÉS MEGADÁSA
Az eredmények az általános utasításokban meghatározottak szerint számítandók. A ’d’ értéke pamut esetében 1,02, melamin esetében 1,01, elasztolefin esetében pedig 1,00.
6. A MÓDSZER PONTOSSÁGA
Textilanyagok homogén keveréke esetében az ezzel a módszerrel kapott eredmények megbízhatósági tartománya, 95%-os megbízhatósági szint mellett nem nagyobb ±2-nél.
4. MÓDSZER
Poliamid vagy nylon és meghatározott más szálak
(80%-os hangyasavat alkalmazó módszer)
1. ALKALMAZÁSI TERÜLET
Ez a módszer az idegenanyagok eltávolítása után a következő szálakból álló kétkomponensű keverékekhez alkalmazható:
1. poliamid vagy nejlon (30)
és
2. gyapjú (1), állati szőr (2) és (3), pamut (5), rézoxid-szál (21), modál (22), viszkóz (25), akril (26), poliklorid (27), poliészter (35), polipropilén (37), üvegszál (44), elaszto-multiészter (46), elasztolefin (47) és melamin (48).
A fent említetteknek megfelelően, ezt a módszert gyapjúkeverékekre is lehet alkalmazni, de ahol a gyapjútartalom meghaladja a 25%-ot, a 2. módszert kell alkalmazni (a gyapjút lúgos nátriumhipoklorit oldattal kell kioldani).
2. ALAPELV
Az ismert száraz tömegű keverékből hangyasavval kioldjuk a poliamid szálat. A maradékot összegyűjtjük, mossuk, szárítjuk és megmérjük a tömegét, korrigálva ha szükséges, a keverék száraz tömegének százalékában fejezzük ki. A száraz poliamid vagy nylonszálak százalékos részarányát különbségképzéssel határozzuk meg.
3.1. Eszköz
Erlenmeyer-lombik, becsiszolt üvegdugóval, legalább 200 ml űrtartalmú.
3.2. Reagensek
3.2.1. Hangyasav (80 tömeg%-os, sűrűsége 20 °C-on 1,186 g/cm3). Hígítsunk fel vízzel egy literre 880 ml 90 tömeg%-os hangyasavat (sűrűsége 20 °C-on 1,204 g/cm3), vagy 780 ml 98-100 tömeg%-os hangyasavat (sűrűsége 20 °C-on 1,220 g/cm3).
A hangyasav koncentrációja 77-től 83 tömeg%-ig elfogadható.
3.2.2. Ammónia, hígított oldat: hígítsunk fel vízzel 80 ml koncentrált ammóniát (sűrűsége 0,880 g/cm3) 1 literre.
4. VIZSGÁLATI ELJÁRÁS
Kövessük az általános információknál megadott eljárást, majd folytassuk a következőképpen:
A legalább 200 ml űrtartalmú Erlenmeyer-lombikban levő próbadarabra öntsünk grammonként 100 ml hangyasavat. Zárjuk le, majd rázzuk a lombikot, hogy a próbadarab átnedvesedjen. Tartsuk a lombikot 15 percen keresztül szobahőmérsékleten, időnként felrázva. Szűrjük át a lombik tartalmát egy lemért üveg szűrőtégelyen, a visszamaradó szálakat töltsük át az üvegszűrőbe úgy, hogy a lombikot mossuk ki egy kis hangyasavval. Ürítsük ki az üvegszűrőt leszívással, majd mossuk át a szálmaradékot a szűrőben egymást követően hangyasavval, forró vízzel, hígított ammóniaoldattal, végül hideg vízzel, az egyes műveletek után leszívással kiürítve az üvegszűrőt. Ne alkalmazzunk leszívást addig, míg minden mosófolyadék magától le nem folyt. Végül szívassuk le a bennmaradó folyadékot, majd szárítsuk meg, hűtsük le, és mérjük meg az üvegszűrőt a szálmaradékkal.
5. AZ EREDMÉNYEK KISZÁMÍTÁSA ÉS MEGADÁSA
Az eredmények az általános információknál megadott módon számítandók. A ’d’ értéke 1,00, kivéve a melamin szálak esetében, melyeknél a ’d’ értéke 1,01.
6. A MÓDSZER PONTOSSÁGA
Textilanyagok homogén keveréke esetében az ezzel a módszerrel kapott eredmények megbízhatósági tartománya, 95%-os megbízhatósági szint mellett, nem nagyobb 1-nél.
5. MÓDSZER
Acetát és triacetát
(Benzilalkoholos módszer)
1. ALKALMAZÁSI TERÜLET
Ez a módszer az idegenanyagok eltávolítását követően a következő összetételű, kétkomponensű textilszálkeverékek esetében alkalmazható:
1. acetát (19)
és
2. triacetát (24), elasztolefin (47) és melamin (48).
2. ALAPELV
Az ismert száraz tömegű keverékből benzilalkohollal, 52±2 °C-on kioldjuk az acetát szálakat. A maradékot összegyűjtjük, mossuk, szárítjuk és megmérjük tömegét a keverék száraz tömegének százalékában fejezzük ki. A száraz acetát százalékos részarányát különbségképzéssel határozzuk meg.
3.1. Eszközök
3.1.1. Erlenmeyer-lombik, becsiszolt üvegdugóval, legalább 200 ml űrtartalmú.
3.1.2. Mechanikus rázógép.
3.1.3. Termosztát vagy más készülék a lombik 52±2 °C hőmérsékleten tartására.
3.2. Reagensek
3.2.1. Benzilalkohol.
3.2.2. Etilalkohol.
4. VIZSGÁLATI ELJÁRÁS
Kövessük az általános információknál megadott eljárást, majd folytassuk a következőképpen:
Az Erlenmeyer-lombikban levő próbadarabra öntsünk grammonként 100 ml benzilalkoholt. Zárjuk le a lombikot, majd rögzítsük a rázógéphez úgy, hogy elmerüljön a vízfürdőben, tartsuk 52±2 °C-on, és rázzuk 20 percig ezen a hőmérsékleten.
(A mechanikus rázógép helyett a lombik erőteljesen, kézzel történő rázása is megfelelő.)
Dekantáljuk a folyadékot egy lemért üveg szűrőtégelyen keresztül. Töltsünk egy újabb adag benzilalkoholt a lombikba, és az előbbiekhez hasonlóan rázzuk 52±2 °C-on 20 percig.
Fejtsük le a folyadékot az üveg szűrőtégelyen keresztül. Ismételjük meg az eljárást harmadszor is.
Végül öntsük ki a folyadékot és a szálmaradékot az üvegszűrőbe, a visszamaradó szálakat öblítsük ki a lombikból az üvegszűrőbe egy nagyobb mennyiségű benzilalkohollal, 52±2 °C-on. Alaposan ürítsük ki az üvegszűrőt.
Tegyük át a szálakat egy lombikba, öblítsük etilalkohollal, majd kézzel történő rázás után dekantáljuk egy üveg szűrőtégelyen keresztül.
Ismételjük meg ezt az öblítő műveletet kétszer vagy háromszor. A maradékot tegyük át az üvegszűrőbe, majd ürítsük ki alaposan az üvegszűrőt.
Szárítsuk meg, hűtsük le, majd mérjük meg az üvegszűrőt a szálmaradékkal.
5. AZ EREDMÉNYEK KISZÁMÍTÁSA ÉS MEGADÁSA
Az eredmények az általános információknál megadott módon számítandók. A ’d’ értéke 1,00, kivéve a melamin szálak esetében, ahol a ’d’ értéke 1,01.
6. A MÓDSZER PONTOSSÁGA
Textilanyagok homogén keveréke esetében az ezzel a módszerrel kapott eredmények megbízhatósági tartománya, 95%-os megbízhatósági szint mellett, nem nagyobb ±1-nél.
6. MÓDSZER
Triacetát és meghatározott más szálak
(Diklórmetános módszer)
1. ALKALMAZÁSI TERÜLET
Ez a módszer az idegen anyagok eltávolítása után a következő összetételű, kétkomponensű textilszálkeverékek esetében alkalmazható:
1. triacetát (24) vagy polilaktid (33a)
és
2. gyapjú (1), állati szőr (2) és (3), selyem (4), pamut (5), rézoxid-szál (21), modál (22), viszkóz (25), akril (26), poliamid vagy nejlon (30), poliészter (35), üvegszál (44), elaszto-multiészter (46), elasztolefin (47) és melamin (48).
Megjegyzés:
Az olyan triacetát szálak, amelyeket részlegesen hidrolízishez vezető kikészítésnek vetettek alá, már nem teljes mértékben oldódnak ebben a reagensben. Ilyen esetekben a módszer nem alkalmazható.
2. ALAPELV
Az ismert szárazanyag tömegű keverékből a triacetát vagy polilaktid szálakat diklórmetánnal oldjuk ki. A visszamaradt anyagot összegyűjtjük, kimossuk, megszárítjuk és megmérjük: tömegét – szükség szerint korrigálva – a keverék száraz tömegének százalékában fejezzük ki. A száraz triacetát vagy polilaktid százalékát a két adat különbsége adja.
3.1. Eszköz
Erlenmeyer-lombik, becsiszolt üvegdugóval, legalább 200 ml űrtartalmú.
3.2. Reagens
Diklórmetán.
4. VIZSGÁLATI ELJÁRÁS
Kövessük az általános információknál megadott eljárást, majd folytassuk a következőképpen:
A 200 ml űrtartalmú Erlenmeyer-lombikban levő próbadarabra öntsünk grammonként 100 ml diklórmetánt. Zárjuk le, majd rázzuk a lombikot 10 percig, hogy a próbadarab átnedvesedjen. Tartsuk a lombikot 30 percen keresztül szobahőmérsékleten, időnként felrázva. Dekantáljuk a folyadékot egy lemért üveg szűrőtégelyen át. Töltsünk 60 ml diklórmetánt a maradékot tartalmazó lombikba, rázzuk össze kézzel, majd szűrjük át a lombik tartalmát az üveg szűrőtégelyen, a visszamaradó szálakat töltsük át az üvegszűrőbe úgy, hogy a lombikot mossuk át kis mennyiségű diklórmetánnal. Ürítsük ki az üvegszűrőt leszívással, így távolítva el a felesleges folyadékot, töltsük fel újra az üvegszűrőt diklórmetánnal, és hagyjuk magától lefolyni.
Végül szívassuk le a felesleges folyadékot, kezeljük a maradékot forrásban lévő vízzel, az oldószer teljes eltávolítása érdekében, alkalmazzunk leszívást, szárítsuk meg, hűtsük le, majd mérjük meg az üvegszűrőt a szálmaradékkal.
5. AZ EREDMÉNYEK KISZÁMÍTÁSA ÉS MEGADÁSA
Az eredmények az általános utasításokban meghatározottak szerint számítandók. A ’d’ értéke 1,00, kivéve a poliészter, elaszto-multiészter, elasztolefin és melamin szálak esetében, amelyeknél a ’d’ értéke 1,01.
6. A MÓDSZER PONTOSSÁGA
Textilanyagok homogén keveréke esetében az ezzel a módszerrel kapott eredmények megbízhatósági tartománya, 95%-os megbízhatósági szint mellett, nem nagyobb ±1-nél.
7. MÓDSZER
Meghatározott cellulózszálak és poliészter
(75%-os kénsavat alkalmazó módszer)
1. ALKALMAZÁSI TERÜLET
Ez a módszer, az idegenanyagok eltávolítása után, a következő szálakból álló kétkomponensű keverékekhez alkalmazható:
1. pamut (5), len (7), kender (8), rami (14), rézoxid-szál (cupro) (21), modál (22), viszkóz (25)
és
2. poliészter (35), elaszto-multiészter (46) és elasztolefin (47).
2. ALAPELV
Az ismert száraz tömegű keverékből 75 tömeg%-os kénsavval kioldjuk a cellulózszálat. A maradékot összegyűjtjük, mossuk, szárítjuk és megmérjük; a tömegét a keverék száraz tömegének százalékában fejezzük ki. A száraz cellulózszálak százalékos részarányát különbségképzéssel határozzuk meg.
3.1. Eszközök
3.1.1. Erlenmeyer-lombik, becsiszolt üvegdugóval, legalább 500 ml űrtartalmú.
3.1.2. Termosztát vagy más készülék a lombik ±5 °C-on tartására.
3.2. Reagensek
3.2.1. Kénsav, 75±2 tömeg%-os.
Ezt úgy készítjük el, hogy 700 ml kénsavat (sűrűsége 20 °C-on: 1,84 g/cm3) óvatosan, állandó hűtés mellett, hozzátöltünk 350 ml desztillált vízhez. Az oldódás után szobahőmérsékletűre hűtjük, és vízzel 1 literre hígítjuk.
3.2.2. Ammónia, hígított oldat: hígítsunk fel vízzel 80 ml ammóniaoldatot (sűrűsége 20 °C-on: 0,88 g/cm3) 1 literre.
4. VIZSGÁLATI ELJÁRÁS
Kövessük az általános információknál megadott eljárást, majd folytassuk a következőképpen:
A legalább 500 ml űrtartalmú Erlenmeyer-lombikban levő próbadarabra öntsünk grammonként 200 ml 75%-os kénsavat. Zárjuk le, majd óvatosan rázzuk a lombikot, hogy a próbadarab átnedvesedjen. Tartsuk a lombikot 1 órán keresztül 50±5 °C-on, szabályos időközönként, körülbelül 10 percenként felrázva. Szűrjük át a lombik tartalmát egy lemért üveg szűrőtégelyen, leszívással. A visszamaradó szálakat töltsük át az üvegszűrőbe úgy, hogy a lombikot mossuk át kis mennyiségű 75%-os kénsavval. Ürítsük ki az üvegszűrőt leszívással, majd mossuk át egyszer a szálmaradékot a szűrőben, feltöltve az üvegszűrőt egy új adag kénsavval. Ne alkalmazzunk elszívást addig, míg minden sav magától le nem folyt.
Mossuk át a maradékot egymást követően többször hideg vízzel, kétszer hígított ammóniaoldattal, majd ezután alaposan hideg vízzel, az egyes műveletek után leszívással kiürítve az üvegszűrőt. Ne alkalmazzunk leszívást addig, míg minden mosófolyadék magától le nem folyt. Végül szívassuk le a bennmaradó folyadékot, majd szárítsuk meg, hűtsük le, és mérjük meg az üvegszűrőt a szálmaradékkal.
5. AZ EREDMÉNYEK KISZÁMÍTÁSA ÉS MEGADÁSA
Az eredményeket az általános információknál megadott módon számítsuk ki. A ’d’ értéke 1,00.
6. A MÓDSZER PONTOSSÁGA
Textilanyagok homogén keveréke esetében az ezzel a módszerrel kapott eredmények megbízhatósági tartománya, 95%-os megbízhatósági szint mellett, nem nagyobb ±1-nél.
8. MÓDSZER
Akrilszálak, meghatározott modakrilszálak vagy meghatározott poliklorid szálak és meghatározott más szálak
(Dimetilformamidos módszer)
1. ALKALMAZÁSI TERÜLET
Ez a módszer, az idegenanyagok eltávolítása után, a következő szálakból álló kétkomponensű keverékekhez alkalmazható:
1. akril (26), meghatározott modakrilok (29), meghatározott poliklorid szálak (27)
és
2. gyapjú (1), állati szőr (2) és (3), selyem (4), pamut (5), rézoxid-szál (21), modál (22), viszkóz (25), poliamid vagy nejlon (30), poliészter (35), elaszto-multiészter (46), elasztolefin (47) és melamin (48).
A módszer egyaránt alkalmas előzetesen metallizált színezékkel színezett akrilok és egyes modakrilok esetében, ugyanakkor nem alkalmas olyan szálaknál, amelyeket krómos utánkezeléssel színeztek.
2. ALAPELV
Az ismert száraz tömegű keverékből forrásban levő vízfürdőben melegített dimetilformamiddal kioldjuk az akril-, a modakril- vagy a poliklorid szálat. A maradékot összegyűjtjük, mossuk, szárítjuk és megmérjük; a korrigált tömegét a keverék száraz tömegének százalékában fejezzük ki. Az akril-, a modakril- vagy a poliklorid szálak százalékos részarányát különbségképzéssel határozzuk meg.
3.1. Eszközök
3.1.1. Erlenmeyer-lombik, becsiszolt üvegdugóval, legalább 200 ml űrtartalmú.
3.1.2. Forrásban lévő vízfürdő.
3.2. Reagensek
Dimetilformamid (forráspont: 153±1 °C), mely nem tartalmaz 0,1%-nál több vizet.
Ez a reagens mérgező, ezért védőeszköz használata ajánlatos.
4. VIZSGÁLATI ELJÁRÁS
Kövessük az általános információknál megadott eljárást, majd folytassuk a következőképpen:
A legalább 200 ml űrtartalmú Erlenmeyer-lombikban levő próbadarabra öntsünk grammonként 80 ml dimetilformamidot, melyet előmelegítettünk forrásban lévő vízfürdőben. Zárjuk le, majd rázzuk a lombikot, hogy a próbadarab átnedvesedjen, majd melegítsük a forrásban lévő vízfürdőben 1 órán keresztül. Ezalatt öt alkalommal, óvatosan rázzuk fel kézzel a lombikot és tartalmát.
Dekantáljuk a folyadékot egy lemért üveg szűrőtégelyen át, visszatartva a szálakat a lombikban. Öntsünk további 60 ml dimetilformamidot a lombikba, és melegítsük további 30 percen keresztül, ezalatt kétszer, óvatosan rázzuk fel kézzel a lombikot és tartalmát.
Szűrjük át a lombik tartalmát egy lemért üveg szűrőtégelyen leszívással.
A visszamaradó szálakat töltsük át az üvegszűrőbe úgy, hogy a lombikot mossuk ki dimetilformamiddal. Ürítsük ki az üvegszűrőt leszívással. Mossuk át a szálmaradékot kb. 1 liter 70-80 °C-os melegvízzel, minden alkalommal feltöltve az üvegszűrőt. Minden víz adagolás után alkalmazzunk rövid leszívást, de addig ne míg a víz magától le nem folyt. Ha a mosófolyadék túl lassan folyik át az üvegszűrőn, kismértékű leszívás alkalmazható.
Végül szárítsuk meg, hűtsük le, majd mérjük meg az üvegszűrőt a szálmaradékkal.
5. AZ EREDMÉNYEK KISZÁMÍTÁSA ÉS MEGADÁSA
Az eredmények az általános információknál meghatározottak szerint számítandók. A ’d’ értéke 1,00, kivéve a gyapjú, a pamut, a rézoxid-szál, a modál, a poliészter,az elaszto-multiészter és a melamin esetében, amelyek tekintetében a ’d’ értéke 1,01.
6. A MÓDSZER PONTOSSÁGA
Textilanyagok homogén keveréke esetében az ezzel a módszerrel kapott eredmények megbízhatósági tartománya, 95%-os megbízhatósági szint mellett, nem nagyobb ±1-nél.
9. MÓDSZER
Meghatározott poliklorid szálak és meghatározott más szálak
(55,5/44,5 széndiszulfid/aceton keveréket alkalmazó módszer)
1. ALKALMAZÁSI TERÜLET
Ez a módszer, az idegenanyagok eltávolítása után, a következő szálakból álló kétkomponensű keverékekhez alkalmazható:
1. meghatározott poliklorid szálak (27), mégpedig a PVC-szálak, akár utánklórozottak akár nem
és
2. gyapjú (1), állati szőr (2 és 3), selyem (4), pamut (5), rézoxid-szál (21), modál (22), viszkóz (25), akril (26), poliamid vagy nejlon (30), poliészter (35), üvegszál (44), elaszto-multiészter (46) és melamin (48).
Ha a keverék gyapjú- vagy selyemtartalma nagyobb 25%-nál, a 2. módszert kell használni.
Ha a keverék poliamid- vagy nylontartalma nagyobb 25%-nál, a 4. módszert kell használni.
2. ALAPELV
Az ismert száraz tömegű keverékből széndiszulfid és aceton azeotrópos keverékével kioldjuk a poliklorid szálakat. A maradékot összegyűjtjük, mossuk, szárítjuk és megmérjük; a tömegét, korrigálva, ha szükséges, a keverék száraz tömegének százalékában fejezzük ki. A száraz PVC-szálak százalékos részarányát különbségképzéssel határozzuk meg.
3.1. Eszközök
3.1.1. Erlenmeyer-lombik, becsiszolt üvegdugóval, legalább 200 ml űrtartalmú.
3.1.2. Mechanikus rázógép.
3.2. Reagensek
3.2.1. Szénszulfid és aceton azeotropos keveréke (55,5 térfogat% szénszulfid, 44,5% aceton). Ez a reagens mérgező, ezért védőeszköz használata ajánlatos.
3.2.2 Etilalkohol (92 térfogat%-os) vagy metilalkohol.
4. VIZSGÁLATI ELJÁRÁS
Kövessük az általános információknál megadott eljárást, majd folytassuk a következőképpen:
A legalább 200 ml űrtartalmú Erlenmeyer-lombikban levő próbadarabra öntsünk grammonként 100 ml azeotrópos keveréket. Zárjuk le erősen, majd rázzuk a lombikot 20 percig szobahőmérsékleten egy mechanikus rázógépben, vagy kézzel, erőteljesen. Dekantáljuk a szálakon lévő folyadékot egy lemért üveg szűrőtégelyen át.
Ismételjük meg a kezelést 100 ml új folyadékkal. Addig ismételjük ezt a műveletet, amíg el nem érjük, hogy egy óraüvegre cseppentve, az extraháló folyadék nem hagy polimercsapadékot az elpárolgás után. Töltsük át a szálmaradékot az üvegszűrőbe további reagens felhasználásával. Szívjuk le a folyadékot, majd öblítsük át az üvegszűrőt és a szálmaradékot 20 ml alkohollal, majd háromszor vízzel. Hagyjuk a mosó folyadékot magától lefolyni, mielőtt leszívást használnánk. Végül szárítsuk meg, hűtsük le, majd mérjük meg az üvegszűrőt a szálmaradékkal.
Megjegyzés:
Némelyik nagy poliklorid száltartalmú keveréknél a próbadarab a szárítás során jelentősen zsugorodhat, ennek következtében a poliklorid szál feloldódása az oldószerben lelassul. Ennek azonban nincs hatása a poliklorid szálak teljes feloldódására az oldószerben.
5. AZ EREDMÉNYEK KISZÁMÍTÁSA ÉS MEGADÁSA
Az eredmények az általános információknál megadott módon számítandók. A ’d’ értéke 1,00, kivéve a melamin szálak esetében, amelyeknél a ’d’ értéke 1,01.
6. A MÓDSZER PONTOSSÁGA
Textilanyagok homogén keveréke esetében az ezzel a módszerrel kapott eredmények megbízhatósági tartománya, 95%-os megbízhatósági szint mellett, nem nagyobb ±1-nél.
10. MÓDSZER
Acetát és meghatározott poliklorid szálak
(Jégecetes módszer)
1. ALKALMAZÁSI TERÜLET
Ez a módszer, az idegenanyagok eltávolítása után, a következő szálakból álló kétkomponensű keverékekhez alkalmazható:
1. acetát (19)
és
2. meghatározott poliklorid szálak (27), mégpedig PVC-szálak akár utánklórozottak, akár nem, elasztolefin (47) és melamin (48).
2. ALAPELV
Az ismert száraz tömegű keverékből jégecettel kioldjuk az acetátszálakat. A maradékot összegyűjtjük, mossuk, szárítjuk és megmérjük; a tömegét, korrigálva, ha szükséges, a keverék száraz tömegének százalékában fejezzük ki. A száraz acetátszálak százalékos részarányát különbségképzéssel határozzuk meg.
3.1. Eszközök
3.1.1. Erlenmeyer-lombik, becsiszolt üvegdugóval, legalább 200 ml űrtartalmú.
3.1.2. Mechanikus rázógép.
3.2. Reagens
Jégecet (99% feletti). Ezt a reagenst óvatosan kell kezelni, mivel erősen maró hatású.
4. VIZSGÁLATI ELJÁRÁS
Kövessük az általános információknál megadott eljárást, majd folytassuk a következőképpen:
A legalább 200 ml űrtartalmú Erlenmeyer-lombikban levő próbadarabra öntsünk grammonként 100 ml jégecetet. Zárjuk le erősen, majd rázzuk a lombikot 20 percig szobahőmérsékleten egy mechanikus rázógépben, vagy kézzel, erőteljesen. Dekantáljuk a szálakon lévő folyadékot egy lemért üveg szűrőtégelyen át.
Ismételjük meg a kezelést még kétszer, minden alkalommal 100 ml új folyadék felhasználásával, így összesen három extrahálást végezzünk. Töltsük át a szálmaradékot az üvegszűrőbe, szívjuk le a folyadékot, majd öblítsük át az üvegszűrőt és a szálmaradékot 50 ml jégecettel, majd háromszor vízzel. Minden öblítés után hagyjuk a folyadékot magától lefolyni, mielőtt leszívást használnánk. Szárítsuk meg, hűtsük le, majd mérjük meg az üvegszűrőt a szálmaradékkal.
5. AZ EREDMÉNYEK KISZÁMÍTÁSA ÉS MEGADÁSA
Az eredményeket az általános információknál megadott módon számítsuk ki. A 'd' értéke 1,00.
6. A MÓDSZER PONTOSSÁGA
Textilanyagok homogén keveréke esetében az ezzel a módszerrel kapott eredmények megbízhatósági tartománya, 95%-os megbízhatósági szint mellett, nem nagyobb ±1-nél.
11. MÓDSZER
Selyem és gyapjú vagy állati szőrök
(75%-os kénsavat alkalmazó módszer)
1. ALKALMAZÁSI TERÜLET
Ez a módszer, az idegenanyagok eltávolítása után, a következő szálakból álló kétkomponensű keverékekhez alkalmazható:
1. selyem (4)
és
2. gyapjú (1), állati szőr (2) és (3), elasztolefin (47) és melamin (48).
2. ALAPELV
Az ismert száraz tömegű keverékből 75 tömeg%-os kénsavval kioldjuk a selyemszálakat. A maradékot összegyűjtjük, mossuk, szárítjuk és megmérjük; a tömegét, korrigálva, ha szükséges, a keverék száraz tömegének százalékában fejezzük ki. A selyemszálak százalékos részarányát különbségképzéssel határozzuk meg.
3.1. Eszközök
Erlenmeyer-lombik, becsiszolt üvegdugóval, legalább 200 ml űrtartalmú.
3.2. Reagensek
3.2.1. Kénsav (75±2) tömeg%-os.
Ezt úgy készítjük el, hogy 700 ml kénsavat (sűrűsége 20 °C-on: 1,84 g/cm3) óvatosan, folyamatos hűtés mellett, hozzátöltünk 350 ml desztillált vízhez.
A szobahőmérsékletre hűtés után hígítsuk vízzel az oldatot 1 literre.
3.2.2. Kénsav, hígított oldat: Töltsünk 100 ml kénsavat (sűrűsége 20 °C-on: 1,84 g/cm3) lassan 1900 ml desztillált vízhez.
3.2.3. Ammónia, hígított oldat: hígítsunk fel desztillált vízzel 200 ml koncentrált ammóniát (sűrűsége 20 °C-on: 0,880 g/cm3) 1000 ml-re.
4. VIZSGÁLATI ELJÁRÁS
Kövessük az általános információknál megadott eljárást, majd folytassuk a következőképpen:
A legalább 200 ml űrtartalmú Erlenmeyer-lombikban levő próbadarabra öntsünk grammonként 100 ml 75 tömeg%-os kénsavat, majd zárjuk le. Erősen rázzuk fel, majd tartsuk a lombikot 30 percen keresztül szobahőmérsékleten. Rázzuk fel ismét, majd álljon további 30 percig. Rázzuk fel még egyszer, utoljára, és szűrjük át a lombik tartalmát egy lemért üveg szűrőtégelyen. A visszamaradó szálakat öblítsük ki a lombikból 75%-os kénsavval. Mossuk át a szálmaradékot az üvegszűrőben egymást követően 50 ml hígított kénsavval, 50 ml vízzel és 50 ml hígított ammóniaoldattal. Mindegyik alkalommal hagyjuk, hogy a szálak kb. 10 percig érintkezzenek a folyadékkal, mielőtt leszívást alkalmaznánk. Végül öblítsünk vízzel, hagyjuk, hogy a szálak kb. 30 percig érintkezzenek a vízzel. Ürítsük ki az üvegszűrőt leszívással, szárítsuk meg, hűtsük le, majd mérjük meg az üvegszűrőt a szálmaradékkal.
5. AZ EREDMÉNYEK KISZÁMÍTÁSA ÉS MEGADÁSA
Az eredmények az általános utasításokban meghatározottak szerint számítandók. A ’d’ értéke gyapjú esetében 0,985, elasztolefin esetében 1,00, a melamin esetében pedig 1,01.
6. A MÓDSZER PONTOSSÁGA
Textilanyagok homogén keveréke esetében az ezzel a módszerrel kapott eredmények megbízhatósági tartománya, 95%-os megbízhatósági szint mellett, nem nagyobb ±1-nél.
12. MÓDSZER
Juta és meghatározott állati eredetű szálak
(Nitrogéntartalom meghatározásos módszer)
1. ALKALMAZÁSI TERÜLET
Ez a módszer, az idegenanyagok eltávolítása után, a következő szálakból álló kétkomponensű keverékekhez alkalmazható:
1. juta (9)
és
2. meghatározott állati eredetű szálak.
Az állati eredetű szálkomponens kizárólag állati szőrből (2 és 3) vagy gyapjúból (1) vagy e kettő valamilyen keverékéből állhat. Ez a módszer nem alkalmazható olyan textilkeverékekhez, melyek nitrogénbázisú idegenanyagot (színezék, kikészítőszer stb.) tartalmaznak.
2. ALAPELV
Meghatározzuk a keverék nitrogéntartalmát, majd ebből és két komponens ismert vagy feltételezett nitrogéntartalmából számítjuk ki a komponensek részarányát.
3.1. Eszközök
3.1.1. Kjeldahl roncsoló lombik, 200-300 ml űrtartalmú.
3.1.2. Kjeldahl desztilláló készülék gőz bevezetéssel.
3.1.3. Titráló eszköz, 0,05 ml pontosságú.
3.2. Reagensek
3.2.1. Toluol.
3.2.2. Metilalkohol.
3.2.3. Kénsav, sűrűsége 20 °C-on: 1,84 g/cm3
3.2.4. Káliumszulfát
3.2.5. Szeléndioxid
3.2.6. Nátriumhidroxid oldat (400 g/liter). Oldjunk fel 400 g nátriumhidroxidot 400-500 ml vízben, majd hígítsuk fel 1 literre vízzel.
3.2.7. Indikátor keverék. Oldjunk fel 0,1 g metilvöröst 95 ml etilalkoholban és 5 ml vízben, majd keverjük össze 0,5 g brómkrezolzölddel, melyet előzőleg 475 ml etilalkoholban és 25 ml vízben feloldottunk.
3.2.8. Bórsav oldat. Oldjunk fel 20 g bórsavat 1 liter vízben.
3.2.9. Kénsav, 0,02 N (standard normáloldat).
4. A VIZSGÁLATI MINTA ELŐKEZELÉSE
Az általános információknál megadott előkezelés helyett a következő előkezelést végezzük el:
Extraháljuk a légszáraz mintát Soxhlet készülékben, 4 órán keresztül, egy térfogatrész toluol és 3 térfogatrész metilalkohol keverékével, legalább 5 ciklus/óra sebességgel. Hagyjuk az oldószert elpárologni a mintából a szabad levegőn, majd a maradék oldószernyomokat szárítószekrényben, 105±3 °C-on távolítsuk el. Ezután extraháljuk a próbadarabot grammonként 50 ml vízben, visszafolyatás mellett forralva 30 percig. Végezzünk szűrést, tegyük vissza a mintát a lombikba, majd ismételjük meg az extrahálást ugyanolyan mennyiségű vízzel. Végezzünk szűrést, távolítsuk el a felesleges vizet a mintából kipréseléssel, leszívatással vagy centrifugálással, majd hagyjuk a mintát levegőn megszáradni.
Megjegyzés:
Ügyelni kell a toluol és a metilalkohol mérgező hatásaira, használatuk során minden szükséges óvintézkedést meg kell tenni.
5. VIZSGÁLATI ELJÁRÁS
5.1. Általános utasítások
A próbadarabok kiválasztása, szárítása és mérése tekintetében kövessük az általános részben megadott utasításokat. 5.2. Részletes eljárás
Tegyük a próbadarabot egy Kjeldahl roncsoló lombikba. A roncsoló lombikban lévő, legalább 1 g tömegű próbadarabhoz adjunk – ebben a sorrendben – 2,5 g káliumszulfátot, 0,1-0,2 g szeléndioxidot és 10 ml kénsavat (sűrűsége: 1,84 g/cm3). Melegítsük a lombikot, először enyhén, míg a teljes szálmennyiség szétroncsolódik, ezután melegítsük erősebben, míg az oldat kitisztul, és majdnem színtelenné válik. Melegítsük a lombikot további 15 percig. Hagyjuk a lombikot kihűlni, a tartalmát óvatosan hígítsuk fel 10-20 ml vízzel, hűtsük, töltsük át a tartalmát egy 200 ml-es jelzéssel ellátott lombikba, töltsük fel vízzel erre a térfogatra, ezzel előállítva a feltáró oldatot.
Töltsünk kb. 20 ml bórsav oldatot egy 100 ml-es Erlenmeyer-lombikba, és tegyük a lombikot Kjeldahl desztilláló készülék kondenzora alá úgy, hogy a lefolyócső éppen a bórsav oldat szintje alá merüljön. Tegyünk pontosan 10 ml feltáró oldatot a desztilláló lombikba, töltsünk legalább 5 ml nátriumhidroxid oldatot a tölcsérbe, emeljük fel kissé a dugót, és hagyjuk a nátriumhidroxid oldatot lassan lefolyni a lombikba. Ha a feltáró oldat és a nátriumhidroxid oldat két elkülönülő réteget képez, óvatosan keverjük össze. Melegítsük lassan a desztilláló lombikot, és vezessünk bele gőzt a gőzfejlesztőből. Gyűjtsünk össze kb. 20 ml desztillátumot, az Erlenmeyer-lombikot engedjük le úgy, hogy a kondenzor lefolyócsövének vége kb. 20 mm-rel a folyadék szintje felett legyen, és 1 percig desztilláljunk tovább. Öblítsük ki a lefolyócső végét vízzel, fogjuk fel az öblítővizet az Erlenmeyer-lombikban. Vegyük ki az Erlenmeyer-lombikot, cseréljük ki egy másik Erlenmeyer-lombikkal, melyben nagyjából 10 ml bórsav oldat van, és gyűjtsünk kb. 10 ml desztillátumot.
Titráljuk a két desztillátumot külön-külön 0,02 N kénsavval, használjuk az indikátor keveréket. Jegyezzük fel a két desztillátum teljes fogyását. Ha a második desztillátum fogyásának eltérése nagyobb mint 0,2 ml, ismételjük meg a vizsgálatot, és kezdjük el ismét a desztillálást, egy új adagot felhasználva a feltáró oldatból.
Végezzünk el egy üres meghatározást, azaz a feltárást és a desztillációt, melynél csak a reagenseket használjuk.
6. AZ EREDMÉNYEK KISZÁMÍTÁSA ÉS MEGADÁSA
6.1. Számítsuk ki a száraz próbadarab százalékos nitrogéntartalmát a következőképpen:
A%=
ahol
A |
a nitrogén százalékaránya a tiszta, száraz próbadarabban, |
V |
a meghatározás során használt standard kénsav teljes mennyisége ml-ben, |
b |
az üres meghatározás során használt standard kénsav teljes mennyisége ml-ben, |
N |
a standard kénsav normalitása, |
W |
a próbadarab száraz tömege (g). |
6.2. A juta nitrogéntartalmára a 0,22%, az állati eredetű szál nitrogéntartalmára a 16,2% értéket használva, mindkét százalékérték a szál száraz tömegére vonatkozik, számítsuk ki a keverék összetételét a következőképpen:
PA%=
ahol
PA% |
az állati eredetű szálak százalékaránya a tiszta, száraz próbadarabban. |
7. A MÓDSZER PONTOSSÁGA
Textilanyagok homogén keveréke esetében az ezzel a módszerrel kapott eredmények megbízhatósági tartománya, 95%-os megbízhatósági szint mellett, nem nagyobb ±1-nél.
13. MÓDSZER
Polipropilén szálak és meghatározott más szálak
(Xilolos módszer)
1. ALKALMAZÁSI TERÜLET
Ez a módszer, az idegenanyagok eltávolítása után, a következő szálakból álló kétkomponensű keverékekhez alkalmazható:
1. polipropilén szálak (36)
és
2. gyapjú (1), állati szőr (2 és 3), selyem (4), pamut (5), acetát (19), rézoxid-szál (21), modál (22), triacetát (24), viszkóz (25), akril (26), poliamid vagy nejlon (30), poliészter (35), üvegszál (44), elaszto-multiészter (46) és melamin (48).
2. ALAPELV
Az ismert száraz tömegű keverékből forrásban lévő xilollal kioldjuk a polipropilén szálakat. A maradékot összegyűjtjük, mossuk, szárítjuk és megmérjük; a tömegét, korrigálva, ha szükséges, a keverék száraz tömegének százalékában fejezzük ki. A polipropilén szálak százalékos részarányát különbségképzéssel határozzuk meg.
3.1. Eszközök
3.1.1. Erlenmeyer-lombik, becsiszolt üvegdugóval, legalább 200 ml űrtartalmú.
3.1.2. Visszafolyós hűtő (magas forráspontú folyadékokhoz alkalmas), az Erlenmeyer-lombikhoz (3.1.1) illeszkedő.
3.2. Reagensek
Xilol, 137 és 142 °C között desztillált.
Megjegyzés:
Ez a reagens nagyon gyúlékony, és a gőze mérgező. Használatakor megfelelő elővigyázatossággal kell eljárni.
4. VIZSGÁLATI ELJÁRÁS
Kövessük az általános információknál megadott eljárást, majd folytassuk a következőképpen:
A legalább 200 ml űrtartalmú Erlenmeyer-lombikban (3.1.1.) levő próbadarabra öntsünk grammonként 100 ml xilolt (3.2.). Erősítsük fel a hűtőt (3.1.2.), a lombik tartalmát forraljuk fel, és tartsuk forrásban három percig. Azonnal dekantáljuk a forró folyadékot a lemért üveg szűrőtégelyen át (lásd 1. megjegyzés). Ismételjük meg ezt a műveletet kétszer, minden alkalommal egy új 50 ml-es adag oldószert használva.
Mossuk át a lombikban maradt szálmaradékot egymást követően 30 ml forrásban lévő xilollal kétszer, majd 75 ml petroléterrel (I.3.2.1. az általános részben) kétszer. A második petroléteres mosás után szűrjük át a lombik tartalmát az üvegszűrőn, a visszamaradó szálakat töltsük át az üvegszűrőbe kis mennyiségű petroléter segítségével, és hagyjuk az oldószert elpárologni. Szárítsuk meg, hűtsük le, majd mérjük meg az üvegszűrőt a szálmaradékkal Megjegyzések:
1. Az üveg szűrőtégelyt, amelyiken át a xilolt dekantáljuk, elő kell melegíteni.
2. A forrásban levő xilollal történő kezelés után a lombikot és a benne levő szálmaradékot kellőképpen le kell hűteni, mielőtt a petrolétert beleöntenénk.
3. A tűz- és a mérgezés kockázatának csökkentése érdekében használhatunk megfelelő eljárásokat alkalmazó, azonos eredményt adó, forró extrahálásra alkalmas készüléket is.
5. AZ EREDMÉNYEK KISZÁMÍTÁSA ÉS MEGADÁSA
Az eredmények az általános információknál megadott módon számítandók. A ’d’ értéke 1,00, kivéve a melamin szálat, ahol a ’d’ értéke 1,01.
6. A MÓDSZER PONTOSSÁGA
Textilanyagok homogén keveréke esetében az ezzel a módszerrel kapott eredmények megbízhatósági tartománya, 95%-os megbízhatósági szint mellett, nem nagyobb ±1-nél.
14. MÓDSZER
Poliklorid szálak (vinilklorid homopolimerjei) és meghatározott más szálak
(Koncentrált kénsavas módszer)
1. ALKALMAZÁSI TERÜLET
Ez a módszer, az idegenanyagok eltávolítása után, a következő szálakból álló kétkomponensű keverékekhez alkalmazható:
1. pamut (5), acetát (19), rézoxid-szál (21), modál (22), triacetát (24), viszkóz (25), egyes akrilok (26), egyes modakrilok (29), poliamid vagy nejlon (30), poliészter (35), elaszto-multiészter (46), valamint
2. poliklorid szálak (27) melyek vinilklorid homopolimer alapúak, akár utánklórozottak, akár nem, elasztolefin (47), valamint melamin (48).
A módszer azokra a modakrilokra alkalmazható, melyek koncentrált kénsavba (sűrűség 20 °C-on: 1,84 g/ml) bemerítve áttetsző oldatot adnak.
Ez a módszer alkalmazható a 8. és a 9. módszer helyett.
2. ALAPELV
A keverék nem poliklorid, nem elasztolefin és nem melamin összetevőjét (vagyis az 1. bekezdés 1. pontjában említett szálak) tömény kénsavval (relatív sűrűsége 20 °C-on 1,84 g/ml) kell kioldani a keverék ismert száraz tömegéből. A poliklorid szálból, elasztolefinből és melaminból álló visszamaradt anyagot össze kell gyűjteni és ki kell mosni. A megszárított anyag lemért tömegét – szükség esetén korrigálva – a keverék száraz tömegének százalékában kell kifejezni. A második összetevő százalékos aránya a kettő különbségéből állapítandó meg.
3.1. Eszközök
3.1.1. Erlenmeyer-lombik, becsiszolt üvegdugóval, legalább 200 ml űrtartalmú.
3.1.2. Lapított végű üvegpálca.
3.2. Reagensek
3.2.1. Kénsav, koncentrált (sűrűsége 20 °C-on: 1,84 g/cm3).
3.2.2. Kénsav, körülbelül 50 tömeg%-os vizes oldat.
Ezt úgy készítjük el, hogy 400 ml kénsavat (sűrűsége 20 °C-on: 1,84 g/cm3) óvatosan, folyamatos hűtés mellett, hozzátöltünk 500 ml desztillált vagy ionmentesített vízhez. A szobahőmérsékletűre hűlés után desztillált vízzel 1 literre hígítjuk.
3.2.3. Ammónia, hígított oldat.
Hígítsunk fel desztillált vízzel 60 ml koncentrált ammóniaoldatot (sűrűsége 20 °C-on: 0,88 g/cm3) egy literre.
4. VIZSGÁLATI ELJÁRÁS
Kövessük az általános információknál megadott eljárást, majd folytassuk a következőképpen:
A legalább 200 ml űrtartalmú Erlenmeyer-lombikban (3.1.1.) levő próbadarabra öntsünk grammonként 100 ml kénsavat (3.2.1.).
Tartsuk a lombikot 15 percen keresztül szobahőmérsékleten, és ez idő alatt időnként keverjük meg a próbadarabot az üvegpálcával. Ha szövetet vagy kötött kelmét kezelünk, nyomogassuk azt kis erővel a lombik falához az üvegbottal, hogy a kénsav által kioldott anyagot eltávolítsuk belőle.
Dekantáljuk a folyadékot a lemért üveg szűrőtégelyen át. Töltsünk a lombikba egy újabb adag – 100 ml – kénsavat (3.2.1.), és ismételjük meg az előző műveletet. Töltsük át a lombik tartalmát az üveg szűrőtégelybe, a szálmaradékot az üvegbot segítségével tegyük át. Ha szükséges, töltsünk egy kis koncentrált kénsavat (3.2.1.) a lombikba, és ezzel távolítsuk el a lombik falán megtapadt szálakat. Ürítsük ki az üvegszűrőt leszívással. Az átszűrt folyadékot mind öntsük ki a szűrőlombikból, vagy cseréljünk lombikot, mossuk át a szálmaradékot a szűrőben egymást követően 50%-os kénsavoldattal (3.2.2.), desztillált vagy ionmentesített vízzel (I.3.2.3. az általános részben), ammóniaoldattal (3.2.3.) és végül mossuk át alaposan desztillált vagy ionmentesített vízzel, közben ürítsük ki az üvegszűrőt leszívással minden egyes folyadék adagolás után. (Ne alkalmazzunk leszívást a mosási művelet közben, csak akkor, ha a folyadék már magától lefolyt.) Szárítsuk meg, hűtsük le, majd mérjük meg az üvegszűrőt a szálmaradékkal.
5. AZ EREDMÉNYEK KISZÁMÍTÁSA ÉS MEGADÁSA
Az eredmények az általános információknál megadott módon számítandók. A ’d’ értéke 1,00, kivéve a melamin szálak esetében, ahol a ’d’ értéke 1,01.
6. A MÓDSZER PONTOSSÁGA
Textilanyagok homogén keveréke esetében az ezzel a módszerrel kapott eredmények megbízhatósági tartománya, 95%-os megbízhatósági szint mellett, nem nagyobb ±1-nél.
15. MÓDSZER
Poliklorid szálak, meghatározott modakrilok, meghatározott elasztánok, acetátok, triacetátok
és meghatározott más szálak
(Ciklohexanonos módszer)
1. ALKALMAZÁSI TERÜLET
Ez a módszer, az idegenanyagok eltávolítása után, a következő szálakból álló kétkomponensű keverékekhez alkalmazható:
1. acetát (19), triacetát (24), poliklorid (27), meghatározott modakrilok (29), meghatározott elasztánok (43)
és
2. gyapjú (1), állati szőrök (2) és (3), selyem (4), pamut (5), rézoxid-szál (cupro) (21), modál (22), viszkóz (25), akril (26), poliamid vagy nejlon (30), üvegszál (44), és melamin (48).
Ha modakril- vagy elasztánszál van a keverékben, egy előzetes vizsgálatot kell elvégezni annak megállapítására, hogy a szál teljes mértékben oldódik-e a reagensben.
A poliklorid tartalmú keverékek elemzéséhez a 9. vagy 14. módszer is alkalmazható.
2. ALAPELV
Az ismert száraz tömegű keverékből ciklohexanonnal kioldjuk az acetát-, a triacetát- vagy a klórszálat, a meghatározott modakril- vagy a meghatározott elasztán szálakat. A maradékot összegyűjtjük, mossuk, szárítjuk és megmérjük; a tömegét, korrigálva, ha szükséges, a keverék száraz tömegének százalékában fejezzük ki. A poliklorid szál, a modakril, az elasztán, az acetát vagy a triacetát százalékos részarányát különbségképzéssel határozzuk meg.
3.1. Eszközök
3.1.1. Forró extrahálásra alkalmas készülék. (lásd az ábrát)
3.1.2. Üveg szűrőtégely a próbadarab tárolására.
3.1.3. Porózus elválasztó lemez (1. fokozatú porozitással).
3.1.4. Visszafolyós hűtő, a desztilláló lombikra feltehető.
3.1.5. Melegítő eszköz.
3.2. Reagensek
3.2.1. Ciklohexanon, forráspontja 156 °C.
3.2.2. Etilalkohol, 50 térfogat%-os.
Megjegyzés:
A ciklohexanon gyúlékony és mérgező. Használatakor megfelelő elővigyázatossággal kell eljárni.
4. VIZSGÁLATI ELJÁRÁS
Kövessük az általános információknál megadott eljárást, majd folytassuk a következőképpen:
Öntsünk a desztillációs lombikba a próbadarab tömegétől függően, grammonként 100 ml ciklohexanont, helyezzük be az extraháló edényt, melyben előzőleg elhelyeztük a próbadarabot tartalmazó üveg szűrőtégelyt és – enyhén megdöntve – az elválasztó lemezt. Helyezzük be a visszafolyós hűtőt. A lombik tartalmát forraljuk fel, és extraháljunk 60 percig, legalább 12 ciklus/óra sebességgel. Az extrahálás és a hűtés után távolítsuk el az extraháló edényt, vegyük ki az üveg szűrőtégelyt, és távolítsuk el a porózus elválasztó lemezt. Mossuk át az üveg szűrőtégely tartalmát háromszor vagy négyszer kb. 60 °C-ra felmelegített, 50%-os etilalkohollal, majd ezt követően 1 liter 60 °C-os vízzel.
Ne alkalmazzunk leszívást a mosási művelet közben. Hagyjuk a folyadékot magától lefolyni, ezután alkalmazzuk a leszívást.
Végül szárítsuk meg, hűtsük le, majd mérjük meg az üvegszűrőt a szálmaradékkal.
5. AZ EREDMÉNYEK KISZÁMÍTÁSA ÉS MEGADÁSA
Az eredmények az általános információknál megadott módon számítandók. A ’d’ értéke 1,00, a következők kivételével: akril 0,98., selyem és melamin 1,01.
6. A MÓDSZER PONTOSSÁGA
Textilanyagok homogén keveréke esetében az ezzel a módszerrel kapott eredmények megbízhatósági tartománya, 95%-os megbízhatósági szint mellett, nem nagyobb +1-nél.
A 15. módszer 3.1.1. pontjában hivatkozott ábra
16. MÓDSZER
(Forró hangyasavas módszer)
1. ALKALMAZÁS TERÜLET
Ez a módszer a nem szálas anyagok eltávolítását követően a következő összetételű, kétkomponensű keverékek esetében alkalmazható:
1. melamin (48)
és
2. pamut (5) és aramid (31).
2. ALAPELV
A melamint az ismert száraz tömegű keverékből (90 tömegszázalékos) forró hangyasavval oldjuk ki.
A visszamaradt anyag összegyűjtjendő, kimosandó. A megszárított és megmért anyag tömege szükség esetén a megfelelő módon korrigálva a keverék száraz tömegére vonatkoztatott százalékos értékben fejezendő ki. A különbség alapján határozható meg a második összetevő százalékos aránya.
Megjegyzés: Szigorúan ajánlott a hőmérséklet tartományon belül maradni, mivel a melamin oldhatósága nagymértékben függ a hőmérséklettől.
3.1. Eszközök
3.1.1. Legalább 200 ml űrtartalmú, üvegdugóval ellátott Erlenmeyer-lombik.
3.1.2. Rázó vízfürdő vagy egyéb olyan eszköz, amely rázni és 90 ± 2°C-on tudja tartani a lombikot.
3.2. Reagensek
3.2.1. Hangyasav (90 tömegszázalékos, relatív sűrűsége 20 °C-on 1,204 g/ml). 890 ml 98–100 tömegszázalékos hangyasavat (relatív sűrűsége 20 °C-on 1,220 g/ml) egészítsünk ki vízzel 1 literre.
3.2.2. Híg ammóniaoldat: tömény ammóniaoldatból 80 ml-t (relatív sűrűsége 20 °C-on 0,880 g/ml) egészítsünk ki vízzel 1 literre.
4. VIZSGÁLATI ELJÁRÁS
Az általános útmutatóban leírtak végrehajtása után a következők szerint kell eljárni:
A legalább 200 ml-es, üvegdugóval ellátott Erlenmeyer-lombikban található próbadarab minden grammjához 100 ml hangyasavat kell adni. Üvegdugót rátéve alaposan fel kell rázni, hogy a minta átnedvesedjen. A lombikot rázó vízfürdőben 90 ± 2 °C-on egy óra hosszat erőteljesen kell rázatni. Hagyni kell a lombikot szobahőmérsékletűre hűlni, majd a folyadékot egy lemért szűrőtégelyen dekantálni. A szálmaradékot tartalmazó lombikba 50 ml hangyasavat öntve, kézzel fel kell rázni, és a lombik tartalmát átszűrni a szűrőtégelyen. A visszamaradt szálakat a szűrőtégelyre kell átvinni úgy, hogy a lombikot kis mennyiségű hangyasavval kell kiöblíteni. A tégelyt leszívással le kell üríteni, ezt követően a szálmaradékot ki kell mosni hangyasavval, forró vízzel, híg ammóniaoldattal, végül hideg vízzel, miközben a tégelyt minden egyes folyadék-hozzáadás után le kell szivatni. Leszívás addig nem alkalmazható, amíg mindegyik mosófolyadék gravitációs úton teljesen le nem csöpögött. Végül a tégelyt le kell szívatni, meg kell szárítani, le kell hűteni és meg kell mérni a szálmaradékkal együtt.
Megjegyzés: A hőmérséklet nagyon erősen befolyásolja a melamin oldhatóságát, ezért gondosan ellenőrizni kell.
5. AZ EREDMÉNYEK KISZÁMÍTÁSA ÉS MEGADÁSA
Az eredmények az általános utasításokban meghatározottak szerint számítandók. A ’d’ értéke pamut és aramid esetében 1,02.
6. A MÓDSZER PONTOSSÁGA
Textilanyagok homogén keveréke esetében az e módszerrel nyerhető eredmények megbízhatósági tartománya 95%-os konfidenciaszinten nem nagyobb ± 2-nél.
7. melléklet a 25/2005. (IV. 29.) GKM rendelethez21
Három komponenst tartalmazó szálkeverékek nyersanyag-összetételének mennyiségi meghatározása
BEVEZETÉS
A szálkeverékek nyersanyag-összetételének meghatározási módszerei két eljáráson alapulnak: a száltípusok kézi és kémiai szétválasztásán.
Ha lehetséges, a kézi szétválasztás módszerét alkalmazzuk, mivel ez pontosabb eredményeket ad, mint a kémiai módszer. A kézi szétválasztás módszere alkalmazható minden olyan textíliánál, ahol a szálkomponensek nem alkotnak közvetlen (intim) keveréket, így pl. olyan fonalak esetében, amelyek több alkotóelemből állnak, és ezek mindegyike csak egy szálféleségből készült, vagy olyan szöveteknél, amelyekben a láncfonal más szálféleségből készült mint a vetülékfonal, vagy olyan felfejthető kötött kelméknél, amelyek különböző nyersanyagú fonalakból készültek.
A nyersanyag-összetétel meghatározás kémiai módszerei általában az egyes komponensek szelektív kioldásán alapulnak. Ennek a módszernek négy lehetséges változata van:
1. Két külön próbadarabot alkalmazva, az (a) komponenst kioldjuk az egyik próbadarabból, a (b) komponenst pedig a másikból. Mindkét próbadarab oldhatatlan maradékát megmérjük, és a két oldható komponens százalékos mennyiségét a megfelelő tömegveszteségekből számítjuk ki. A harmadik komponens (c) százalékos mennyiségét különbségképzéssel határozzuk meg.
2. Két külön próbadarabot alkalmazva, az (a) komponenst kioldjuk az egyik próbadarabból, két [(a) és (b)] komponenst pedig a másikból. Az első próbadarab oldhatatlan maradékát megmérjük, és az (a) komponens százalékos mennyiségét a tömegveszteségből számítjuk ki. Megmérjük a második próbadarab maradékát is, ez megegyezik a (c) komponenssel. A harmadik (b) komponens százalékos mennyiségét különbségképzéssel határozzuk meg.
3. Két külön próbadarabot alkalmazva, két komponenst [(a) és (b)] kioldunk az egyik próbadarabból, két komponenst [(b) és (c)] pedig a másikból. Az oldhatatlan maradékok megegyeznek a (c) és az (a) komponensekkel. A harmadik (b) komponenst különbségképzéssel határozzuk meg.
4. Csak egy próbadarabot alkalmazva, az egyik komponens eltávolítása után az oldhatatlan maradékot – amely a másik két szál – megmérjük, és a tömegveszteségből kiszámítjuk az oldható komponens százalékos mennyiségét. A maradék két szál egyikét ezután kioldjuk, az oldhatatlan komponenst megmérjük, és a második oldható komponens százalékos mennyiségét a tömegveszteségből kiszámítjuk.
Ha lehetőség van választásra, akkor ajánlatos az első három változat egyikét alkalmazni.
A kémiai analízis alkalmazása esetén, a szakértő felelős azért, hogy a kiválasztott módszerekhez alkalmazott oldószerek csak a megfelelő szálat (szálakat) oldják, a többi szálat érintetlenül hagyják.
Példaképpen az 1. táblázat tartalmaz néhány három komponensű szálkeveréket, és megadja azokat – a kétkomponensű keverékek nyersanyag-összetételének meghatározásához használatos – módszereket is, amelyek elvileg ezeknek a háromkomponensű keverékeknek a vizsgálatához alkalmazhatók.
A hibalehetőségek minimumra csökkentése érdekében ajánlatos, amennyiben van rá mód, hogy a négy, fent említett változat közül legalább kettőt alkalmazzunk a kémiai vizsgálathoz.
A feldolgozás alatt álló szálkeverékek és – kisebb mértékben – a kész textiltermékek tartalmazhatnak természetes eredetű, vagy a feldolgozás megkönnyítésére hozzáadott idegenanyagokat, így zsírokat, viaszokat vagy segédanyagokat, valamint vízben oldható anyagokat. Az idegenanyagokat az analízis előtt el kell távolítani. Ezért az I.6 szakasz megad egy előkezelési módszert az olajok, zsírok, viaszok és vízoldható anyagok eltávolítására.
Ezenkívül a textíliák tartalmazhatnak gyantákat vagy más olyan anyagokat is, amelyeket azért alkalmaznak, hogy különleges tulajdonságokat kölcsönözzenek a textíliáknak. Az ilyen anyagok, amelyek közé kivételes esetben színezékek is tartozhatnak, zavarhatják a reagens oldható komponensekre gyakorolt hatását, és/vagy a reagensek részlegesen vagy teljesen eltávolíthatják ezeket. Az ilyen kísérőanyagok tehát hibákat okozhatnak, ezért a minta elemzése előtt el kell távolítani ezeket. Ha az ilyen kísérő anyagok eltávolítása nem lehetséges, akkor az 1. táblázatban – a nyersanyag-összetétel mennyiségi meghatározására – megadott kémiai módszerek nem alkalmazhatók.
A színezett szálakban lévő színezék a szál szerves részének tekinthető, és nem kell eltávolítani.
A vizsgálatok a száraz tömeget veszik alapul, ezért adott egy eljárás a száraz tömeg meghatározására.
Az eredmény úgy adódik, hogy minden egyes szálféleség száraz tömegét megnöveljük az egyezményes járulékanyag-hányadokkal, melyek a 4. számú mellékletben találhatók. A vizsgálat előtt a keverékben lévő minden szálféleséget azonosítani kell. Néhány kémiai módszer esetében az oldható komponens(ek) oldására alkalmazott oldószerben a keverék oldhatatlan komponense vagy komponensei is részlegesen oldódhatnak. A reagenseket lehetőleg úgy kell megválasztani, hogy ne legyen, vagy csak csekély hatásuk legyen az oldhatatlan szálakra. Ha tudjuk, hogy az analízis során tömegveszteség lép fel, akkor az eredményt korrigálni kell. E célból az egyes módszereknél adottak a korrekciós tényezők. Ezeket a korrekciós tényezőket több laboratóriumban olyan módon határozták meg, hogy az előkezeléssel tisztított szálakat az adott módszernél előírt reagenssel kezelték. Ezek a korrekciós tényezők csak a nem károsodott szálak esetében alkalmazhatók. Ezektől eltérő korrekciós tényezők is szükségessé válhatnak, ha a szálak a feldolgozás előtt vagy a feldolgozás során károsodtak. Ha a negyedik változatot kell alkalmaznunk, amelynél a textilszálat két különböző oldószer egymás utáni hatásának tesszük ki, akkor korrekciós tényezőkkel kell a lehetséges tömegveszteségeket figyelembe venni, amelyeket a szál a két kezelésnél elszenved.
A kézi szétválasztás és a kémiai szétválasztás esetében egyaránt legalább két nyersanyag-összetétel meghatározást kell végezni.
I. ÁLTALÁNOS INFORMÁCIÓK A HÁROM KOMPONENST TARTALMAZÓ SZÁLKEVERÉKEK NYERSANYAG-ÖSSZETÉTELÉNEK MENNYISÉGI MEGHATÁROZÁSI MÓDSZEREIRŐL
Közös információk a három komponenst tartalmazó szálkeverékek nyersanyag-összetételének mennyiségi meghatározására megadott módszerekhez.
I.1. Tárgy és alkalmazási terület
A két komponenst tartalmazó szálkeverékek minden egyes nyersanyag-összetétel meghatározási módszerének alkalmazási területe felsorolja a szálféleségeket, melyekhez a módszer alkalmazható (lásd 6. számú melléklet). I.2. Alapelv
A keverék komponenseinek azonosítása után az idegenanyagokat megfelelő előkezeléssel eltávolítjuk, ezután a bevezetésben leírt szelektív kioldási eljárás négy változatából egyet vagy többet alkalmazunk. Ha nem jelent műszaki nehézséget, akkor lehetőleg a nagyobb mennyiségben lévő szálkomponenst kell kioldani, így a kisebb mennyiségű szálkomponens lesz a végső maradék.
I.3. Eszközök és reagensek
I.3.1. Eszközök
I.3.1.1. Üveg szűrőtégelyek és mérőedények, amelyek elég nagyok a tégelyek befogadására, vagy bármilyen más eszközök, amelyek azonos eredményeket adnak.
I.3.1.2. Szívópalack
I.3.1.3. Exszikkátor, amely önindikáló szilikagélt tartalmaz.
I.3.1.4. Ventilációs szárítószekrény, a próbadarabok 105±3 °C-on való szárításához.
I.3.1.5. Analitikai mérleg, 0,0002 g-os pontosságú.
I.3.1.6. Soxhlet extraháló készülék, vagy olyan készülék, mely azonos eredményeket ad.
I.3.2. Reagensek
I.3.2.1. Petroléter, átdesztillált, forráspont 40-60 °C között.
I.3.2.2. A többi reagenst a módszerleírás megfelelő részei ismertetik. Minden felhasznált reagensnek vegytisztának kell lennie.
I.3.2.3. Desztillált vagy ionmentesített víz.
I.4. Kondicionáló és vizsgálati légtér
Mivel a száraz tömegeket határozzuk meg, nem kell a próbadarabot kondicionálni. A vizsgálatot nem szükséges klimatizált légtérben végezni.
I.5. Vizsgálati minta
Vegyük ki a vizsgálati mintát úgy, hogy az reprezentálja a laboratóriumi mintát, és az összes próbadarabhoz – melyek mindegyike legalább 1 g – elegendő legyen.
I.6. A vizsgálati minta előkezelése
Ha a keverékben olyan anyag található, amelyet a százalékszámításhoz nem kell figyelembe venni [lásd 10. § (1) bekezdés ab) pont], akkor azt először el kell távolítani egy olyan módszerrel, amely egyik szálkomponensre sincs hatással. Ezért a petroléterrel és vízzel extrahálható idegenanyagokat távolítsuk el a légszáraz vizsgálati minta Soxhlet extraháló készülékben, petroléterrel, egy órán át, minimum 6 ciklus/óra sebességgel történő kezelésével. Hagyjuk a petrolétert elpárologni a mintáról, majd áztassuk a mintát 1 órán át szobahőmérsékletű vízben, majd további 1 órán át 65±5 °C-os vízben, időnként felkeverve. A próbadarab/víz arány legyen: 1:100. Távolítsuk el a mintából a felesleges vizet kipréseléssel, leszívatással vagy centrifugálással, majd hagyjuk a mintát levegőn megszáradni.
Ha az idegenanyagok petroléterrel és vízzel nem távolíthatók el, akkor az előbbiekben megadott módszer helyett egy olyan megfelelő módszerrel kell eltávolítani ezeket, amely egyik szálalkotórészt sem változtatja meg lényegesen. Néhány fehérítetlen természetes növényi szál (pl. juta, kókusz) esetében azonban figyelembe kell venni, hogy a normál petroléteres és vizes kezeléssel nem távolítható el minden természetes eredetű idegenanyag, ennek ellenére nem alkalmazunk más előkezelést, kivéve, ha a minta petroléterben és vízben is oldhatatlan kikészítőszereket tartalmaz.
A vizsgálati jelentésben részletesen ismertetni kell az alkalmazott előkezelési módszereket.
I.7. Vizsgálati eljárás
I.7.1. Általános útmutatás
I.7.1.1. Szárítás
Minden szárítás legalább 4 órán át, de 16 óránál nem tovább, ventilációs szárítószekrényben, zárt ajtónál, 105±3 °C-on történjen. Ha a szárítási időtartam 14 óránál rövidebb, akkor a tömegállandóság megállapításához a mintát ellenőrző mérésnek kell alávetni. A tömeg akkor tekinthető állandónak, ha további 60 perces szárítás után 0,05%-nál kisebb a változása.
Az üveg szűrőtégelyeket és a mérőedényeket, a mintákat vagy a maradékokat a szárítási, hűtési és mérési műveletek közben nem szabad puszta kézzel megérinteni.
Szárítsuk a próbadarabokat mérőedényben, mellétéve a fedelét. A szárítás után a mérőedényt még a szárítószekrényből való kivétel előtt fedjük le, és gyorsan tegyük át az exszikkátorba.
Szárítsuk az üveg szűrőtégelyt mérőedényben, mellétéve a fedelét. A szárítás után fedjük le a mérőedényt, és gyorsan tegyük át az exszikkátorba.
Ha az üveg szűrőtégely helyett más eszközt használunk, akkor a szárítási műveleteket úgy kell végezni a szárítószekrényben, hogy a szálak száraz tömegét veszteség nélkül meghatározhassuk.
I.7.1.2. Hűtés
Minden hűtés a mérleg mellé állított exszikkátorban történjen addig, amíg a mérőedény teljesen lehűl, és ez nem lehet rövidebb 2 óránál.
I.7.1.3. Tömegmérés
A hűtés után a mérőedény mérését az exszikkátorból kivéve 2 percen belül be kell fejezni. A mérést 0,0002 g-os pontossággal kell elvégezni.
I.7.2. Vizsgálati eljárás
Vegyünk az előkezelt vizsgálati mintából egy, legalább 1 g tömegű próbadarabot. A fonalat vagy a kelmét vágjuk fel kb. 10 mm hosszúságú darabokra, és bontsuk szét amennyire lehetséges. Szárítsuk meg a próbadarabot egy mérőedényben, exszikkátorban hűtsük le, majd mérjük meg. Tegyük át a próbadarabot egy – a 6. számú melléklet megfelelő vizsgálati módszerénél megadott – üvegedénybe, ezután rögtön mérjük meg ismét a mérőedényt, és a különbségből számítsuk ki a próbadarab száraz tömegét. Fejezzük be a vizsgálatot az alkalmazott módszer megfelelő részében leírt módon. Vizsgáljuk meg a maradékot mikroszkóppal, így ellenőrizzük, hogy a kezeléssel valóban teljesen eltávolítottuk-e az oldható szálat vagy szálakat. I.8. Az eredmények kiszámítása és megadása
Az egyes komponensek tömegét a keverékben lévő szálak teljes tömegének százalékában adjuk meg. Számítsuk ki a tiszta, száraz tömeg alapján az eredményeket, korrigálva ezeket először az egyezményes járulékanyag-hányadokkal, majd azokkal a korrekciós tényezőkkel, amelyek az előkezelésnél fellépő veszteségek figyelembevételéhez szükségesek.
I.8.1. A tiszta, száraz szálak tömegszázalékának számítása a szál előkezelés alatt fellépő tömegveszteségének figyelembevétele nélkül.
I.8.1.1. – 1. Változat –
A következő képletek akkor alkalmazhatók, ha a keverék egyik komponensét az egyik próbadarabból, a másik komponensét egy második próbadarabból távolítjuk el:

|
|
P1% |
az első tiszta, száraz komponens százalékaránya (az első próbadarabból az első reagenssel kioldott komponens); |
P2% |
a második tiszta, száraz komponens százalékaránya (a második próbadarabból a második reagenssel kioldott komponens); |
P3% |
a harmadik tiszta, száraz komponens százalékaránya (az a komponens, amelyet egyik próbadarabból sem oldottunk ki); |
m1 |
az első próbadarab száraz tömege a előkezelés után; |
m2 |
a második próbadarab száraz tömege az előkezelés után; |
r1 |
a maradék száraz tömege, miután az első próbadarabból az első reagenssel eltávolítottuk az első komponenst; |
r2 |
a maradék száraz tömege, miután a második próbadarabból a második reagenssel eltávolítottuk a második komponenst; |
d1 |
korrekciós tényező az első próbadarabban lévő oldhatatlan második komponens első reagensben fellépő tömegveszteségének a figyelembevételéhez; |
d2 |
korrekciós tényező az első próbadarabban lévő oldhatatlan harmadik komponens első reagensben fellépő tömegveszteségének a figyelembevételéhez; |
d3 |
korrekciós tényező a második próbadarabban lévő oldhatatlan első komponens második reagensben fellépő tömegveszteségének a figyelembevételéhez; |
d4 |
korrekciós tényező a második próbadarabban lévő oldhatatlan harmadik komponens második reagensben fellépő tömegveszteségének a figyelembevételéhez. |
|
|
I.8.1.2. – 2. Változat –
A következő képletek akkor alkalmazhatók, ha az egyik (a) komponenst az első próbadarabból távolítjuk el, a másik két [(b)+(c)] komponens a maradék, majd két [(a)+(b)] komponenst a második próbadarabból távolítunk el és a maradék a harmadik (c) komponens:

P1% |
az első tiszta, száraz komponens százalékaránya (az első próbadarabból az első reagenssel kioldott komponens); |
P2% |
a második tiszta, száraz komponens százalékaránya (a második próbadarabból a második reagenssel – az első komponenssel egyidejűleg – kioldott komponens); |
P3% |
a harmadik tiszta, száraz komponens százalékaránya (az a komponens, amelyet egyik próbadarabból sem oldottunk ki); |
m1 |
az első próbadarab száraz tömege az előkezelés után; |
m2 |
a második próbadarab száraz tömege az előkezelés után; |
r1 |
a maradék száraz tömege, miután az első próbadarabból az első reagenssel eltávolítottuk az első komponenst; |
r2 |
a maradék száraz tömege, miután a második próbadarabból a második reagenssel eltávolítottuk az első és a második komponenst; |
d1 |
korrekciós tényező az első próbadarabban lévő oldhatatlan második komponens első reagensben fellépő tömegveszteségének a figyelembevételéhez; |
d2 |
korrekciós tényező az első próbadarabban lévő oldhatatlan harmadik komponens első reagensben fellépő tömegveszteségének a figyelembevételéhez; |
d4 |
korrekciós tényező a második próbadarabban lévő oldhatatlan harmadik komponens második reagensben fellépő tömegveszteségének a figyelembevételéhez. |
|
|
I.8.1.3. – 3. Változat –
A következő képletek akkor alkalmazhatók, ha két [(a)+(b)] komponenst az egyik próbadarabból távolítunk el, a harmadik (c) komponens a maradék, majd két [(b)+(c)] komponenst a második próbadarabból távolítunk el, és az első (a) komponens a maradék:

P1% |
az első tiszta, száraz komponens százalékaránya (az első próbadarabból az első reagenssel kioldott komponens);
|
P2% |
a második tiszta, száraz komponens százalékaránya (az első próbadarabból az első reagenssel, és a második próbadarabból a második reagenssel kioldott komponens); |
P3% |
a harmadik tiszta, száraz komponens százalékaránya (a második próbadarabból a második reagenssel kioldott komponens); |
m1 |
az első próbadarab száraz tömege az előkezelés után; |
m2 |
a második próbadarab száraz tömege az előkezelés után; |
r1 |
a maradék száraz tömege, miután az első próbadarabból az első reagenssel eltávolítottuk az első és a második komponenst; |
r2 |
a maradék száraz tömege, miután a második próbadarabból a második reagenssel eltávolítottuk a második és a harmadik komponenst; |
d2 |
korrekciós tényező az első próbadarabban lévő oldhatatlan harmadik komponens első reagensben fellépő tömegveszteségének a figyelembevételéhez; |
d3 |
korrekciós tényező a második próbadarabban lévő oldhatatlan első komponens második reagensben fellépő tömegveszteségének a figyelembevételéhez. |
|
|
I.8.1.4. – 4. Változat –
A következő képletek akkor alkalmazhatók, ha két komponenst egymás után távolítunk el a keverékből, ugyanazt a próbadarabot használva:
|
|
P1% |
az első tiszta, száraz komponens százalékaránya (az első oldható komponens); |
P2% |
a második tiszta, száraz komponens százalékaránya (a második oldható komponens); |
P3% |
a harmadik tiszta, száraz komponens százalékaránya (oldhatatlan komponens); |
m |
a próbadarab száraz tömege az előkezelés után; |
r1 |
a maradék száraz tömege, miután az első reagenssel eltávolítottuk az első komponenst; |
r2 |
a maradék száraz tömege, miután az első és a második reagenssel eltávolítottuk az első és a második komponenst; |
d1 |
korrekciós tényező a második komponens első reagensben fellépő tömegveszteségének a figyelembevételéhez; |
d2 |
korrekciós tényező a harmadik komponens első reagensben fellépő tömegveszteségének a figyelembevételéhez; |
d3 |
korrekciós tényező a harmadik komponensnek az első és a második reagensben fellépő tömegveszteségének figyelembevételéhez. |
|
|
I.8.2. Az egyes komponensek százalékarányának kiszámítása az egyezményes járulékanyag-hányadok és – amikor szükséges – az előkezelésnél fellépő tömegveszteségek korrekciós tényezőinek figyelembevételével:

P1A% |
az első tiszta, száraz komponens százalékaránya, a járulékanyag-hányad és az előkezelésnél fellépő tömegveszteség figyelembevételével; |
P2A% |
a második tiszta, száraz komponens százalékaránya, a járulékanyag-hányad és az előkezelésnél fellépő tömegveszteség figyelembevételével; |
P3A% |
a harmadik tiszta, száraz komponens százalékaránya, a járulékanyag-hányad és az előkezelésnél fellépő tömegveszteség figyelembevételével; |
P1 |
az első tiszta, száraz komponens százalékaránya, a I.8.1. szakaszban megadott képlettel kiszámítva; |
P2 |
a második tiszta, száraz komponens százalékaránya, a I.8.1. szakaszban megadott képlettel kiszámítva; |
P3 |
a harmadik tiszta, száraz komponens százalékaránya, a I.8.1. szakaszban megadott képlettel kiszámítva; |
a1 |
az első komponens egyezményes járulékanyag-hányada; |
a2 |
a második komponens egyezményes járulékanyag-hányada; |
a3 |
a harmadik komponens egyezményes járulékanyag-hányada; |
b1 |
az első komponens százalékos tömegvesztesége az előkezelés során; |
b2 |
az második komponens százalékos tömegvesztesége az előkezelés során; |
b3 |
a harmadik komponens százalékos tömegvesztesége az előkezelés során. |
|
|
Speciális előkezelés alkalmazása esetén a b1, b2 és b3 értékeket lehetőleg úgy határozzuk meg, hogy minden tiszta szál-alkotórészt alávetünk a nyersanyag-összetétel meghatározása során alkalmazott előkezelésnek. Tiszta szálaknak azok a szálak tekinthetők, amelyek mentesek minden idegenanyagtól, kivéve azokat az anyagokat, amelyeket rendes körülmények között tartalmaznak (akár a természetüknél fogva akár a gyártási eljárásuk miatt) abban az állapotban (fehérítetlen, fehérített), melyben a vizsgált anyag van.
Ha nem állnak rendelkezésre külön-külön azok a tiszta szál-alkotórészek, amelyeket a vizsgált anyag előállításához használtak, akkor azokat a b1, b2 és b3 átlagértékeket alkalmazzuk, amelyeket a vizsgált keverék szálkomponenseihez hasonló szálak vizsgálatával határoztak meg.
Ha a normál petroléteres és vizes extrakciós előkezelést alkalmazzuk, akkor általában mellőzni lehet a b1, b2 és b3 korrekciós tényezőket, kivéve fehérítetlen pamut, fehérítetlen len és fehérítetlen kender esetében, melyeknél az előkezelésnek tulajdonítható veszteségként általában 4%, valamint a polipropilén esetében, melynél 1% az elfogadott érték.
A többi szálnál az előkezelésnek tulajdonítható veszteségeket rendszerint figyelmen kívül hagyjuk a számításoknál.
I.8.3. Megjegyzés
II. A HÁROM KOMPONENST TARTALMAZÓ SZÁLKEVERÉKEK NYERSANYAG-ÖSSZETÉTELÉNEK MENNYISÉGI MEGHATÁROZÁSA A KÉZI SZÉTVÁLASZTÁS MÓDSZERÉVEL
II.1. Alkalmazási terület
A módszer bármilyen textil szálféleségnél alkalmazható, feltéve, hogy nem közvetlen (intim) keverék formában vannak, és kézzel szétválaszthatók.
II.2. Alapelv
A textil komponensek azonosítása után megfelelő előkezeléssel eltávolítjuk az idegenanyagokat, ezután a szálakat kézzel szétválasztjuk, megszárítjuk és megmérjük, majd kiszámítjuk a keverékben lévő egyes szálak részarányát.
II.3. Eszközök
II.3.1. Mérőedények vagy bármilyen más eszközök, amelyek azonos eredményeket adnak.
II.3.2. Exszikkátor, amely önindikáló szilikagélt tartalmaz.
II.3.3. Ventilációs szárítószekrény, a próbadarabok 105±3 °C-on való szárításához.
II.3.4. Analitikai mérleg, 0,0002 g-os pontosságú.
II.3.5. Soxhlet extraháló készülék, vagy más készülék, ami azonos eredményeket ad.
II.3.6. Bontótű.
II.3.7. Sodratvizsgáló műszer vagy más készülék, ami azonos eredményeket ad.
II.4. Reagensek
II.4.1. Petroléter, átdesztillált, forráspont 40-60 °C között.
II.4.2. Desztillált vagy ionmentesített víz
II.5. Kondicionáló és vizsgálati légtér
Lásd I.4.
II.6. Vizsgálati minta
Lásd I.5.
II.7. A vizsgálati minták előkezelése
Lásd I.6.
II.8. Vizsgálati eljárás
II.8.1. Fonal vizsgálata
Vegyünk ki legalább 1 g tömegű próbadarabot az előkezelt vizsgálati mintából. Nagyon finom fonalnál minimum 30 m hosszúságú fonalon – tekintet nélkül a tömegre – el lehet végezni a vizsgálatot.
Vágjuk fel a fonalat megfelelő hosszúságú darabokra, majd bontótűvel, és ha szükséges, sodratvizsgálóval különítsük el a szálféleségeket. Az így kapott szálféleségeket az előzőleg lemért mérőedényekbe tesszük, és 105±3 °C-on tömegállandóságig szárítjuk, az I.7.1. és I.7.2. szakaszban megadottak szerint.
II.8.2. Kelme vizsgálata
Vegyünk ki legalább 1 g tömegű próbadarabot az előkezelt vizsgálati mintából, a szegélyt kihagyva, a széleket gondosan vágva, hogy elkerüljük a kirojtosodást, a lánc- és vetülékfonalakkal párhuzamosan, kötött kelméknél pedig a szemsorok és szemoszlopok vonalában. Különítsük el az eltérő szálféleségeket, és gyűjtsük azokat előzőleg lemért mérőedényekbe, majd folytassuk a vizsgálatot a II.8.1. szakasz szerint.
II.9. Az eredmények kiszámítása és megadása
Az egyes komponensek tömegét a keverékben lévő szálak teljes tömegének százalékában adjuk meg. Számítsuk ki a tiszta, száraz tömeg alapján az eredményeket, korrigálva ezeket először az egyezményes járulékanyag-hányadokkal, majd azokkal a korrekciós tényezőkkel, amelyek az előkezelésnél fellépő veszteségek figyelembevételéhez szükségesek.
II.9.1. A tiszta, száraz szálak tömegszázalékának számítása a szál előkezelés alatt fellépő tömegveszteségének figyelembevétele nélkül:
P1% az első tiszta, száraz komponens százalékaránya;
P2% a második tiszta, száraz komponens százalékaránya;
P3% a harmadik tiszta, száraz komponens százalékaránya;
m1 az első komponens tiszta, száraz tömege;
m2 a második komponens tiszta, száraz tömege;
m3 a harmadik komponens tiszta, száraz tömege.
II.9.2. Az egyes komponensek százalékarányának kiszámítása az egyezményes járulékanyag-hányadok és – amikor szükséges – az előkezelésnél fellépő tömegveszteségek korrekciós tényezőinek figyelembevételével:
Lásd I.8.2.
III. A HÁROM KOMPONENST TARTALMAZÓ SZÁLKEVERÉKEK NYERSANYAG-ÖSSZETÉTELÉNEK MENNYISÉGI MEGHATÁROZÁSA A KÉZI ÉS A KÉMIAI SZÉTVÁLASZTÁS KOMBINÁLÁSÁVAL
Ha lehetséges, akkor minden elválasztandó komponens kémiai kezelésének az elkezdése előtt kézi szétválasztást kell alkalmazni a komponensek részarányának a figyelembevételéhez.
IV. A MÓDSZEREK PONTOSSÁGA
A két komponenst tartalmazó keverékek nyersanyag-összetétel meghatározási módszereinél feltüntetett pontosság a reprodukálhatóságra vonatkozik (lásd 6. számú melléklet). A reprodukálhatóság a megbízhatóságot jelenti, azaz a különböző laboratóriumokban vagy különböző időpontokban kapott kísérleti értékek egyezőségét, ha ugyanazt a módszert alkalmazzuk, és ugyanannak a homogén keveréknek a próbadarabjait használjuk.
A reprodukálhatóságot az eredmények megbízhatósági határaival fejezzük ki, 95%-os megbízhatósági szint mellett.
Ez azt jelenti, hogy a módszer szabályos és hibátlan alkalmazása esetén, a különböző laboratóriumokban ugyanazon homogén keverékre elvégzett vizsgálati sorozat két eredménye közötti eltérés 100-ból csak 5 esetben lehet nagyobb ennél.
A hármas keverék nyersanyag-összetétel vizsgálati pontosságának meghatározásához adottak az értékek azoknál a kettős keverékek vizsgálatára szolgáló módszereknél, melyeket az adott hármas keverék vizsgálatához a szokásos módon alkalmaztunk.
A hármas keverékek nyersanyag-összetételének mennyiségi kémiai meghatározásának négy változatánál két kioldást végzünk (két külön próbadarabot alkalmazva az első három változathoz és egy próbadarabot a negyedik változathoz), és feltételezve, hogy E1 és E2 jelenti a kettős keverékek vizsgálatára szolgáló két módszer saját pontosságát, akkor az egyes komponensekre kapott eredmények pontosságát a következő táblázat mutatja:
Szál- komponens |
1. |
2. és 3. |
4. |
változat |
a |
E1 |
E1 |
E1 |
b |
E2 |
E1+ E2 |
E1+ E2 |
c |
E1+E2 |
E2 |
E1+ E2 |
Ha a negyedik változatot alkalmazzuk, akkor lehet, hogy azt tapasztaljuk, hogy a pontosság mértéke kisebb, mint amit a fent javasolt módszerrel kiszámítottunk, és ez feltehetően az első reagensnek a (b) és (c) komponenst tartalmazó maradékra gyakorolt hatása miatt van, amit nehéz lenne értékelni.
V. VIZSGÁLATI JEGYZŐKÖNYV
V.1. Adjuk meg a változato(ka)t, mely(ek) szerint a vizsgálatot elvégeztük, a módszereket, a reagenseket és a korrekciós tényezőket.
V.2. Részletesen adjunk meg minden különleges előkezelést (lásd I.6.).
V.3. Adjuk meg az egyes eredményeket és az eredmények számtani átlagát, egy tizedesjegyre kerekítve.
V.4. Ha lehetséges, állapítsuk meg a módszer pontosságát minden összetevőre, a IV. fejezet táblázata szerint kiszámítva. VI. PÉLDÁK MEGHATÁROZOTT HÁRMAS KEVERÉKEKBEN LEVŐ KOMPONENSEK SZÁZALÉKARÁNYÁNAK KISZÁMÍTÁSÁRA, AZ I.8.1. SZAKASZBAN LEÍRTAK KÖZÜL KÉT VÁLTOZAT ALKALMAZÁSÁVAL
1. Változat
Vegyünk egy olyan szálkeveréket, amelynél a nyersanyag-összetétel minőségi meghatározásakor a következő komponenseket kaptuk: kártolt gyapjú, nylon (poliamid), fehérítetlen pamut.
Ezt a változatot alkalmazva, két különböző próbadarabot használva, az egyik komponenst (a = gyapjú) az első próbadarabból, a második komponenst (b = poliamid) a második próbadarabból kioldva, a következő eredmények adódhatnak:
|
|
|
1. |
Az első próbadarab száraz tömege az előkezelés után |
(m1) = 1,6000 g |
2. |
A maradék száraz tömege a lúgos nátriumhipoklorittal való kezelés után (poliamid+pamut) |
(r1) = 1,4166 g |
3. |
A második próbadarab száraz tömege az előkezelés után |
(m2) = 1,8000 g |
4. |
A maradék száraz tömege a hangyasavas kezelés után (gyapjú+pamut) |
(r2) = 0,9000 g |
|
|
|
A lúgos nátriumhipokloritos kezelés a poliamidnál nem okoz tömegveszteséget, de a fehérítetlen pamut vesztesége 3%, tehát d1 = 1,0 és d2 = 1,03.
A hangyasavas kezelés nem okoz tömegveszteséget sem a gyapjúnál, sem a fehérítetlen pamutnál, tehát a d3 és d4 = 1,0.
Ha a kémiai módszerrel nyert értékeket és a korrekciós tényezőket behelyettesítjük az I.8.1.1. szakaszban megadott képletekbe, a következő eredményt kapjuk:
A keverékben lévő tiszta, száraz szálak százalékaránya a következő:
|
|
|
|
gyapjú |
10,30 % |
|
poliamid |
50,00 % |
|
pamut |
39,70 % |
Ezeket a százalékokat korrigálni kell az I.8.2. szakaszban megadott képletek szerint, hogy számításba vegyük az egyezményes járulékanyag-hányadokat és az előkezelés okozta tömegveszteségek miatti korrekciós tényezőket is.
A II. mellékletben megadott egyezményes járulékanyag-hányadok a következők: kártolt gyapjúnál 17,0%, poliamidnál 6,25%, pamutnál 8,5%, továbbá a fehérítetlen pamut a petroléteres és vizes előkezelésnél 4%-os tömegveszteséget is szenved. Tehát:
A fonal nyersanyag-összetétele tehát a következő:
|
|
|
|
poliamid |
48,4 % |
|
pamut |
40,6 % |
|
gyapjú |
11,0 % |
|
|
|
|
|
100,0 % |
|
|
|
4. Változat
Vegyünk egy olyan szálkeveréket, amelynél a nyersanyag-összetétel minőségi meghatározásakor a következő komponenseket kaptuk: kártolt gyapjú, viszkóz, fehérítetlen pamut.
Tegyük fel, hogy a 4. változatot alkalmazva, amikor egyetlen próbadarab keverékéből egymás után távolítjuk el a két komponenst, a következő eredményeket kapjuk:
|
|
|
1. |
A próbadarab száraz tömege az előkezelés után |
(m1) = 1,6000 g |
2. |
A maradék száraz tömege az első, lúgos nátriumhipoklorittal történő kezelés után (viszkóz+pamut) |
(r1) = 1,4166 g |
3. |
A maradék száraz tömege az r1 maradék második, hangyasav-cinkkloridos kezelése után (pamut) |
(r2) = 0,6630 g |
|
|
|
A lúgos nátriumhipokloritos kezelés a viszkóznál nem okoz tömegveszteséget, de a fehérítetlen pamut vesztesége 3%, tehát d1 = 1,0 és d2 = 1,03.
A hangyasavas-cinkkloritos kezelés eredményeként a pamut tömege 4%-kal nő, így d3 = 1,03×0,96 = 0,9888, kerekítve 0,99, (d3 korrekciós tényező a harmadik komponensnek az első és a második reagensben fellépő tömegveszteségének vagy tömegnövekedésének a figyelembevételére szolgál).
Ha a kémiai analízissel kapott értékeket és a korrekciós tényezőket behelyettesítjük az I.8.1.4. szakaszban megadott képletekbe, a következő eredményt kapjuk:
Amint azt már az 1. változatnál bemutattuk, ezeket a százalékokat korrigálni kell az I.8.2. szakaszban megadott képletek szerint.
A keverék nyersanyag-összetétele tehát a következő:
|
viszkóz |
48,6% |
|
pamut |
40,8% |
|
gyapjú |
10,6% |
|
|
100,0% |
|
|
|
1. Táblázat
Tipikus három komponenst tartalmazó keverékek, amelyek nyersanyag-összetétele meghatározható a kettős keverékek nyersanyag-összetétel meghatározási módszereinek alkalmazásával
(Tájékoztatás)
Sor- szám |
Szálkomponensek |
|
A kettős szálkeverékekhez |
1. komponens |
2. komponens |
3. komponens |
Változat |
alkalmazott módszer száma és a reagens |
|
|
|
|
|
|
|
|
|
1. |
|
gyapjú vagy szőr |
viszkóz, rézoxid-szál (cupro) vagy meghatározott típusú modál |
pamut |
1. és/vagy 4. |
2. (lúgos nátriumhipoklorit) és 3. (cinkklorid/hangyasav) |
|
2. |
|
gyapjú vagy szőr |
poliamid 6 vagy 6-6 |
pamut, viszkóz, rézoxid-szál (cupro) vagy modál |
1. és/vagy 4. |
2. (lúgos nátriumhipoklorit) és 4. (hangyasav, 80 tömeg%-os) |
|
3. |
|
gyapjú, szőr vagy selyem |
meghatározott klórszálak |
viszkóz, rézoxid-szál (cupro) modál vagy pamut |
1. és/vagy 4. |
2. (lúgos nátriumhipoklorit) és 9. (széndiszulfid/aceton, 55,5/44,5 tömeg%) |
|
4. |
|
gyapjú vagy szőr |
poliamid 6 vagy 6-6 |
poliészter, polipropilén, akril vagy üvegszál |
1. és/vagy 4. |
2. (lúgos nátriumhipoklorit) és 4. (hangyasav, 80 tömeg%-os) |
|
5. |
|
gyapjú, szőr vagy selyem |
meghatározott klórszálak |
poliészter, akril, poliamid vagy üvegszál |
1. és/vagy 4. |
2. (lúgos nátriumipoklorit) és 9. (széndiszulfid/aceton, 55,5/44,5 tömeg%) |
|
6. |
|
selyem |
gyapjú vagy szőr |
poliészter |
2. |
11. (kénsav, 75 tömeg%-os) és 2. (lúgos nátriumhipoklorit) |
|
7. |
|
poliamid 6 vagy 6-6 |
akril |
pamut, viszkóz, rézoxid-szál (cupro) vagy modál |
1. és/vagy 4. |
4. (hangyasav, 80 tömeg%-os) és 8. (dimetilformamid) |
|
8. |
|
meghatározott klórszálak |
poliamid 6 vagy 6-6 |
pamut, viszkóz, rézoxid-szál (cupro) vagy modál |
1. és/vagy 4. |
8. (dimetilformamid) és 4. (hangyasav, 80 tömeg%-os) vagy 9. (széndiszulfid/aceton, 55,5/44,5 tömeg%) és 4. (hangyasav, 80 tömeg%-os) |
|
9. |
|
akril |
poliamid 6 vagy 6-6 |
poliészter |
1. és/vagy 4. |
8. (dimetilformamid) és 4. (hangyasav, 80 tömeg%-os) |
|
10. |
|
acetát |
poliamid 6 vagy 6-6 |
viszkóz, pamut, rézoxid-szál (cupro) vagy modál |
4. |
1. (aceton) és 4. (hangyasav, 80 tömeg%-os) |
|
11. |
|
meghatározott klórszálak |
akril |
poliamid |
2. és/vagy 4. |
9. (széndiszulfid/aceton, 55,5/44,5 tömeg%) és 8. (dimetilformamid) |
|
12. |
|
meghatározott polikloridok |
poliamid 6 vagy 6-6 |
akril |
1. és/vagy 4. |
9. (széndiszulfid/aceton, 55,5/44,5 tömeg%) és 4. (hangyasav, 80 tömeg%-os) |
|
13. |
|
poliamid 6 vagy 6-6 |
viszkóz, rézoxid-szál (cupro), modál vagy pamut |
poliészter |
4. |
4. (hangyasav, 80 tömeg%-os) és 7. (kénsav, 75 tömeg%-os) |
|
14. |
|
acetát |
viszkóz, cupro, modál vagy pamut |
poliészter |
4. |
1. (aceton) és 7. (kénsav, 75 tömeg%-os) |
|
15. |
|
akril |
viszkóz, rézoxid-szál (cupro), modál vagy pamut |
poliészter |
4. |
8. (dimetilformamid) és 7. (kénsav, 75%-os) |
|
16. |
|
acetát |
gyapjú, szőr vagy selyem |
pamut, viszkóz, rézoxid-szál (cupro), modál, poliamid, poliészter, akril |
4. |
1. (aceton) és 2. (lúgos nátriumhipoklorit) |
|
17. |
|
triacetát |
gyapjú, szőr vagy selyem |
pamut, viszkóz, rézoxid-szál (cupro), modál, poliamid, poliészter, akril |
4. |
6. (diklórmetán) és 2. (lúgos nátriumhipoklorit) |
|
18. |
|
akril |
gyapjú, szőr vagy selyem |
poliészter |
1. és/vagy 4. |
8. (dimetilformamid) és 2. (lúgos nátriumhipoklorit) |
|
19. |
|
akril |
selyem |
gyapjú vagy szőr |
4. |
8. (dimetilformamid) és 11. (kénsav, 75 tömeg%-os) |
|
20. |
|
akril |
gyapjú, szőr vagy selyem |
pamut, viszkóz, rézoxid-szál (cupro) vagy modál |
1. és/vagy 4. |
8. (dimetilformamid) és 2. (lúgos nátriumhipoklorit) |
|
21. |
|
gyapjú, szőr vagy selyem |
pamut, viszkóz, modál vagy rézoxid-szál (cupro) |
poliészter |
4. |
2. (lúgos nátriumhipoklorit) és 7. (kénsav, 75%-os) |
|
22. |
|
viszkóz, rézoxid-szál (cupro) vagy meghatározott típusú modál |
pamut |
poliészter |
2. és/vagy 4. |
3. (cinkklorid/hangyasav) és 7. (kénsav, 75 tömeg%-os) |
|
23. |
|
akril |
viszkóz, rézoxidszál (cupro) vagy meghatározott típusú modál |
pamut |
4. |
8. (dimetilformamid) és 3. (cinkklorid/hangyasav) |
|
24. |
|
meghatározott polikloridok |
viszkóz, rézoxid-szál (cupro) vagy meghatározott típusú modál |
pamut |
1. és/vagy 4. |
9. (széndiszulfid/aceton, 55,5/44,5 tömeg%) és 3. (cinkklorid/hangyasav) vagy 8. (dimetilformamid) és 3. (cinkklorid/hangyasav) |
|
25. |
|
acetát |
viszkóz, rézoxid-szál (cupro) vagy meghatározott típusú modál |
pamut |
4. |
1. (aceton) és 3. (cinkklorid/hangyasav) |
|
26. |
|
triacetát |
viszkóz, rézoxid-szál (cupro) vagy meghatározott típusú modál |
pamut |
4. |
6. (diklórmetán) és 3. (cinkklorid/hangyasav) |
|
27. |
|
acetát |
selyem |
gyapjú vagy szőr |
4. |
1. (aceton) és 11. (kénsav, 75%-os) |
|
28. |
|
triacetát |
selyem |
gyapjú vagy szőr |
4. |
6. (diklórmetán) és 11. (kénsav, 75 tömeg%-os) |
|
29. |
|
acetát |
akril |
pamut, viszkóz, rézoxid-szál (cupro) vagy modál |
4. |
1. (aceton) és 8. (dimetilformamid) |
|
30. |
|
triacetát |
akril |
pamut, viszkóz, rézoxid-szál (cupro) vagy modál |
4. |
6. (diklórmetán) és 8. (dimetilformamid) |
|
31. |
|
triacetát |
poliamid 6 vagy 6-6 |
pamut, viszkóz, rézoxid-szál (cupro) vagy modál |
4. |
6. (diklórmetán) és 4. (hangyasav, 80 tömeg%-os) |
|
32. |
|
triacetát |
pamut, viszkóz, cupro vagy modál |
poliészter |
4. |
6. (diklórmetán) és 7. (kénsav, 75 tömeg%-os) |
|
33. |
|
acetát |
poliamid 6 vagy 6-6 |
poliészter vagy akril |
4. |
1. (aceton) és 4. (hangyasav, 80 tömeg%-os) |
|
34. |
|
acetát |
akril |
poliészter |
4. |
1. (aceton) és 8. (dimetilformamid) |
|
35. |
|
meghatározott polikloridok |
pamut, viszkóz, rézoxid-szál (cupro) vagy modál |
poliészter |
4. |
8. (dimetilformamid) és 7. (kénsav, 75 tömeg%-os) vagy 9. (széndiszulfid/aceton, 55,5/44,5 tömeg%) és 7. (kénsav, 75 tömeg%-os) |